Студопедия

КАТЕГОРИИ:


Архитектура-(3434)Астрономия-(809)Биология-(7483)Биотехнологии-(1457)Военное дело-(14632)Высокие технологии-(1363)География-(913)Геология-(1438)Государство-(451)Демография-(1065)Дом-(47672)Журналистика и СМИ-(912)Изобретательство-(14524)Иностранные языки-(4268)Информатика-(17799)Искусство-(1338)История-(13644)Компьютеры-(11121)Косметика-(55)Кулинария-(373)Культура-(8427)Лингвистика-(374)Литература-(1642)Маркетинг-(23702)Математика-(16968)Машиностроение-(1700)Медицина-(12668)Менеджмент-(24684)Механика-(15423)Науковедение-(506)Образование-(11852)Охрана труда-(3308)Педагогика-(5571)Полиграфия-(1312)Политика-(7869)Право-(5454)Приборостроение-(1369)Программирование-(2801)Производство-(97182)Промышленность-(8706)Психология-(18388)Религия-(3217)Связь-(10668)Сельское хозяйство-(299)Социология-(6455)Спорт-(42831)Строительство-(4793)Торговля-(5050)Транспорт-(2929)Туризм-(1568)Физика-(3942)Философия-(17015)Финансы-(26596)Химия-(22929)Экология-(12095)Экономика-(9961)Электроника-(8441)Электротехника-(4623)Энергетика-(12629)Юриспруденция-(1492)Ядерная техника-(1748)

Умножение матриц. 1. Умножение матриц — это специфическая операция, со­ставляющая основу алгебры матриц




1. Умножение матриц — это специфическая операция, со­ставляющая основу алгебры матриц. Строки и столбцы мат­риц можно рассматривать как векторы-строки и векторы-стол­бцы соответствующих размерностей: иными словами, любую матрицу можно интерпретировать как совокупность векторов-строк или векторов-столбцов.

Пусть даны матрица А размером т х п и матрица В разме­ром п х k. Будем рассматривать матрицу А как совокупность т векторов-строк i размерности п каждый, а матрицу В — как совокупность k векторов-столбцов j, каждый из которых содержит по п координат:

 

 

Векторы-строки матрицы А и векторы-столбцы матрицы В показаны в записи этих матриц (13.3). Длина строки матри­цы А равна высоте столбца матрицы В, и потому скалярное произведение этих векторов имеет смысл.

 

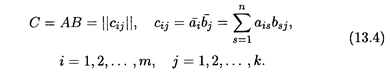
Определение 3. Произведением матриц А и В называется матрица С, элементы которой cij равны скалярным произве­дениям векторов-строк i матрицы А на векторы-столбцы j матрицы В:

 

 

Произведение матриц А и В — матрица С — имеет размер т х k, поскольку длина п векторов-строк и векторов-столбцов исчезает при суммировании произведений координат этих век­торов в их скалярных произведениях, как показано в формулах (13.4). Таким образом, для вычисления элементов первой строки матрицы С необходимо последовательно получить скаляр­ные произведения первой строки матрицы А на все столбцы матрицы В; вторая строка матрицы С получается как ска­лярные произведения второй вектор-строки матрицы А на все векторы-столбцы матрицы В и так далее. Для удобства за­поминания размера произведения матриц нужно перемножить отношения размеров матриц-сомножителей:, т.е. размер матрицы С равен произведению оставшихся в отношении чисел: т х k.

В операции умножения матриц есть характерная особен­ность: произведение матриц А и В имеет смысл, если число столбцов в А равно числу строк в В. Тогда если А и В — прямоугольные матрицы, то произведение В и А уже не будет иметь смысла, так как в скалярных произведениях, формиру­ющих элементы соответствующей матрицы, должны участво­вать векторы с одинаковым числом координат.

Если матрицы А и В квадратные размером n х n, то име­ет смысл как произведение матриц АВ, так и произведение матриц BA, причем размер этих матриц такой же, как и у ис­ходных сомножителей. При этом в общем случае перемноже­ния матриц правило перестановочности не соблюдается, т.е. АВ ≠ ВА.

Рассмотрим примеры на умножение матриц.

 

 

Решение. Поскольку число столбцов матрицы А равно числу строк матрицы В, то произведение матриц АВ имеет смысл. По формулам (13.4) получаем в произведении матрицу размером 3 х 2:

 

 

Произведение ВА не имеет смысла, так как число столбцов матрицы В не совпадает с числом строк матрицы А.

 

Решение. Здесь мы найдем произведения данных матриц АВ и ВА:

 

 

Как видно из результата, матрица произведения зависит от по­рядка расположения матриц в произведении. В обоих случаях произведения матриц имеют тот же размер, что и у исходных сомножителей: 2 х 2.

 

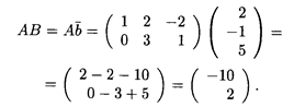
Решение. В данном случае матрица В представляет собой вектор-столбец, т.е. матрицу, у которой три строки и один столбец. Вообще, векторы — это частные случаи матриц: век­тор-строка длины п представляет собой матрицу с одной стро­кой и п столбцами, а вектор-столбец высоты n — матрицу с n строками и одним столбцом. Размеры данных матриц соот­ветственно 2 х 3 и 3 х 1, так что произведение этих матриц определено. Имеем

 

 

В произведении получена матрица размером 2 х 1 или вектор-столбец высоты 2.

 

Решение. Путем последовательного умножения матриц находим

 

 

2. Свойства произведения матриц. Пусть А, В и С — мат­рицы соответствующих размеров (чтобы произведения матриц были определены), а α — действительное число. Тогда следу­ющие свойства произведения матриц имеют место:

1) (АВ)С = А(ВС),

2) (А + В)С = AC + ВС,

3) А(В + С) = АВ + АС,

4) α(АВ) = (αА)В = А(αВ).

В п. 1 этого раздела введено понятие единичной матрицы Е. Нетрудно убедиться, что в алгебре матриц она играет роль единицы, т.е. можно отметить еще два свойства, связанные с умножением на эту матрицу слева и справа в случае квадрат­ных матриц:

5) АЕ = А,

6) ЕА = А.

Иными словами, произведение любой матрицы на единич­ную матрицу, если оно имеет смысл, не меняет исходную мат­рицу.

 




Поделиться с друзьями:


Дата добавления: 2014-10-15; Просмотров: 1633; Нарушение авторских прав?; Мы поможем в написании вашей работы!


Нам важно ваше мнение! Был ли полезен опубликованный материал? Да | Нет



studopedia.su - Студопедия (2013 - 2026) год. Все материалы представленные на сайте исключительно с целью ознакомления читателями и не преследуют коммерческих целей или нарушение авторских прав! Последнее добавление




Генерация страницы за: 0.011 сек.