Студопедия

КАТЕГОРИИ:


Архитектура-(3434)Астрономия-(809)Биология-(7483)Биотехнологии-(1457)Военное дело-(14632)Высокие технологии-(1363)География-(913)Геология-(1438)Государство-(451)Демография-(1065)Дом-(47672)Журналистика и СМИ-(912)Изобретательство-(14524)Иностранные языки-(4268)Информатика-(17799)Искусство-(1338)История-(13644)Компьютеры-(11121)Косметика-(55)Кулинария-(373)Культура-(8427)Лингвистика-(374)Литература-(1642)Маркетинг-(23702)Математика-(16968)Машиностроение-(1700)Медицина-(12668)Менеджмент-(24684)Механика-(15423)Науковедение-(506)Образование-(11852)Охрана труда-(3308)Педагогика-(5571)Полиграфия-(1312)Политика-(7869)Право-(5454)Приборостроение-(1369)Программирование-(2801)Производство-(97182)Промышленность-(8706)Психология-(18388)Религия-(3217)Связь-(10668)Сельское хозяйство-(299)Социология-(6455)Спорт-(42831)Строительство-(4793)Торговля-(5050)Транспорт-(2929)Туризм-(1568)Физика-(3942)Философия-(17015)Финансы-(26596)Химия-(22929)Экология-(12095)Экономика-(9961)Электроника-(8441)Электротехника-(4623)Энергетика-(12629)Юриспруденция-(1492)Ядерная техника-(1748)

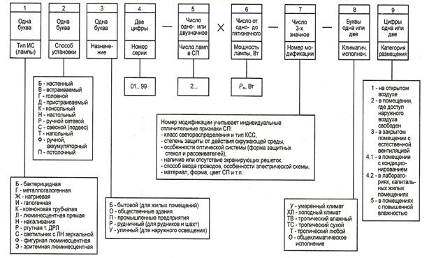
Типовая маркировка отечественных светильников




 

Классификация светильников по степеням защиты

Порядок работы:

1. Определить основные элементы конструкции светильников и выписать в отчет, зарисовав общий вид конструкции светильника и пример подключения пускорегулирующей аппаратуры.

2. Выписать типовую маркировку отечественных светильников и пояснения к ней

3. По электронным материалам изучить основные типы светильников

и заполнить таблицу 13.1.

Таблица 13.1

Основные типы светильников

№ п/п Тип светильника Тип источника света Устройство крепления Отражатель Защитные элементы Класс защиты Приме-нение
               

 

4. Изучить выданный образец светильника:

- зарисовать общий вид;

- указать основные элементы;

- выписать маркировку и расшифровать ее (если есть);

- определить применение светильника.

5. Сделать вывод о выполненной работе

 

Содержание отчета:

1. Цель работы.

2. Перечень основных элементов светильников.

3. Пример конструкции светильника.

4. Схема ПРА для ДРЛ.

5. Маркировка светильников.

6. Классификация степеней защиты.

7. Заполненная таблица с примерами светильников.

8. Выполненное индивидуальное задание (общий вид, основные элементы и маркировка светильника).

9. Вывод о выполненной работе.

ПРАКТИЧЕСКОЕ ЗАНЯТИЕ №14




Поделиться с друзьями:


Дата добавления: 2014-11-25; Просмотров: 908; Нарушение авторских прав?; Мы поможем в написании вашей работы!


Нам важно ваше мнение! Был ли полезен опубликованный материал? Да | Нет



studopedia.su - Студопедия (2013 - 2026) год. Все материалы представленные на сайте исключительно с целью ознакомления читателями и не преследуют коммерческих целей или нарушение авторских прав! Последнее добавление




Генерация страницы за: 0.011 сек.