Студопедия

КАТЕГОРИИ:


Архитектура-(3434)Астрономия-(809)Биология-(7483)Биотехнологии-(1457)Военное дело-(14632)Высокие технологии-(1363)География-(913)Геология-(1438)Государство-(451)Демография-(1065)Дом-(47672)Журналистика и СМИ-(912)Изобретательство-(14524)Иностранные языки-(4268)Информатика-(17799)Искусство-(1338)История-(13644)Компьютеры-(11121)Косметика-(55)Кулинария-(373)Культура-(8427)Лингвистика-(374)Литература-(1642)Маркетинг-(23702)Математика-(16968)Машиностроение-(1700)Медицина-(12668)Менеджмент-(24684)Механика-(15423)Науковедение-(506)Образование-(11852)Охрана труда-(3308)Педагогика-(5571)Полиграфия-(1312)Политика-(7869)Право-(5454)Приборостроение-(1369)Программирование-(2801)Производство-(97182)Промышленность-(8706)Психология-(18388)Религия-(3217)Связь-(10668)Сельское хозяйство-(299)Социология-(6455)Спорт-(42831)Строительство-(4793)Торговля-(5050)Транспорт-(2929)Туризм-(1568)Физика-(3942)Философия-(17015)Финансы-(26596)Химия-(22929)Экология-(12095)Экономика-(9961)Электроника-(8441)Электротехника-(4623)Энергетика-(12629)Юриспруденция-(1492)Ядерная техника-(1748)

ЛЕКЦИЯ 12 24 страница




Дыбыстың газдағы таралуы изотермиялық процесс деп жорып, идеал газдағы дыбыс жылдамдығын есептеу үшін қорытылған Нютон формуласы қандай?

Егер динамометрдің пружинасы массасы 500г жүк ілгенде 4 мм-ге ұзарса, онда салмағы 10Н жүкті ілгенде мынадай ұзарады. 8 мм; 8•10-3 м; 8•10-1 см;

Егер қазіргі лабораториялық тәсілмен ыдыс ішіндегі ауаның ең жоғарғы сиретілуге p=1,77·10-9 Па дейін сорып алса, t=140C температурада ыдыстың 1 м3 -де неше молекула болады? 4,47·1011

Егер қазіргі лабораториялық тәсілмен ыдыс ішіндегі ауаның ең жоғарғы сиретілуге p=1,44·10-9 Па дейін сорып алса, t=110C температурада ыдыстың 1 м3 -де неше молекула болады? 3,68·1011

Егер қандай да бір 0 мен ¥ арасындағы мәндердің үздіксіз қатарын қабылдайтын болса, онда ол шаманың орташа мәні мына интегралмен өрнектеледі

Егер қандай да бір параметрдің өзгеру жылдамдығы қандай параметрдің өзгеруі физикалық шексіз баяу деп есептеледі. релаксация кезіндегі сол параметрдің орташа өзгеру жылдамдығынан едәуір аз болса

Егер насостан шапшитын судың жылдамдығы 20м/с болса, насос қандай қысыммен суды сығады? Судың тығыздығы : 200•103 Па; 200 кПа; 2•105 Н/м2;

Егер Р=40кПа қысымда газ тығыздығы болса, газ молекуласының ең ықтималды жылдамдығы неге тең? 516 м/с

Егер тыныштықтағы денені кез-келген бағытта қозғасақ, денені бастапқы орынға қайтаруға тырысатын күш пайда болады. Төмендегі қай жауап біз айтқан жағдайға сәйкес келеді? Дене орнықты тепе-теңдік күйде; Дене потенциялық шұңқырда тұр; Дене потенциялық энергия минимум болатын нүктеге ұмтылады.

Екi атомдық идеал газдың изохорлық процестегi мольдiк жылусиымдылығы неге тең?

Екi өзара перпендикуляр тербелiстер қосылады. x = acos (ωt) және y = bsin (ωt); a≠b. Қорытқы қозғалыстың траекториясы қандай болады? Эллипс; x2/a2+y2/b2=1 теңдеуі бойынша; Уақыт алынып тасталынған эллипс теңдеуі бойынша;

Екi тәуелсiз оқиғалардың бiр мезгiлде болу ықтималдылығының дұрыс формуласын көрсетiңiз.

Екі атомды гелийдің бір мөлінің толық кинетикалықэнер­гиясын қай өрнек сипаттайды?

Екі атомдық идеал газдың молекуласының энергиясы келесі формуламен анықталынады.

Екі серпімді соқтығысатын бөлшектердің (центрлік соқтығысу) массаларының айырымы үлкен болған жағдайдағы берілетін энергия (егер де ): қай бөлшектің массасының үлкендігіне қарамастан, өте аз; -ге қарамастан, өте аз; -ге қарамастан, өте аз;

Екінші космостық жылдамдықтың дұрыс формуласын көрсет (g-Жер бетінде дененің еркін түсу үдеуі, G-гравитациялық тұрақты, R-Жердің радиусы): Екінші космостық жылдамдықтың дұрыс формуласын көрсет (g-Жер бетінде дененің еркін түсу үдеуі, G-гравитациялық тұрақты, R-Жердің радиусы): , ,

Ең ықтимал жылдамдық uы m=

Ең ықтимал жылдамдық мына формуламен өрнектеледі:

Ең ықтимал жылдамдықмына формуламен өрнектеледі:

Еркiн айналатын гироскоптыңөсi горизонталь орналасқан. Инерция моментiJ=0,02 гироскоп бұрыштық жылдамдықпен айналып тұр. Тiреу нүктесiнен L=10смқашықтықта гироскоп өсiне тiк төмен бағытталған F=10H күш әсер етедi. Гироскоптың прецессиялық жылдамдығы неге тең? 0,5 рад/с; 0,5 рад•с-1;

Еркін айналу өстерінен дененің айналма қозғалысының орнықтылығы туралы қандай тұжырым дұрыс? Инерция моменті оларға қарағанда минимум мәндерін тең болатын өстерден еркін айналу орнықты; Инерция моменті оларға қарағанда максимум мәндеріне тең болатын өстерден еркін айналу орнықты; Гироскоптың прецессия жоқ кездегі симметрия өсінен айналуы орнықты

Еркін тербелістер дегеніміз… Кері қайтаратын күштің әсерінен болатын тербелістер; Өшпейтін тербелістер; Циклдік жиілігі-w0 тұрақты тербелістер;

Еркін энергия қай формуламен өрнектеледі?

екіфазалық күйдің ауданына

Жазық дыбыс толқыны үшін дыбыс интенсивтілігінің қашқытыққа тәуелділігі келесі формула бойынша анықталады:

Жазық пластинаның бiр жақ бетiне жанама бағытта сұйық ағып жатыр. Пластинаның бетiндегi үйкелiс кернеуi , пластинаның бетiнiң енi в=0,5м, ұзындығы а=0,3м. Пластинаға әсер ететiн үйкелiс күшi неге тең? 0,15 кгм/с2; 0,15 Н; 0,15•105 дина

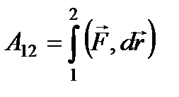
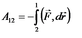
Жалпы жағдайда күш жұмысы қандай өрнек арқылы табылады? ;

Жалпы жағдайда қатты дененiң инерция тензорының неше тәуелсiз компонентi болады? тоғыз, 9, Үш өстік инерция моменті және алты центрден тепкіш инерция моменті,

Жеке сүйық тамшысы неге сфера пішініне ұқсас болады Келтірілген жауаптардың ішінде дұрысы жоқ

Жеңiл машинаның жылдамдығы жүк машинасының жылдамдығынан 4 есе үлкен, ал жүк машинасының массасы жеңiл машинаның массасынан 2 есе үлкен. Жеңiл және жүк машинасының энергияларыныңқатынасы қандай? , ,

Жер бетiнiң қай жерiнен Жердiң жасанды серiгiн ұшыру ең аз энергия жұмсауға мүмкiндiк бередi?

Жер бетiнiң қай нүктесiнде тыныштықтағы дененiң салмағы

Жер серiгi V=6.3 км/с жылдамдықпен Жердi дөңгелек орбитамен айналады. Орбитаның радиусы қандай? Жер массасы

Жер үшiн екiншi космостық жылдамдықтың бiрiншi космостық жылдамдыққа қатынасы неге тең? , ; өрнегінің мына өрнекке қатынасы ;

Жердiң ауырлық өрiсiнде горизонтқа α бұрыш жасай дене

Жердiң тартылыс өрiсiндегi екi дене бiр нүктеден құлай бастайды. Екiншi дене бiрiншi денеден соң 2 с кейiн қозғалысын бастайды. Бiрiншi дененiң қозғалысының басталуынан 3с кейiнгi бiрiншi денеге салыстырғандағы екiншi дененiң жылдамдығы қандай? Ауаныңкедергiсiн еске алмаңдар. 20 м/с; 72 км/сағ; 0,02 км/с;

Жердiң центрiнен R=10 000 км қашықтықта тұрған массасы 1 кг дененiң Жердiң тартылыс өрiсiндегi потенциялық энергиясы неге тең. Жерден шексiз қашықтықтағы дененiң потенциялық энергиясын нөлге тең деп алу керек. Жердiң массасы , гравитациялық тұрақты . , ,

Жердiңөз өсiнен бұрыштық айналу жылдамдығы , Жердiң радиусы R=6400км. Массасы m=1000кг дененiң салмағы қанша шамаға өзгередi, дене солтүстiк полюстен экваторға әкелiнгенде? 34Н-ке дейін кемиді; 34•105 динаға кемиді; 34•9,8 кгс (килограмм-күш) кемиді

Жердің өз өсінен айналу бұрыштық жылдамдығының векторы Жердің айналу өсімен оңтүстік полюстен Солтүстік полюске қарай бағытталған. Экваторға жақын жерде батыстан шығысқа қарай горизонталь ұшып бара жатқан снарядқа әсер ететін Кориолис күші қалай қарай бағытталған? жоғары қарай; жердің бетіне перпендикуляр жоғары; экватор жазықтығының бойымен жоғары.

Жердің радиусына тең h биіктіктегі еркін түсу үдеуі жердің бетіндегі еркін түсу үдеуінен неше есе кемиді? 4; ;

Жердің тартылыс өрісінде қозғалып келе жатқан екі дене соқтығады. Соқтығыстың артынан іле-шала денелердің жылдамдығын анықтау үшін импульстің сақталу заңын пайдалануға бола ма, егерде төмендегі жауаптар жеке-жеке алғанда дұрыс болса? я, тек импульстің горизонталь проекциялары үшін және серпімді соғылу болғанда; я, тек импульстің горизонталь проекциялары үшін және соқтығыстың қай түрі болса да; я, тек импульстің горизонталь проекциялары үшін және серпімсіз соғылу болғанда;

Жоғары ұшы бекiтiлген серпiмдiлiк коэффициентi k=9,8 н/м серiппенiң

Жоғары ұшы бекітілген пружинаның ұшына массасы m=200г шарик жалғанған. Пружинаның серпімділік коэффициенті k=20 Н/м. Шарик орнықты орнының айналасында гармоникалық тербеліс жасайды. Шариктің тербеліс периоды неге тең? 0,63 с; 2π∙10-1 с, 6,28∙10-1 c;

Жолаушы трамвайдың ішінде соның бағытына кері қарай 1 м/с жылдадықпен жүріп келеді. Трамвай жерге қарағанда 30 км/сағ жылдамдықпен келеді. Жерге қарағанда жолаушының жылдамдығы қандай? 7,3 м/с; 7,3∙10-3 км/с; 26,280 км/сағ;

Жолдың қиылысына бір-біріне перпендикуляр көшелерден жеңіл автомобиль мен грузовик жақындап келеді. Грузовиктің жылдамдығы 10 м/с, ал жеңіл автомабилдікі -15 м/с. Грузовиктің жеңіл автомобилге салыстырғандағы жылдамдығының модулі қандай? 18 м/с; 1800 см/с; 64,8 км/сағ.

Жөқпау жағдайындағы жіңішке түтікшедегі сұйық бетінің (мениск) пішіні қандай болады Дөңес

Жұғу жағдайындағы жіңішке түтікшедегі сұйық бетінің (мениск) пішіні қандай болады Кейде дөңес, кейде ойыс

Жұмыстың дұрыс анықтамасы қайсы? Жұмыс деп мынаны айтады: макроскопиялық деңгейде жүйенiң сыртқы параметрлерi өзгеруiмен өтетiнэнергияның берiлу түрiн;

Жұмыстың өлшемдiлiгi қандай? ,

Жүйе бастапқы күйіне қайтып келетін процесті қалай атайды? дөңгелек процесс немесе цикл деп атайды

Жүйенiң термодинамикалық процесте қоршаған ортамен жылу алмасу кезiнде болатын жылудың таңбасы жөнiнде дұрыс пiкiрдi табыңыз. - жылу жүйеге берiледi

Жүйенің энтропиясы жүйенің күй функциясы болып табылады

Жылдамдығы , массасы m дене массасы М тыныштықтағы денемен соқтығысып, жабысып қалады. Соқтығыс әсерiнен пайда болған жаңа дене қандай жылдамдықпен қозғалады? m V /(M+m); mV·(M+m)-1/2 V/(M+m) ·m-1

жылдамдық 1,5 есе өссе, идеал газдың қысымы қалай өзгередi? өзгермейдi

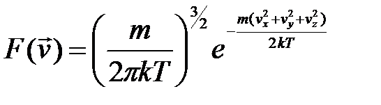
Жылдамдық векторы үшiн Максвелл таралу заңының дұрыс формуласын көрсетiңiз.

Жылдамдық компонентi үшiн Максвелл таралу заңының дұрыс графигiн көрсетiңiз.

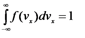
Жылдамдық компонентi үшiн Максвелл таралу заңының дұрыс нормалау шартын көрсетiңiз.

Жылдамдық компонентi үшiн Максвелл таралу заңының дұрыс формуласын көрсетiңiз.

Жылдамдық модулi үшiн Максвелл таралу заңының бiрдей температурадағы екi түрлi газ үшiн дұрыс суретiн көрсетiңiз.

Жылдамдық модулi мен интервалында жататын молекулалар саны қай формуламен анықталады?

Жылдамдық модулiүшiн Максвелл таралу заңының дұрыс нормалау шартын көрсетiңiз.

Жылдамдық модулі үшін Максвелл таралу заңының дұрыс суретін көрсетіңіз.

Жылу ағыны Ф мына формуламен өрнектеледі?

Жылу өткізгіштік коэффициенті мына формуламен өрнектеледі:

Жылу өткізгіштік коэффициентінің халықаралық жүйедегі өлшем бірлігі:

Жылу өткізгіштік құбылысы мына формуламен өрнектеледі:

Жылу өткізгіштік механизмі қандай? Хаосты қозғалыстағы молекулалар энергияны тасымалдай­ды

Жылудың дұрыс анықтамасы қайсы? Жылу деп мынаны айтады: микроскопиялық деңгейде жүйенiң сыртқы параметрлерi өзгермей өтетiнэнергияның берiлу түрiн;

Жылуөткiзгiштiк коэффициентi сан жағынан.... бiрлiк уақыт iшiнде ауданнан өтетiн жылу мөлшерiне тең

Зат мөлшерін мына формуламен есептеуге болады.

Заттың агрегаттық күйлерінің қайсысына ілгерлемелі бейберекет қозғалысы сәйкес келеді? газ тәрізді

Заттың бір мөлінде қанша құрылымдық элементтер болады. 6,02×1023

Заттың кристалл (монокристалл) күйінің басқа күйлерден негізгі ерекшелігі ретінде қандай қасиетін атауға болады Анизотроптылығын

Заттың қандай агрегаттық күйіне тепе-теңдіктің тәртіпті орналасқан бөлшектердің тербелмелі қозғалысы сәйкес қатты

Заттың молекула санын N мына формуламен есептеуге болады.

Заттың сұйық күйіндегі көлемі сол мөлшерде алынған осы заттың кризистік көлемінен артық бола ала ма Артық бола алмайды

Заттың үлесті мөлдік жылу сыйымдылығы деп мына шаманы айтамыз

Идеал гадың қатынасы екiге тең екi температураcында молекулалардың орташа квадраттық жылдамдықтары қандай қатынаста болады? 1,41 есе

Идеал газ дегеніміз не Идеал газ дегеніміз - шартты модел-молекулалардың көлемі және олардың әсерлесуінен туатын потенциал энергия ескерілмейді

Идеал газ қыздырылып 1-шi күйден 2-шi күйге өттi. Егер газ массасы тұрақты болса, көлем қалай өзгередi? кемиді

Идеал газ молекулаларының ілгерілемелі қозғалысының орташа кинетикалық энергиясы мына формуламен өрнектеледі:

Идеал газдардың қоспасының қысымы парциалдық газдардың қысымдарының қосындысына тең. Бұл қай заңын анықтамасы Дальтон

Идеал газдардың молекулярлық-кинетикалық теориясының негізгі теңдеуі келесі формуламен анықталынады.

Идеал газдың N молекуласы алып тұратын көлемнің флуктуациясының орташа квадратының формуласы

Идеал газдың дұрыс анықтамасы қайсы? молекулалары бiр-бiрiмен әрекеттеспейтiн материалдық нүктелер. Соқтығысу кезiнде серпiмдi шарлар сияқты соқтығысады

Идеал газдың изобаралық ұлғаю жұмысын мына формуламен өрнектеуге болады A = нR(T2 - T1)

Идеал газдың изотермиялық ұлғаю жұмысы.

Идеал газдың күй теңдеуінің дұрыс формуласын көрсетіңіз.

Идеал газдың молекулаларының жылдамдықтар бойынша Максвелл үлестірілуі келесі формуламен анықталынады.

Идеал газдың тығыздығы үшiн дұрыс өрнектi табыңыз. (M-газдың мольдiк массасы).

Идеал газдың ығыстыру коэффициентін арасындағы дұрыс қатынасын көрсетіңіз (c - жылуөткізгіштік коэфффициенті, D – диффузия коэффициенті, h - тұтқырлық коэффициенті).

Идеал газдың ішкі энергиясы - бір моль газ мөлшері үшін:

Идеал газдың ішкі энергиясы U қасиеті тек абсолют температураның функциясы, ол қысым мен көлемге тәуелді емес

Идеал газдың ішкі энергиясы-кез келген газ мөлшері үшін:

Идеал газдыңқызу процессi кезiнде 1-шi күйден 2-шi күйге өттi газ массасы тұрақты болса, қысым қалай өзгередi? өседi

Идеал сұйық дегеніміз не? Тұтқыр емес сұйық; ішкі үйкеліс жоқ сұйық; мүлде сығылмайтын сұйық;

Идеал сұйық көлденең қимасы айнымалы түтiк iшiмен ағады. Түтiктiң бiрiншi қимасының ауданы , кiншiсiнiкi ; бiрiншi қимадағы сұйықтың жылдамдығы , сұйықтың тығыздығы . Түтiктiң екiншi және бiрiншi қималарындағы қысымдардың айырымы неге тең? 1500 Па; 1,5 кПа; 1,5·103 Па;

Идеалдық емес газдың жылусыйымдылығын сипаттайтын қай көрсетілген анықтамалар дұрыс жазылмаған

Изобара процесіндегі жұмыстың анықтамасы келесі формуламен сипатталынады.

Изобаралық процесс кезінде атқаратын жұмыс өрнегі:

Изобаралықпроцесс кезіндегі жұмыс мына формуламен өрнектеледі = p(V2-V1)

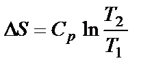
Изобарлық процесс үшін жүйенің энтропия өзгерісі ()

Изобарлық процесс үшін термодинамиканың бірінші заңы былайша жазылады:

Изотермия процесіндегі жұмыстың анықтамасы келесі формуламен сипатталынады.

Изотермиялық процесс кезінде кез келген идеал газ мөлшерінің атқаратын жұмыс өрнегі:

Изотермиялық процесс кезіндегі бір моль идеал газдың атқаратын жұмыс өрнегі:

Изотермиялық процесс кезіндегі жүйенің жылу сыйымдылығының мәні қандай болады

Изотермиялық процесс үшін қай өрнек дұрыс жазылған? Q = A

Изотропты денелер үшін сызықтық термиялық ұлғаю мен көлемдік ұлғаю коэффициенттерінің арасында () қандай байланыс бар




Поделиться с друзьями:


Дата добавления: 2014-11-08; Просмотров: 3073; Нарушение авторских прав?; Мы поможем в написании вашей работы!


Нам важно ваше мнение! Был ли полезен опубликованный материал? Да | Нет



studopedia.su - Студопедия (2013 - 2026) год. Все материалы представленные на сайте исключительно с целью ознакомления читателями и не преследуют коммерческих целей или нарушение авторских прав! Последнее добавление




Генерация страницы за: 0.013 сек.