Студопедия

КАТЕГОРИИ:


Архитектура-(3434)Астрономия-(809)Биология-(7483)Биотехнологии-(1457)Военное дело-(14632)Высокие технологии-(1363)География-(913)Геология-(1438)Государство-(451)Демография-(1065)Дом-(47672)Журналистика и СМИ-(912)Изобретательство-(14524)Иностранные языки-(4268)Информатика-(17799)Искусство-(1338)История-(13644)Компьютеры-(11121)Косметика-(55)Кулинария-(373)Культура-(8427)Лингвистика-(374)Литература-(1642)Маркетинг-(23702)Математика-(16968)Машиностроение-(1700)Медицина-(12668)Менеджмент-(24684)Механика-(15423)Науковедение-(506)Образование-(11852)Охрана труда-(3308)Педагогика-(5571)Полиграфия-(1312)Политика-(7869)Право-(5454)Приборостроение-(1369)Программирование-(2801)Производство-(97182)Промышленность-(8706)Психология-(18388)Религия-(3217)Связь-(10668)Сельское хозяйство-(299)Социология-(6455)Спорт-(42831)Строительство-(4793)Торговля-(5050)Транспорт-(2929)Туризм-(1568)Физика-(3942)Философия-(17015)Финансы-(26596)Химия-(22929)Экология-(12095)Экономика-(9961)Электроника-(8441)Электротехника-(4623)Энергетика-(12629)Юриспруденция-(1492)Ядерная техника-(1748)

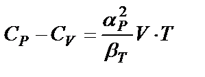
ЛЕКЦИЯ 12 28 страница




СИ системасындағы температура бірлік өлшемінің дұрыс анықтамасын көрсетіңіз. Бiр Кельвин абсолюттiк нөлден судың үштiк нүктесiне дейiнгi температура интервалының 1/273,16 бөлiгi

Сиретiлген газдағы тепе-теңдiк шартын (Кнудсен формуласын) көрсетiңiз.

Солтүстiк полюстен экваторға ұшып келе жатқан самолетке әсер етушi Кориолис күшi қалай бағытталған? батысқа; оң жаққа қарай бағытталған; шығыстан батысқа

Стокс кедергi күшiнiңөрнегiн көрсетiңiз , F =6рзR V, F =6рзR 1/V-1

Суретте дененің координатасының уақытқа тәуелділігі графигі көрсетілген. Тербелістің амплитудасы нешеге тең? , ,

Сутегінің қысымын p=270 Па, ал берілген жағдайда молекулаларының орташа квадраттық жылдамдығын v=2,3км/с -ке тең деп алып, 1 м3 -тегі сутегі молекуласының санын табу керек. 4,61·1022 м-3

Сутегінің қысымын p=276,8 Па, ал берілген жағдайда молекулаларының орташа квадраттық жылдамдығын v=2,1км/с -ке тең деп алып, 1 м3 -тегі сутегі молекуласының санын табу керек.

Сутек молекуласының іл г ерілемелі қозғалысына неше еркін­дік дәреже келеді? Үш

Сутектің бір молекуласының ілгерілемелі қозғалысының энергиясын қай өрнек сипаттайды?

Сутектің үш мөліндегі және көмір қышқыл газының үш мөліндегі молекулалар санын салыстырыңдар. Екеуінің де молекулалар саны бірдей

Сұйық пен газдың қозғалыстағы денеге кедергі күшінің құрғақ үйкеліс кедергі күшінен қандай айырмашылығы бар? Тек қозғалыс кезінде пайда болады; Маңдайлық кедергі күші құраушысы пайда болады; Көтеру күші құраушысы пайда болады;

Сұйықтар қандай белгілері бойынша газдарұа өқсайды. Өзі орналасқан ыдыстың пішініне-формасына ие болуымен

Сұйықтар қандай белгілері бойынша қатты денелерге өқсайды. Белгелі бір көлемінің болуымен - көлемінің сақталуымен

Сұйықтар үшін беттік энергия мен беттік аудан арасындағы байланыс.

Сұйықтар үшін молярлық жылу сыйымдылықтарды байланыстыратын термодинамикалық қатынас.

Сұйықтардың изобаралық жағдайдағы көлемдік жылулық өлғаю коэффициентінің өрнегі.

Сұйықтың ағынына қатысты кейбір ұғымдарды көрсет: ағын сызығы; ағын түтігі; секундтық шығын;

Сұйықтың диффузия коэффициентiнiң температураға тәуелдiлiк өрнегiн көрсетiңiз.

Сұйықтың изотермиялық жағдайдағы сығылу коэффициентінің өрнегі.

Сұйықтың қандай ағысы стационарлық деп аталады? Кеңiстiктiң фиксацияланған нүктелерiндегi жылдамдық векторы өзгермейтін болса; Сұйықтың орнықты ағысы; Сұйық бөлшектері кеңістіктің берілген нүктесін бір ғана V мәнімен ағып өтетін болса

Сұйықтың тұтқырлық коэффициентiнiң температураға тәуелдiлiк өрнегiн көрсетiңiз.

Сығылмайтын идеал сұйықағып жатқан түтiктiң радиусы екi есе кемидi. Динамикалық қарқын қалай өзгередi? 16 есе өседі; (22)2 есе өседі; (4)2 есе өседі;

Сыртқы жұмыс жасалмай ұлғайған кезде идеал газдың ішкі энергиясы қалай өзгереді? Өзгермейді

Табиғатта, техникада және технологияда қайтымды процестер кездесе ме Жоқ кездеспейді

Такcи гараждан шығып, сменасын бітіріп, қайтып келді. Счетчиктің көрсетуі 300 км-ге артты. Автомашинаның жүрген жолын (S) және орын ауыстыру векторының модулін анықтаңдар : S = 300 км, l = 0; жүрген жолы 300км, орын ауыстыру векторының модулі 0 ге тең; S= 300км, .

Тамшыда пайда болатын Лаплас қысымы.

Таралу қисығының абсцисса өсіне асимптотикалы жақындауы,... мынаны білдіреді молекулалардың өте үлкен жылдамдығы болуының ықтималдығы аз екендігін

Таралу қисығының координат басынан өтуі, нені білдіреді газда қозғалмайтын молекулалардың жоқ екендігін

Таралу қисығының максимуміне, қандай жылдамдық сәйкес келеді? ең ықтимал жылдамдықсәйкес келеді

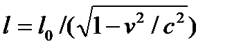
Таяқша ұзындығына параллель жылдамдықпен қозғалғанда бақылаушыға қарағанда оның ұзындығы неге тең? l0 -таяқшаның меншiктi ұзындығы. ; -1; -1

Тәуелсіз айнымалылар S мен V болғандағы ішкі энергияның толық дифференциялы мына өрнекпен сипатталады:

Тек қана серпiмдi соқтығыстарға қарасты тұжырымды көрсетiңiз. Денелердiң серпiмдi соқтығысуы дегенiмiз олардың кеңiстiктiң болымсыз кiшi облысында аз уақытқа әсерлесуi, және де: барлық соқтығысатын денелердiң импульстерiнiң қосындысы өзгермейдi; барлық соқтығысатын денелердiң кинетикалық энергиясыныңқосындысы өзгермейдi; соқтығыс соғын денелердің ішкі энергиясы өзгермейді

Тек қана серпiмсiз соқтығыстарға қарасты тұжырымды көрсетiңiз. Денелердiң серпiмсiз соқтығысуы дегенiмiз олардың кеңiстiктiң болымсыз кiшi облысында аз уақытта әсерлесуi, және де: барлық соқты ғысатын бөлшектердiң импульстерiнiң қосындысы өзгермейдi; соқтығысатын денелердiң iшкi энергиясы өзгередi; ішкі энергия мен кинетикалық энергияның қосындысы өзгермейді;

Температура өскен сайын максвелл заңына сәйкес: аз жылдамдығы бар молекулалар саны азаяды, жылдамдығы үлкен молекулалар саны көбейеді

Температураның дұрыс физикалық анықтамасын табыңыз. температура -хаостық қозғалыстағы молекуланың iлгерiлемелi қозғалысының кинетикалық энергиясына пропорционал физикалық шама

Температураның қандай шкалаларын білесіз және олардың арасындағы байланыс қалай Кельвин және Цельсий деп аталатын негізгі екі шкаласы бар. Олар бір-біріне қарағанда градусқа ығысқан, арасындағы байланыс мынадай: , ,

Температурасын жоғарылатқан кезде газ молекулаларының эффективті диаметрі қалай өзгереді? Кемиді

Тепе-теңдік күйдегі идеал газда болатын молекула үшін жылдамдықтар бойынша таралуы туралы максвелл заңы мына формуламен өрнектеледі:

Тербелiстiң логарифмдiк өшу декрементi δ мен сапалық Q арасындағы байланыс қандай? Q = π / δ; Q = (δ / π)-1; Q = π · δ -1;

Термодинамикалық екінші бастамасының ең жалпы өрнегін былайша жазуға болады

Термодинамикалық процестегi жұмыс таңбасы жөнiнде дұрыс пiкiрдi табыңыз. -жүйе сыртқы күштерге қарсы жұмыс атқарады

Термодинамиканық екінші бастамасының ең жалпы өрнегін былайша жазуға болады

Термодинамиканың бiрiншi бастамасының дұрыс тұжырымын көрсетiңiз. жүйеге берiлген жылу жүйенiң iшкi энергиясын өзгертуге және жүйенiң сыртқы күштерге қарсы жұмыс атқаруына жұмсалады;

Термодинамиканың бiрiншi заңының дұрыс өрнегiн көрсетiңiз.

Термодинамиканың бірінші бастамасы келесі теңдеуімен анықталынады. dQ dE dA

Термодинамиканың бірінші бастамасын пайдаланып жүйенің энтропия өзгерісін анықтайтын теңдеуді жазыңыз ( қатысты):

Термодинамиканың бірінші бастамасын энтальпия арқылы өрнектеу (изобаралық процесс үшін):

Термодинамиканың бірінші бастамасының дұрыс жазылуын көрсетіңіз

Термодинамиканың бірінші бастамасының теңдеуі:

Термодинамиканың бірінші заңы дегеніміз …… жүйеге үшін энергияның сақталу және айналу заңы, термодинамикалық жүйеге жазылған кезде

Термодинамиканың екінші бастамасының анықтамасын берініз. Жылылық температурасы төмен денеден температурасы жоғары денеге ауыспайды

Термодинамиканың негізгі теңдеуі мына формуламен өрнектеледі:

Толқын ұзындығы оның таралу жылдамдығы V және тербелiстiң дөңгелек жиiлiгi ω арасындағы дұрыс өрнектi табыңыз? ; л=6,28V∙щ-1; л=6,28щ-1/V-1;

Төменгi қай өрнек релятивистiк бөлшектiң импульсiнiң анықтамасы болып табылады? ;

төменгi ұшына массасы m=0,050 кг жүк iлсек серiппенiң ұзаруы

Төменде келтірілген құбылыстардың қайсылары молекулалар арасында тартылыс күшінің бар екендігін түсіндіреді қатты денелердің формасын және көлемін сақтауы

Төменде келтірілген шамалардың қайсысы атомдар мөлшеріне шамалас келеді? 10-10 м

Төменде келтірілген шамалардың қайсысы неорганикалық заттардың молекулаларының массаларының мәндеріне шамалас келеді. 10-27 кг

Төменде көрсетілген күштердің қайсыларының негізі электромагниттік әсерге жатады? се рпімділік күштері; және формулалармен анықталатын күштер; үйкеліс күштері;

Төмендегi формулалардың қайсысы iлгерiлемелi қозғалыс динамикасының негiзгi заңының өрнегi болып табылады? .

Төмендегі аталған физикалық шамалардың қайсыларына математикалық маятниктің аз амплитудалы тербелісінің периоды тәуелді? Еркін түсу үдеуіне; Жіптің ұзындығына; Жіптің ұзындығының еркін түсу үдеуіне қатынасына.

Төмендегі қос шамалардың ішінде гармониялық осциллятордың тек таңдап алынған қандай шамалары бір фазада тербелмейді? Жылдамдық және орын ауыстыру; Үдеу мен орын ауыстыру; Жылдамдық және үдеу;

Трамвай солға қарай бұрылады. Трамвайдың қозғалысы қандайқозғалыс түрiне жатады? Траекторияныңқисықтық центрiне қарасты тек айналма қозғалыстан. Нормаль үдеу қисықтың центріне қарай бағытталған айналма қозғалыстан, Нормаль бірлік вектор қисықтың центріне қарай бағытталған айналма қозғалыстан

Тұйықталған материалдың нүктелер жүйесiне (м.н.ж.) қатысты қате тұжырымды табыңыз.

Тұрақты көлем кезіндегі заттың үлесті мөлдік жылу сыйымдылығы үшін өрнекті мына түрде жазуға болады:

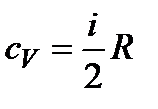
Тұрақты көлем кезіндегі молярлы жылу сыйымдылық мына формуламен өрнектеледі:

Тұрақты қысым жағдайдағы газ молекулаларының еркін жөру жолы температурамен қандай байланыста болады

Тұрақты қысым кезіндегі заттың үлесті мөлдік жылу сыйымдылығы мына өрнекпен сипатталады

Тұрақты температурадағы газ молекулаларының еркін жөру жолының қысымға тәуелділігі қандай

Тұтас біртекті радиустары бірдей цилиндр мен шар биіктіктері бірдей көлбеу жазықтықтан тайғанақтамай домалап келеді. Қай дене көлбеу жазықтықтың табанына бірінші жетеді? шар; көлемінмына формула бойынша анықтайтын фигура: ; көлемін мына формула бойынша анықтайтын фигура: .

Тұтқырлық коэффициентiнiң дұрыс анықтамасын көрсетiңiз. Тұтқырлық коэффициентi сан жағынан... бағытталған қозғалыс жылдамдығының градиентi бiрге тең кездегi бiрлiк уақыт iшiнде градиентке перпендикуляр бiрлiк ауданнан өтетiн молекулалар импульсiне тең.

Тұтқырлық құбылысын сипаттайтын дұрыс өрнектi табыңыз (к=m и -бағытталған қозғалыс импульсi).

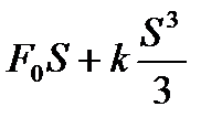
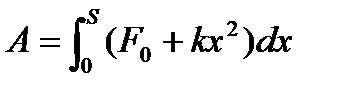
Түзу сызықты қозғалыс кезiнде денеге заңдылықпен өзгеретiн күш әсер етедi. Осы дененiң орын ауыстыруы х нөлден S-ке дейiн өзгергенде күштiң жұмысы неге тең? , ,

Тығыздығы дене тығыздығы сұйық бетiнде қалқып жүр. Дененiң көлемiнiңқанша бөлiгi сұйыққа батырылған. ; ,

Тыныштықтағы қатты денеге өте аз уақыт ішінде күш әсер етеді. Егер күштің түсу нүктесі массалар центрінен бөлек болса, дене қандай қозғалысқа түседі? ілгерілемелі және массалар центрін айнала қозғала бастайды; массалар центрін айнала ілгерілемелі қозғала бастайды; ілгерілемелі қозғала бастайды, массалар центрін айналады.

Тыныштықтағы шарға дәл сондай шар V жылдамдықпен келіп соқтығысады. Соқтығыс серпімді центрлік болса, соқтығыстан кейін шарлар қалай қозғалады? бірінші тоқтап, екінші шар V жылдамдықпен қозғала бастайды; Кинетикалық энергияның берілуі максималді (); теңдігі орындалады;

Универсал газ тұрақтысы жғне Больцман тұрақтысы келесі формула арқылы байланысады.

Универсал газ тұрақтысы келесі шамаға тең.

Ұзындығы L, массасы m жiңiшке таяқшаның ортасынан өтетiн өске қарасты таяқшаның инерция моментi . Таяқшаның бiр жақұшынан өтетiн өске қарасты инерция моментi неге тең? ,m/3•l-2; l2/3m-1;

Ұзындығы l=20 см созылмайтын жіпке ілінген массасы m=100г шарик горизонталь жазықтықта айналады. Вертикал бағытпен жіптің арасындағы бұрыш 30 градус. Ілу нүктесінен өтетін вертикаль өске қарасты шариктің инерция моменті неге тең? ,10-3кг/м-2; 104 г•см2;

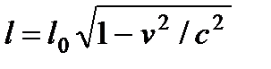
Ұзындығына перпендикуляр бағытта жылдамдықпен қозғалатын таяқшаның ұзындығы неге тең? l0 -таяқшаның меншiктi ұзындығы. ; -1; -1·1/ .

Ұшы сабына тiк бұрыш жасап иiлген Пито шыны түтiгi су ағып жатқан канал iшiне түтiктiң имек басы ағын сызығына параллель және түтiктiң тесiгi ағыс бағытына қарсы болатындай етіп қойылған. Түтiктiң вертикаль орналасқан сабымен су h=450мм биiктiкке каналдағы су деңгейiне қарағанда көтерiлген. Каналдағы судың жылдамдығы неге тең? 3,0 м/с; 10,8 км/сағ; 0,003км/с;

Ұшып келе жатқан дене қабырғаға серпімді соғылады. Соғылғанда дененің импульсі қалай өзгереді? тек импульстің қабырғаға перпендикуляр проекциясы өзгереді. Қабырғаға параллель проекциясы өзгермейді; тек импульстің горизонтальпроекциясы өзгереді; тек импульс векторының горизонталь құраушылары өзгереді.

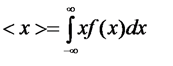
Үздiксiз өзгеретiн кездейсоқ шаманың орташа мәнi үшiн дұрыс формуласын көрсетiңiз.

Үйкеліс өссе резонанстық тербелу жиілігі: Кемиді; Төмендейді; Азаяды.

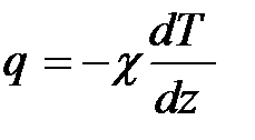
Үлесті жылу ағыны қай формуламен өрнектеледі?

Үлесті жылу ағыны немесе жылу ағынының беттік тығыздығы қай формуламен өрнектеледі?

Үш атомдық идеал газдың изохорлық процестегi мольдiк жылусиымдылығы неге тең?

Үш атомдық идеал газдың молекуласының энергиясы келесі формуламен анықталынады.

Фазалық ауысу үшiн энтропия өзгерiсiн анықтайтын дұрыс формуланы көрсетiңiз (процесс қайтымды, q-фазалық ауысу меншiктi жылуы).

Фазалық өзгерістердің негізінен қандай түрлерін (тектерін) білесіздер Бірінші және екінші текті фазалық өзгерістер

Фазалық тепе-теңдіктің сызықтары Клапейрон-Клаузиус теңдеуімен жазылады (L – ығысудың молярлық жылуы, V1 и V2 – екі фазаныңда молярлық көлемдері)

Фазалық ығысудағы энтропия өзгерісінің дұрыс формуласын көрсетіңіз (процессті қайтымды деп есептейміз, - фазалық ығысудың меншікті жылуы)

Физикалық маятниктiң келтiрiлген ұзындығы деп қандай шаманы айтады? Ілiну нүктесiнен теңселу центiрiне дейiнгi қашықтықты; Тербеліс периоды физикалық маятниктің периодына тең болатын математикалық маятниктің ұзындығын; , мұндағы l маятниктің ұзындығы

Физикалық маятниктiң периоды Т үшiн жазылған өрнектi көрсетiңiз. (J-iлiну нүктесiне қатысты маятниктiң инерция моментi, m-маятник массасы, g-еркiн түсу үдеуi, R-iлiну нүктесiнен массалар центрiне дейiнгi қашықтық): T = 2π[ J/(mgR)]1/2; T = 2π ; T=6,28 .

Физикалық маятниктiң тербелiс периоды үшiн дұрыс өрнектi көрсетiңiз. , ,

Флуктуациялар деп нені айтады? кездейсоқ шамалардың орташа мәндерден ретсіз ауытқуларын айтады

Фотонның Е энергиясы мен Р импульсінің байланысы қандай? , , m – релятивистік масса,




Поделиться с друзьями:


Дата добавления: 2014-11-08; Просмотров: 3525; Нарушение авторских прав?; Мы поможем в написании вашей работы!


Нам важно ваше мнение! Был ли полезен опубликованный материал? Да | Нет



studopedia.su - Студопедия (2013 - 2026) год. Все материалы представленные на сайте исключительно с целью ознакомления читателями и не преследуют коммерческих целей или нарушение авторских прав! Последнее добавление




Генерация страницы за: 0.01 сек.