Студопедия

КАТЕГОРИИ:


Архитектура-(3434)Астрономия-(809)Биология-(7483)Биотехнологии-(1457)Военное дело-(14632)Высокие технологии-(1363)География-(913)Геология-(1438)Государство-(451)Демография-(1065)Дом-(47672)Журналистика и СМИ-(912)Изобретательство-(14524)Иностранные языки-(4268)Информатика-(17799)Искусство-(1338)История-(13644)Компьютеры-(11121)Косметика-(55)Кулинария-(373)Культура-(8427)Лингвистика-(374)Литература-(1642)Маркетинг-(23702)Математика-(16968)Машиностроение-(1700)Медицина-(12668)Менеджмент-(24684)Механика-(15423)Науковедение-(506)Образование-(11852)Охрана труда-(3308)Педагогика-(5571)Полиграфия-(1312)Политика-(7869)Право-(5454)Приборостроение-(1369)Программирование-(2801)Производство-(97182)Промышленность-(8706)Психология-(18388)Религия-(3217)Связь-(10668)Сельское хозяйство-(299)Социология-(6455)Спорт-(42831)Строительство-(4793)Торговля-(5050)Транспорт-(2929)Туризм-(1568)Физика-(3942)Философия-(17015)Финансы-(26596)Химия-(22929)Экология-(12095)Экономика-(9961)Электроника-(8441)Электротехника-(4623)Энергетика-(12629)Юриспруденция-(1492)Ядерная техника-(1748)

Модуль-2 3 страница




D) 5 Дж

Е) 31,4 Дж

 

$$$ 227

Берілгендердің ішінен Ньютонның ІІІ заңының анықтамасын көрсетіңіз:

A) Әр қандай дене сыртқы әсер болмаса тыныштықта болады немесе бірқалыпты түзу сызық бойынша қозғалыс күйін сақтайды.

B) Материалдық нүктеге беретін үдеу әсер етуші күшке пропорционал және бағыты онымен дәлдес.

C) Жүйедегі ішкі күштер оның импульсін де, массасында өзгерте алмайды, сондықтан массалар центрінің жылдамдығы тұрақты болып қала береді.

D) Тұйық жүйенің толық импульсі өзгереді, ал массалар центрі бірқалыпты және түзу сызық бойынша қозғалады.

E) Екі материалдық нүктелердің өзара әсерлесу күштері модуль бойынша тең бағыттары қарама-қарсы болады, ол бағыт нүктелерді қосатын сызық бойымен дәл келеді.

 

$$$ 228

Ұзындығы l жіңішке, салмақсыз стержень, оның ортасы арқылы өтетін перпендикуляр ОО/ осіне қатысты айналады. Стерженьге әрқайсысының массасы m болатын екі жүкше бекітілген. Егер жүкшелердің орнын 1- жағдайдан 2 - жағдайға өзгертсек жүгі бар стерженнің инерция моменті қалай өзгереді? (жүктердің соңғы орындарының аралығы бастапқы орындарының аралығынан 2 есе артық);

A) 4 есе артады

B) 2 есе кемиді

C) 8 есе кемиді

D) 2 есе артады

E) 4 есе кемиді

 

$$$ 229

Инерция моменті 10 кг·м2 тұтас диск 2 рад/с2 бұрыштық үдеумен бірқалыпты үдемелі айналады. Дискінің айналдырушы күш моментін анықтаңыз:

A) 12 Н·м

B) 20 Н·м

C) 4 Н·м

D) 0,2 Н·м

E) 5 Н·м

 

$$$ 230

Массасы 2кг дененің түзу жолмен қозғалыс теңдеуі берілген Мұндағы С=5м/с2, D=1м/c3 болса, денеге t=2 с уақыт мезетіндегі әсер ететін күшті анықтаңыз.

A) 44 Н

B) 55 Н

C) 33 Н

D) 22 Н

E) 11 Н

 

$$$ 231

400м/с жылдамдықпен ұшып келе жатқан оқ, бөгетке тиіп, тоқтағанға дейін 2,5м жол жүреді. Бөгеттің кедергі күшін анықтаңыз. Оқтың массасы 24г:

A) F = 76,8H

B) F = 0,768H

C) F = 7,68H

D) F = 768H

E) F= 760H

 

$$$ 232

Қозғалыстағы дененің массасы 2 есе артып, жылдамдығы 2 есе кемісе, кинетикалық энергиясы қалай өзгереді?

A) 4 есе кемиді

B) 4 есе артады

C) 2 есе артады

D) Өзгеріссіз қалады

E) 2 есе кемиді

 

$$$ 233

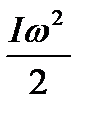
Берілген осьті ω бұрыштық жылдамдықпен айнала қозғалған дененің кинетикалық энергиясының өрнегін көрсет:

А)

B)

C)

D)
E)

 

$$$ 234

Серіппе 2Н күштің әсерінен 4 см-ге созылады. Осы серіппе қандай күш әсерінен 2 см-ге созылады?

А) 8 Н

B) 4 Н

C) 1 Н

D) 2 Н
E) 5 Н

 

$$$ 235

Егер дененің кинетикалық энергиясын 4 есе арттырса оның импульсі қалай өзгереді?

А) 2 есе артады

B) 4 есе артады

C) өзгермейді

D) 4 есе кемиді
E) 2 есе кемиді

 

$$$ 236

Жүрілген жолы S, айнымалы күштің жасайтын жұмысы неге тең (Fs-күштің қозғалыс бағытындағы проекциясы):

А)

В) FScosa

С) d=FsdS

D) =FsS

Е) FS sina

 

$$$ 237

Жерден h биіктіктегі дененің потенциалдық энергиясының дұрыс өрнегін көрсетіңіз (R0 – Жер радиусы).

А)

В)

С)

D)

Е)

 

$$$ 238

Материалдық нүктенің қозғалысы x=5+8t+4t2 м теңдеуімен сипатталады. Егер дене массасы 1 кг болса, онда қозғалыс басталғаннан 1 с өткеннен кейінгі нүктенің импульсі неге тең?

А) 0,4 Н×с

В) 16 Н×с

С) 4 Н×с

D) 8 Н×с

Е) 5 Н×с

 

$$$ 239

Массасы 20 кг, радиусы 30 см тұтас диск 2 рад/с бұрыштық жылдамдықпен бірқалыпты айналады. Дискінің импульс моменті:

А) 3

В) 10

С) 1,8

D) 20

Е) 1

 

$$$ 240

F1= 3Н және F2=4Н екі күш дененің бір нүктесіне түсірілген. және күштердің арасындағы бұрыш π/2. Тең әсерлі күштің модулін тап:

А) 1Н

В) 5Н

С) 7Н

D) Н

Е) Н

 

$$$ 241

Массасы 1 т дене қандай биіктікте 100 кДж потенциалық энергияға ие болады?

А) 0,05 м

В) 5 м

С) 50 м

D) 10 м

Е) 0,5 м

 

$$$ 242

Консервативті күшті көрсетіңіз:

А) Денелердің пластикалық деформациясында пайда болатын күштер.

В) Сырғанау үйкелісінің күштері

С) Ортаның кедергі күші

D) Абсолют серпімсіз соқтығыста пайда болатын күштер

Е) Ауырлық күші

 

$$$ 243

Үдеуі 3 м/с2 денеге 10 Н күш әсер етеді. Үдеуі 1,5 м/с2 болған осы денеге қандай күш ісер етеді:

А) 2Н

В) 5Н

С) 1Н

D) 12Н

Е) 10Н

 

$$$ 244

Массасы m бөлшек у осінің бойымен бірқалыпты қозғалып келеді. Координаттың басы О нүктесіне қатысты бөлшектің L импульс моменті қалай бағытталған?

А) ОХ осі бойымен

В) ОZ осі бойымен

С) –ОZ осі бойымен

D) ОУ осі бойымен

Е) Еш кайда, L=0

 

$$$ 245

Дененің радиус-векторы уақыт бойынша (м) заңымен өзгереді. Егер дене массасы 2 кг-ға тең болса, онда бұл қозғалыс қандай күштің әсерінен болады?

А) 1 Н

В) 7 Н

С) 2 Н

D) 4 Н

Е) 6 Н

 

$$$ 246

Нөлдік деңгейден жоғары қарай лақтырылған дене биіктікке көтерілсе, онда ауырлық күшінің жұмысы мынаған тең:

А)

B)

C)

D)

E)

 

$$$ 247

Материалдық нүктенің қозғалыс теңдеуі түрінде берілген. Егер материялдық нүктенің массасы 2 кг болса, оның 2 секундтен кейінгі импульсі қандай болады?

А) 2 Н·с

B) 8 Н·с

C) 15 Н·с

D) 20 Н·с

E) 16 Н·с

 

$$$ 248

Массасы және радиусы біртекті дискінің, диск жазықтығына перпендикуляр және центрі арқылы өтетін өске қатысты инерция моменті неге тең:

А)

B)

C)

D)

E)

 

$$$ 249

Массасы 5 кг дене қандай да бір күштің әсерінен 1 м/с2 үдеу алды. Массасы 10 кг денеге осы күш қандай үдеу береді:

А) 0,5 м/с2

B) 1,5 м/с2

C) 1 м/с2

D) 2 м/с2

E) 5 м/с2

$$$ 250

Нүкте 5 Н центрлік күштің әсерінен радиусы 2 м шеңбер бойымен орын ауыстырады. Нүкте толық бір айналғанда осы күш қандай жұмыс атқарады?

А) 10 Дж

В) 5 Дж

С) 0

D) 314 Дж

Е) 15,7 Дж

 

$$$ 251

Массасы 200 кг жүкті кран жоғары қарай 2,5 м/с2 үдеумен көтереді. Кранның арқанын керу күшін анықтаңыз.

А) 3 кН

В) 1 кН

С) 2 кН

D) 3,5 кН

Е) 2,5 кН

 

$$$ 252

Массасы 5кг дене 10 м биіктіктен еркін құлады. Ауырлық күшінің жұмысын анықтаңыз ()

А) 50 Дж

B) 1000 Дж

C) 250 Дж

D) 500 Дж

E) 2000 Дж

 

$$$ 253

Парашют ашылардың алдында массасы 100 кг парашютші а=8м/с2

үдеумен түсіп келе жатты. Парашютшінің салмағын табыңыз ():

А) 120 Н

B) 30 Н

C) 60 Н

D) 200 Н
E) 40 Н

 

$$$ 254

Динамометр серіппесін 5 см-ге созған. Серіппенің серпімділік коэффициенті 40 Н/м. Созылған серіппенің потенциалық энергиясы неге тең?

А) 45 мДж

В) 62 мДЖ

С) 60 мДж
D) 25 мДЖ
Е) 50 мДж

 

$$$ 255

Стерженьге перпендикуляр және оның ұшы арқылы өтетін оське қатысты ұзындығы 30 см және массасы 0.4 кг жіңішке біртекті стерженнің инерция моменті неге тең?

А) 1,5×10-3 кг м2

В) 2×10-3 кг м2

С) 10×10-3 кг м2
D) 12×10-3 кг м2
Е) 6×10-3 кг м2

 

$$$ 256

Массасы 2 кг тұтас диск горизонталь жазықтықта 4 м/с жылдамдықпен сырғанаусыз домалап келеді. Дискінің кинетикалық энергиясы:

А) 20 Дж

В) 60 Дж

С) 30 Дж
D) 24 Дж
Е) 10 Дж

 

$$$ 257

Массасы 100 кг денеге күш әсер еткенде оның жылдамдығын 10 м/с-тан 20 м/с-қа дейін артты. Әсер етуші күштің жұмысы қандай?

А) 2000 Дж

B) 5000 Дж

C) 100000 Дж

D) 1000 Дж

E) 15000 Дж

 

$$$ 258

Қуаттың анықтамасы.

А) материяның алуан түрлі қозғалыстары мен әсерлесуін сипаттайтын шама.

В) 1 секундта атқаратын жұмысықа тең шама.

С) денелердің өзара орналасуын немесе өзара әсерлесуін сипаттайтын шама.

D) дененің қозғалысын сипаттайтын шама.

Е) дененің инерттілік және гравитациялық қасиеттерін сипаттайтын шама.

 

$$$ 259

Массасы 200 г доп 8 м/c жылдамдықпен ұшып келе жатқанда оның импульсі қандай блады?

А) 0

В) 1,6 кг·м/c

С) 8 кг·м/с

D) 10,2 кг·м/с

Е) 160 кг·м/с

 

$$$ 260

Егер 2 дененің ара қашықтығын 2есе үлкейтсе, олардың гравитациялық әсерлесу күші қалай өзгереді?

А) 2 есе өседі

В) 4 есе кемиді

С) өзгермейді

D) 2 есе кемиді

Е) 4 есе өседі

 

$$$ 261

Шеңбер бойымен қозғалатын дененің центрге, тартқыш үдеуінің бағыты:

А) шеңберге жанама бағытымен бағыттас

В) жылдамдыққа параллель

С) нақты бағыты жоқ

D) радиус бойымен центрге бағытталған

Е) жылдамдыққа перпендикуляр

 

$$$ 262

Күш моменті қандай бірлікпен өлшенеді:

A) кг·м

B) Вт

C) Н

D) Н·м

E) Дж

 

$$$ 263

Импульс моменті үшін дұрыс формуланы көрсетіңіз:

A)

B)

C) Fl

D)

E)




Поделиться с друзьями:


Дата добавления: 2014-11-25; Просмотров: 962; Нарушение авторских прав?; Мы поможем в написании вашей работы!


Нам важно ваше мнение! Был ли полезен опубликованный материал? Да | Нет



studopedia.su - Студопедия (2013 - 2025) год. Все материалы представленные на сайте исключительно с целью ознакомления читателями и не преследуют коммерческих целей или нарушение авторских прав! Последнее добавление




Генерация страницы за: 0.013 сек.