Студопедия

КАТЕГОРИИ:


Архитектура-(3434)Астрономия-(809)Биология-(7483)Биотехнологии-(1457)Военное дело-(14632)Высокие технологии-(1363)География-(913)Геология-(1438)Государство-(451)Демография-(1065)Дом-(47672)Журналистика и СМИ-(912)Изобретательство-(14524)Иностранные языки-(4268)Информатика-(17799)Искусство-(1338)История-(13644)Компьютеры-(11121)Косметика-(55)Кулинария-(373)Культура-(8427)Лингвистика-(374)Литература-(1642)Маркетинг-(23702)Математика-(16968)Машиностроение-(1700)Медицина-(12668)Менеджмент-(24684)Механика-(15423)Науковедение-(506)Образование-(11852)Охрана труда-(3308)Педагогика-(5571)Полиграфия-(1312)Политика-(7869)Право-(5454)Приборостроение-(1369)Программирование-(2801)Производство-(97182)Промышленность-(8706)Психология-(18388)Религия-(3217)Связь-(10668)Сельское хозяйство-(299)Социология-(6455)Спорт-(42831)Строительство-(4793)Торговля-(5050)Транспорт-(2929)Туризм-(1568)Физика-(3942)Философия-(17015)Финансы-(26596)Химия-(22929)Экология-(12095)Экономика-(9961)Электроника-(8441)Электротехника-(4623)Энергетика-(12629)Юриспруденция-(1492)Ядерная техника-(1748)

Модуль-5




Тұтас орталар механикасы

$$$ 367

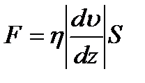
Ламинар ағыс кезінде әсер етуші тұтқырлық үйкеліс күшінің өрнегінде қозғалыс жылдамдығының дәрежесі қандай болатындығын көрсет?

А)

B)

C)

D)

Е)

 

$$$ 368

Көлемі 0,5 м3 судағы тасқа әсер етуші Архимед күшін табыңыз. Судың тығыздығы 1000кг/м3, g=10 м/с2.

А) 2 кН

В) 3 кН

С) 4 кН

D) 5 кН

Е) 6 кН

 

$$$ 369

Ыдысқа өзара араласпайтын үш түрлі сұйық құйылған: су, керосин және сынап. Бұл сұйықтар ыдыста қандай ретпен орналасады? rсын >rсу >rкер

А) су-керосин-сынап

В) сынап-су-керосин

С) сынап-керосин-су

D) керосин-сынап-су

Е) су-сынап-керосин

 

$$$ 370

Атмосфера қысымын қандай құралмен өлшейді?

А) пикнометр

В) термометр

С) барометр

D) амперметр

Е) спидометр

 

$$$ 371

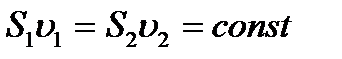
Келесі өрнектердің қайсысы мынадай анықтамаға сәйкес келеді: кез-келген құбырдың көлденең қимасы арқылы бірдей уақыт аралығында ағып өткен сұйық массалары тең - бұл теңдеуді ағыстың “үздіксіздік теңдеуі” деп атайды.

А) Sυ=const

B)

C) r=const

D) E=const

E) P=const

 

$$$ 372

Көрсетілген Re=υRr/h теңдеуінен Рейнольдс тұрақтысын таңдаңыз.

А) υ

В) R

С) h

D) Re

E) r

 

$$$ 373

Паскаль заңының анықтамасын таңдап алыңыз.

А) Сұйыққа (газға) батырылған денеге, сол дененің батқан бөлігіндей сан мәні сұйықтың (газдың) салмағына тең кері итеруші күш әсер етеді

В) Сұйыққа (газға) түсірілген қысым барлық бағытқа бірдей тарайды

С) Қысым деп күштің оған перпендикуляр орналасқан беттің ауданына қатынасын айтады

D) Кері итеруші күш дененің салмағына тең болса, онда дене сұйықта (газда) жүзеді

Е) Біртекті сұйықтың һ тереңдігіндегі бағананың қысымы сұйық тығыздығына және бату тереңдігіне пропорционал

 

$$$ 374

Көлемі V=10-4 м3 шардың ішіндегі газдың массасы 0,3 кг. Газдың тығыздығын табыңыз.

А) 3×103 кг/м3

В) 0,3×103 кг/м3

С) 3,2×103 кг/м3

D) 4,5×103 кг/м3

Е) 6,0×103 кг/м3

 

$$$ 375

Қысымның өлшем бірлігін көрсетіңіз.

А) Вт

В) Кд

С) Па

D) Дж

Е) Ом

 

$$$ 376

Су, қимасының ауданы айнымалы горизонталь түтікпен ағады. Түтіктің қай жерінде қысым ең аз болады?

A) түтіктің жіңішке бөлігінде

B) түтіктің кең бөлігінде

C) жіңішкерген жерде

D) ұлғая бастаған жерде

E) түтіктің барлық қимасы бойынша қысым бірдей

 

$$$ 377

Сұйықта жылдамдықпен қозғалған шарға әсер етуші кедергі күшін көрсетіңіз

(Стокс заңы).

А)

В)

С)

D)

Е)

 

$$$ 378

Келтірілген өрнектердің қайсысы Бернулли теңдеуі деп аталады?

A)

B)

C)

D)

E)

 

$$$ 379

Келтірілген өрнектердің қайсысы серіппе энергиясының ұзындығына тәуелділігін көрсетеді? Деформацияланбаған серіппенің энергиясы нольге тең деп алыңыз.

A)

B)

C)

D)

E)

$$$ 380

Көлденең қимасы айнымалы горизонтал түтікпен су ағады. Түтіктің қима бетінің ең үлкен жеріндегі судың жылдамдығы 20 м/с болды. Түтіктің диаметрі 1,5 есе кіші болатын қима беттегі су ағынының жылдамдығын анықтаңыз.

A) 25 м/с

B) 35 м/с

C) 45 м/с

D) 55 м/с

E) 65 м/с

 

$$$ 381

Пуазейль өрнегін жазыңыз.

A)

B)

C)

D)

E)

 

$$$ 382

Стокс өрнегін көрсетіңіз:

A)

B)

C)

D)

E)

 

$$$ 383

Егер күшті өзгертпей, серіппенің ұзындығын 2 есе кемітсек, онда салыстырмалы ұзындығы қалай өзгереді?

А) 2 есе кемиді

В) 2 есе артады

С) өзгермейді

D) 4 есе кемиді

Е) 4 есе артады

 

$$$ 384

Егер сұйық ағатын түтіктің (трубаның) диаметрін 2,4 есе кішірейтсе, онда сұйықтың ағыс жылдамдығы қалай өзгереді?

А) 2,4 есе артады

В) 2,4 есе кемиді

С) өзгермейді

D) 5,76 есе артады

Е) 5,76 есе кемиді

 

$$$ 385

Су горизонтал орналасқан көлденең қимасы өзгеретін түтікпен ағады. Түтіктің кең бөлігіндегі судың жылдамдығы 2,0 м/с. Түтіктің кең бөлігінің диаметрі жіңішке бөлігінің диаметрінен 1,5 есе артық болса, оның жіңішке бөлігіндегі су жылдамдығын анықтаңыз.

А) 3,5 м/с

В) 2,35м/с

С) 1,0 м/с

D) 4,5 м/с

Е) 1,2м/с

 

$$$ 386

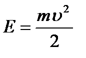
Егер 75 кН күшпен әсер еткенде серіппенің ұзындығы 16 мм-ге ұзарса, онда серпімді деформацияланған серіппенің потенциялық энергиясы неге тең болады?

А) 75 кДж

В) 59 кДж

С) 16 кДж

D) 600 Дж

Е) 91 Дж

 

$$$ 387

Келтірілген теңдіктердің қайсысы ағыстың үздіксіздік теңдеуін сипаттайды?

А)

В)

С)

D)

Е)

 

$$$ 388

Бернулли теңдеуі қозғалыстағы сұйықтар мен газдар үшін … сипаттайды.

А) импульстің сақталу заңын

В) импульс моментінің сақталу заңын

С) массаның сақталу заңын

D) энергияның сақталу заңын

Е) зарядтың сақталу заңын

 

$$$ 389

Дене координаталары (7;2) нүктеден координаталары (-5;7) нүктеге орын ауыстырды. Дененің орын ауыстыруының модулі қандай?

A) 11

B) 5,4

C) 13

D) 7

E) 10

 

$$$ 390

Дене 0=30 м/с жылдамдықпен вертикаль жоғары лақтырылды. Қозғалыс басталғаннан кейінгі 4 с ішіндегі оның орын ауыстыруы қандай? (g=10 м/с2).

A) 45м

B) 50м

C) 25м

D) 30м

E) 40м

 

$$$ 391

Қазіргі заманғы сүңгуір қайықтар 400 м тереңдікке дейін суға бата алады. Теңіз суының осы тереңдігіндегі гидростатикалық қысымды есептеңіз. Теңіз суының тығыздығы 1030 кг/м3, g=10 м/с2.

A) P=20000 Па

B) P=20600 Па

C) P= 6800 кПа

D) P=4120 кПа

E) P=1130 кПа

 

$$$ 392

R1
R2

Радиустары R1=4 см және R2=12 см дискілер шығыры арқылы сырғамай айналады. Бірінші дискінің бұрыштық жылдамдығы рад/с. Екінші дискінің бұрыштық жылдамдығы қандай?

A)

B)

C)

D)

E)

 

$$$ 393

Егер гидравликалық көтергіштің кіші поршенінің ауданы 10 см2, үлкен поршенінің ауданы 0,1 м2 болса, массасы 1000 кг автомобильді көтеру үшін оның кіші поршеніне шамамен қандай күш түсіру керек?

A) 100 кг

B) 10 кг

C) 1000 Н

D) 100 Н

E) 106 Н

 

$$$ 394

 
 
 
 

Суы бар ыдыстардың салмағы мен табандарының аудандары бірдей. Олардың қайсысының түбіне көбірек қысым түседі және неше есе?

 

А) 1, екі есе үлкен

B) 2, екі есе үлкен

C) Р12

D) 1, үш есе үлкен

E) жауаптардың ішінде дұрысы жоқ

 

$$$ 395

Ыдыстағы сұйық деңгейінің биіктігі қабырғасындағы тесіктен 1,5м жоғары болғандағы тесіктен шыққан сұйық ағынының жылддамдығын анықтау керек:

A) 4,52м/с

B) 16,46м/с

C) 2,71м/с

D) 10,84м/с

E) 5,42м/с

 

$$$ 396

Балқу кезінде…. 1) Барлық денелердің көлемі ұлғаяды. 2) Барлық денелердің көлемі аязады. 3) Кейбір денелердің көлемі артады, кейбіреулерінің көлемі кемиді.

A) 1, 2.

B) 2.

C) 3.

D) 2, 3.

E) 1.

 

$$$ 397

Ұзындығы 30 см математикалық маятниктің амплитудасы 0,09 м-ден 0,01м дейін төмендесе, оның тербеліс периоды қандай болады?

A) 3 есе артады.

B) Азаяды.

C) 9 есе артады.

D) 9 есе кемиді.

E) Өзгермейді.

 

$$$ 398

Диаметрі 2 см болатын құбырдан жарты сағаттың ішінде массасы 1,53 кг газ ағып өткен? Газдың тығыздығы 7,5 кг/м3 болса, оның ағыс жылдамдығы қандай болады?

A) 0,24 м/с

B) 0,36 м/с

C) 5 м/с

D) 0,12 м/с

E) 1,5 м/с

 

$$$ 399

Гидродинамикалық қысымның өрнегін көрсету керек:

А)

В)

С)
D)
Е)

 

$$$ 400

Келтірілген теңдеулердің қайсысы ішкі үйкеліс (тұтқырлық) құбылысын сипаттайды?

1.

2.

3.

4.

 

А) Тек 3.

В) 1 және 3.

С) Тек 4.

D) 3 және 4.

Е) 1 және 2.

 

$$$ 401

Келесі өрнектердің қайсысы мынандай анықтамаға сәйкес келеді: кез келген құбырдың көлденең қимасы арқылы бірдей уақыт аралығында ағып өтетін сұйық массалары тең. Бұл теңдеуді ағыстың «үздіксіздік теңдеуі» деп атайды

А) Su=const

В) P=const

С) r=const

D) E=const

Е)

 

$$$ 402

Мынау қай қысым -?

А) механикалық

В) гидростатикалық

С) нормальдық
D) динамикалық
Е) статикалық

 

$$$ 403

Ыдыстағы сұйық деңгейінің қабырғасындағы тесіктен 1,5 м жоғары болса тесіктен шыққан сұйық ағынының жылдамдығы қандай?

А) 2,71 м/с

В) 5,42 м/с

С) 4,52 м/с

D) 16,46 м/с

Е) 10,84 м/с

 

$$$ 404

Егер ағын түтігінің радиусы 2 есе артса, онда осы түтік арқылы ағатын идеал сұйықтың жылдамдығы неше есе өзгереді?

A) 4 есе артады

B) 2 есе кемиді

C) 8 есе кемиді

D) 2 есе артады

E) 4 есе кемиді

 

$$$ 405

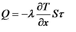
Диффузия процесін өрнектейтін негізгі теңдеу:

А)

В)

С)

D)

Е)

 

$$$ 406

Сұйық ішіндегі гидростатикалық қысым:

А)

В)
С)

D)
Е)

 

$$$ 407

Ағын түтігі горизонталь орналасқандағы Бернулли теңдеуі:

А)

В)
С)
D)

Е)

 

$$$ 408

Төменде келтірілген қасиеттердің қайсысы қатты денеге тән:

А) Пішін мен көлем тұрақтылығы.

B) Көлем тұрақтылығы.

C) Массаның өзгермеуі.

D) Масса мен көлем тұрақтылығы.

E) Тығыздық тұрақтылығы.

 

$$$ 409

Биіктігі 0,5м керосин бағаны ыдыс түбіне қандай қысым түсіреді?

(rкеросин = 800 кг/м3)

А) 5кПа

В) 1кПа

С) 3кПа

D) 4кПа

Е) 6кПа




Поделиться с друзьями:


Дата добавления: 2014-11-25; Просмотров: 816; Нарушение авторских прав?; Мы поможем в написании вашей работы!


Нам важно ваше мнение! Был ли полезен опубликованный материал? Да | Нет



studopedia.su - Студопедия (2013 - 2025) год. Все материалы представленные на сайте исключительно с целью ознакомления читателями и не преследуют коммерческих целей или нарушение авторских прав! Последнее добавление




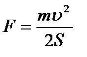
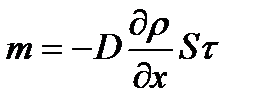
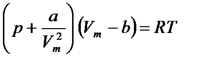
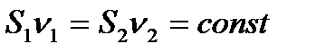
Генерация страницы за: 0.013 сек.