Студопедия

КАТЕГОРИИ:


Архитектура-(3434)Астрономия-(809)Биология-(7483)Биотехнологии-(1457)Военное дело-(14632)Высокие технологии-(1363)География-(913)Геология-(1438)Государство-(451)Демография-(1065)Дом-(47672)Журналистика и СМИ-(912)Изобретательство-(14524)Иностранные языки-(4268)Информатика-(17799)Искусство-(1338)История-(13644)Компьютеры-(11121)Косметика-(55)Кулинария-(373)Культура-(8427)Лингвистика-(374)Литература-(1642)Маркетинг-(23702)Математика-(16968)Машиностроение-(1700)Медицина-(12668)Менеджмент-(24684)Механика-(15423)Науковедение-(506)Образование-(11852)Охрана труда-(3308)Педагогика-(5571)Полиграфия-(1312)Политика-(7869)Право-(5454)Приборостроение-(1369)Программирование-(2801)Производство-(97182)Промышленность-(8706)Психология-(18388)Религия-(3217)Связь-(10668)Сельское хозяйство-(299)Социология-(6455)Спорт-(42831)Строительство-(4793)Торговля-(5050)Транспорт-(2929)Туризм-(1568)Физика-(3942)Философия-(17015)Финансы-(26596)Химия-(22929)Экология-(12095)Экономика-(9961)Электроника-(8441)Электротехника-(4623)Энергетика-(12629)Юриспруденция-(1492)Ядерная техника-(1748)

Модуль-8




Статистикалық физика және термодинамика

$$$ 521

Термодинамикалық параметрлерді атаңыз.

А) қуат

В) температура, қысым, көлем

С) күш

D) газ тұрақтысы

Е) еркіндік дәрежесі

 

$$$ 522

Бастапқы параметрлері P,V,T болатын бір моль идеал газдың Р=const кезінде көлемі 3V-ге дейін ұлғаяды. Осы ұлғаю кезінде газ қанша жұмыс атқарады?

А) PV

В) 2PV

С) 3PV

D) 4PV

Е) 5PV

 

$$$ 523

Адиабаталық процестің теңдеуін көрсетіңіз.

А) PV=RT

В) PVg=const

С) PV=const

D) P/V=const

E) V/T=const

 

$$$ 524

Р, Па
Т, К
Суретте қандай процестің диаграммасы көрсетілген?

 

 

А) адиабатты

В) изотермалық

С) изобаралық

D) изохоралық

Е) политропты

 

$$$ 525

Көрсетілген суреттен массасы тұрақты идеал газдың көлемі 1-ші күйден 2-ші күйге көшкенде қалай өзгерді?

Р, Па
V, м3
 
 

 


А) көлемі ұлғаяды және қысымы артады

В) өзгеріссіз қалады

С) қысымы және көлемі кемиді

D) ұлғаюы да, кемуі де мүмкін

Е) мұндай процесс мүмкін емес

 

$$$ 526

Р, Па
V, м3
 
 
PV диаграммасында идеал газдың 1-ші күйден 2-ші күйге өту процесі көрсетілген. Бұл қандай процесс?

 

А) изобаралық қыздыру

В) изотермалық процесс

С) адиабаталық процесс

D) изобаралық суыту

Е) изотермалық кеңею

 

$$$ 527

Көрсетілген теңдеулер арасынан изотермалық процестің теңдеуін көрсетіңіз.

А) PV=RT

B) PVg =const

C) PV=const

D) P/V=const

E) V/T=const

 

$$$ 528

Бір молекуланың массасын анықтау үшін қандай өрнек пайдаланылады?

А) m=n M

В) m =

C) m =

D) m = DU/l

E) m=G/ cDT

 

$$$ 529

Көлемі V, қысымы Р және температурасы Т газ молекулаларының N санын есептеуге қай өрнекті қолданасыз? (k – Больцман тұрақтысы, NA – Авогадро саны, R – универсал газ тұрақтысы)

A) N= kT/ PV

B) N= PV / kT

C) N= PV/ NAkT

D) N= RT/ PV

E) N= PV/TR

 

$$$ 530

Идеал газды изобаралы қыздырғанда 1-ші күйден 2-ші күйге өткен. Газ массасы тұрақты болғанда, оның қысымы қалай өзгереді?

 

V, м3
Т, К
2
1

 

А) өзгермейді

В) кемиді

С) артады

D) газ массасын білу қажет

Е) газға тәуелді жауабы әртүрлі болуы керек

 

$$$ 531

P, Па
Т, К
 
 
 
Cуретте көрсетілген график бойынша идеал газ 1 күйден 2 күйге көшкен кездегі оның көлемі қалай өзгеретіндігін анықтаңыз.

 

A) өзгермейді

B) кемиді

C) 2 есе артады

D) артады

E) 2 есе кемиді

 

$$$ 532

Көлемін 2 есе арттырып, ал абсолют температурасын 2 есе кеміткен кезде, идеал газдың қысымы қалай өзгереді?

A) 2 есе кемиді

B) 4 есе кемиді

C) өзгермей қалады

D) 2 есе артады

E) 4 есе артады

 

$$$ 533

Р, Па
Т, К
 
 
 
Температурасы Т1-ден Т2-ге дейін өзгерген кездегі берілген газ массасын суыту процесі суретте кескінделген. Бұл процесс кезінде газ тығыздығы қалай өзгерді?

 

A) кемиді

B) 2 есеге кемиді

C) өзгермейді

D) артты

E) 2 есе артты

 

$$$ 534

Р, Па
Т, К
А
В
·
·
Р–Т диаграммасында берілген газ массасының А және В нүктелер арасындағы екі күйі көрсетілген. Бұл күйлердегі газдардың көлемдерін салыстырыңыз.

 

 

A) VB =VA

B) VB < VA

C) VB > VA

D) VA =2 VB

E) VA = 3 VB

 

$$$ 535

Изобаралық процестің өрнегін көрсетіңіз.

A)

B)

C)

D)

E)

 

$$$ 536

Изотермалық процестің өрнегін көрсетіңіз.

A)

B)

C)

D)

E)

 

$$$ 537

Изохоралық процестің өрнегін көрсетіңіз.

A)

B)

C)

D)

E)

 

$$$ 538

Төменде келтірілген өрнектердің қайсысы идеал газ күйінің теңдеуі болады?

А)

В)

С)

D)

Е)

 

$$$ 539

Денелер жылулық тепе-теңдікте болмау үшін, екі дененің міндетті түрде қандай физикалық параметрлері әртүрлі болуы керек?

А) қысымы

В) орташа квадраттық жылдамдығы

С) температурасы

D) дене көлемдері

Е) дене массасы

 

$$$ 540

Су буы конденсацияланады. Бұл кезде энергия жұтыла ма, әлде бөліне ме?

А) жұтылады

В) бөлінеді

С) жұтылмайды да, бөлінбейді де

D) жұтылуы мүмкін, бөлінуі де мүмкін

Е) алдында бөлінеді, ал одан кейін жұтылады

 

$$$ 541

Баллонда идеал газ бар. Газдың біраз бөлігі шыққан кезде, газдың температурасы 3 есе кеміген, ал қысым 4 есе кеміген. Процентпен есептелінсе, газдың қанша бөлігі шығарылған?

А) 10%

В) 25%

С) 30%

D) 50%

Е) 80%

 

$$$ 542

Идеал газдың көлемін 2 есе өсіріп, ал абсолют температурасын 2 есе кемітсек, идеал газдың қысымы қалай өзгереді?

А) 2 есе кемиді

В) 2 есе артады

С) өзгермейді

D) 4 есе артады

Е) 4 есе кемиді

 

$$$ 543

Идеал газ жабық ыдыста. Егер температурасын 3 есе арттырса, онда газ тығыздығы қалай өзгереді?

А) 3 есе артады

В) 3 есе кемиді

С) өзгермейді

D) 9 есе артады

Е) 9 есе кемиді

 

$$$ 544

Изохоралық процесс кезінде газдың температурасын 8 есе арттырғанда, идеал газдың қысымы қалай өзгереді?

А) 64 есе артады

В) 8 есе артады

С) өзгермейді

D) 8 есе кемиді

Е) 64 есе кемиді

 

$$$ 545

Қысымы 500 кПа газ жабық ыдысқа толтырылған. Егер тұрақты температурада газ массасының 4/5 бөлігін шығарсақ, онда бұл ыдыста қандай қысым болады?

А) 100 кПа

В) 200 кПа

С) 300 кПа

D) 400 кПа

Е) 500 кПа

 

$$$ 546

Идеал газ изотермалық ұлғайғанда көлемі 1,5 есе артса, оның қысымы қалай өзгереді?

А) 1,5 есе артады

В) 1,5 есе кемиді

С) өзгермейді

D) 2,25 есе артады

Е) 2,25 есе кемиді

 

$$$ 547

Қандай термодинамикалық процесс үшін өрнегі дұрыс болып саналады?

А) изохоралық процесс үшін

В) адиабаталық процесс үшін

С) изобаралық процесс үшін

D) изотермалық процесс үшін

Е) политроптық процесс үшін

 

$$$ 548

СИ бірліктер жүйесінде бір моль қандай физикалық шаманың өлшем бірлігі болып табылады?

А) зат мөлшері

В) заттың массасы

С) заттың мольдік массасы

D) салыстырмалы мольдік масса

Е) молекула массасы

 

$$$ 549

термодинамикалық диаграммасында бір изохора бойында жататын күйлер үшін қандай термодинамикалық параметрлер тұрақты болып қалады?

А) температура

В) көлем

С) қысым

D) температура мен көлем

Е) температура мен қысым

 

$$$ 550

Қалыпты атмосфералық қысымдағы, температурасы 300 К және көлемі 1 м3 ауаның массасын анықтаңыз.

A) 1г

B) 100г

C) 1кг

D) 10кг

E) 100кг

$$$ 551

Р
 
Т
 
 
 

1-2, 2-3, 3-1 графиктері қандай процестерге сәйкес келеді?

A) изобаралық, изохоралық, изотермдік

B) изохоралық, изобаралық, изотермдік

C) изотермдік, изобаралық, изохоралық

D) изохоралық, изотермдік, изобаралық

E) ешқандай процеске сәйкес келмейді

 

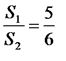
$$$ 552

Қима бетінің ауданы айнымалы құбырдан сұйық ағуда. Оның қайсыбір екі қима бетінің аудандарының қатынасы . Осы қималардағы сұйық жылдамдықтарының қатынасын анықтаңыз.

A)

B)

C)

D)

E)

 

$$$ 553

Көлемі 22,4 л ыдыста қалыпты қысымда газ бар. Ыдыста шамамен газдың қанша молекуласы бар? (Авогадро саны NA=6×1023 моль-1).

A)

B)

C)

D)

E)

 

$$$ 554

Массасы 320 г оттегін температурасы 10 К – ға изобаралық қыздыру кезінде қандай жұмыс атқарылады (р = 105 Па):

A) 0,83 кДж.

B) 830 кДж.

C) 8,3 кДж.

D) 83 кДж.

E) 0,083 кДж.

 

$$$ 555

Көлемі 83 дм3 түтікте температурасы 270С массасы 20 г сутегі бар. Оның қысымын анықта:

A) 5,4×104Па.

B) 3×105Па.

C) 6×105Па.

D) 2,7×104Па.

E) 600 Па.

 

$$$ 556

Жабық ыдыстағы газдың температурасы 270С, ал қысымы 75 кПа. -130С температурада газдың қысымы қандай болады:

A) 45 кПа.

B) 65 кПа.

C) 10 кПа.

D) 35 кПа.

E) 70 кПа.

 

$$$ 557

Қай өрнек бойынша газдың берілген массасындағы моль санын табуға болады?

А)

В)

С)

D)

E)

 

$$$ 558

Идеал газ күйінің (Менделеев-Клапейрон) теңдеуі:

А)

В)

С)
D)
Е)

 

$$$ 559

Газ молекулаларының орташа квадраттық жылдамдығының ең ықтимал жылдамдыққа қатынасы неге тең?

А)

В)

С)
D)
Е)

 

$$$ 560

1 моль оттегінде қанша молекула бар?

А) 12×1023

В) 6×1026

С) 6×1023
D) 1023
Е) 12×1026

 

$$$ 561

Идеал газ үшін изохоралық процесті сипаттайтын өрнекті көрсетіңіз.

А)

В)

С)
D)
Е)

 

$$$ 562

Массасы 14 кг азоттың зат мөлшерін анықтаңыз.

А) 500 моль

В) 150 моль

С) 300 моль
D) 250 моль
Е) 350 моль

 

$$$ 563

10 грамм сутегінде неше молекула бар?

А) 12×1023

В) 6×1026

С) 6×1023
D) 30×1023
Е) 12×1026

 

$$$ 564

Қысымы 200 кПа, көлемі 2,1 л, массасы 8 г оттегінің температурасы

қандай?

A) 710 C

B) 344K

C) 302K

D) -710C

E) 400K

 

$$$ 565

Ыдыста қысымы 10 кПа оттегі мен қысымы 8 кПа азоттың қоспасы бар. Қоспаның қысымы неге тең?

А) 9 кПа

В) 5 кПа

С) 2 Кпа
D) 18 кПа
Е) 80 Кпа

 

$$$ 566

Абсолют температурасын 4 есе арттырған кезде газдың орташа квадраттық жылдамдығы қалай өзгереді?

А) өзгермей қалады

В) 4 есе кемиді

С) 2 есе кемиді

D) 4 есе артады

Е) 2 есе артады

 

$$$ 567

Баллонда қысымы p1=10 Мпа, массасы m1=120 кг газ бар. Баллондағы газдың бір бөлігін шығарғанда, газ қысымы Р2=2,5 МПа болса, баллондағы қалған газдың массасы қандай? Температура мен көлемді тұрақты деп есептеңіз.

А) 5 кг

В) 30 кг

С) 50 кг
D) 75 кг
Е) 40 кг

 

$$$ 568

1 моль сутегі бар ыдыста қанша сутегі молекуласы болады?

А) 6∙1023

В) 6∙1026

С) 2∙1023

D) 1018

Е) 1023

 

$$$ 569

Политроптық көрсеткіші n=1 болғандағы процесті сипаттайтын өрнек:

А) pV=const

В) pV=νRT

С) P/T=const

D) pVγ=const

Е) V/T=const

 

$$$ 570

Қалыпты жағдайдағы көлемі 300 м3 ғимараттағы ауаның массасы:

А) 383 кг

В) 3 кг

С) 0,3 кг

D) 0,03 кг

Е) 38,3 кг

 

$$$ 571

200С температурасы Кельвин шкаласы бойынша қандай температураға сәйкес келеді?

А) -253

B) 293

C) -273

D) 253

E) 273

 

$$$ 572

Газдың температурасы 270С болғанда көлемі 6 л болса, температурасы 770С болғанда көлемі қандай болады? Қысымы тұрақты деп есептеңіз.

А) 2 л

B) 7 л

C) 11 л

D) 9 л

E) 4 л

 

$$$ 573

Изотермдік процесс үшін Бойль-Мариотт заңының теңдеуі:

А)

B)

C)

D)

E)

 

$$$ 574

Идеал газ үшін изобаралық процесті сипаттайтын өрнек:

А)

B)

C)

D)
E)

 

$$$ 575

Көлемі 83 дм3 ыдыста температурасы 27°С, массасы 20 г сутегі бар. Сутегінің ыдыс қабырғасына түсіретін қысымын анықтаңыз.

A) 600 Па

B) 3·105 Па

C) 5,4·104 Па

D) 2,7·104 Па

E) 6·105 Па

 

$$$ 576

Көлемін 2 есе арттырып, ал абсолют температурасын 2 есе кеміткен кезде, идеал газдың қысымы қалай өзгереді?

А) өзгермейді

В) 4 есе кемиді

С) 2 есе кемиді

D) 2 есе артады

Е) 4 есе артады

 

$$$ 577

Изобарлық процесс үшін Гей-Люссак заңының теңдеуі:

А) =const

В) V/T=const

С) P/T=const

D) pV=vRT

Е) pV=const

 

$$$ 578

Газ идеал деп саналады егер:

А) Молекулалардың өлшемдері олардың ара қашықтығымен салыстырғанда ескерілмесе

В) Молекулалардың қозғалысын ескермеуге болса

С) Молекулалар қашықтықта өзара әсерлеспесе

D) Бір мезгілде А және С шарттары орындалса

Е) Молекулалар қашықтықта өзара әсерлессе

 

$$$ 579

9 грамм су буында қанша молекула бар?

А) 6×1023

В) 108×1023

С) 1022

D) 3×1022

Е) 3×1023

 

$$$ 580

Ыдыстағы қоспада оттегінің қысымы 5 кПа, ал азоттың қысымы 4 кПа. Қоспаның қысымы қандай?

А) 2кПа

В) 9кПа

С) 5кПа

D) 80кПа

Е) 18 кПа

 

$$$ 581

Атмосфералық қысымда поршень астындағы газды қыздырғанда оның көлемі ұлғаяды. Бұл қандай процесс:

А) Изохоралық

В) Адиабаттық

С) Изотермиялық

D) Изобаралық

Е) Кез-келген

 

$$$ 582

Ыдыстағы газдың жартысы шығарылып жіберілді. Қалған газдың қысымын бастапқы қысыммен салыстырғанда 3 есе арттыру үшін оның абсолют температурасын қалай өзгерту керек?

А) 1,5 есе арттырады

В) 1,5 есе кемітеді

С) 6 есе арттырады

D) 6 есе кемітеді

Е) 3 есе арттырады

 

$$$ 583

Көлемдері V және 2V болатын екі ыдыс бар. Бірінші ыдыста 1 кмоль, екінші ыдыста 6 кмоль сондай газ орналасқан. Ыдыстардағы қысым бірдей болса, температуралардың қатынасы қандай болады?

А)

B)

C)

D)

Е)

$$$ 584


Сызбадағы жылдамдық бойынша таралу функциясынан газ молекулаларының ең ықтимал жылдамдығын көрсетіңіз.

А) 1

В) 2

С) 3

D) 4

E) 5

 

$$$ 585

Сутегі молекулаларының орташа арифметикалық жылдамдығы 200 м/с. Осы температурадағы оттегі молекулаларының орташа арифиметикалық жылдамдығы неге тең:

А) 100 м/с

В) 400 м/с

С) 200 м/с

D) 50 м/с

Е) 25 м/с

 

$$$ 586

Молекулалардың ең ықтимал жылдамдығы 3 есе артса, газдың температурасы қалай өзгереді?

А) 3 есе артады

В) 9 есе артады

С) есе артады

D) 6 есе артады

Е) 3 есе кемиді

 




Поделиться с друзьями:


Дата добавления: 2014-11-25; Просмотров: 1676; Нарушение авторских прав?; Мы поможем в написании вашей работы!


Нам важно ваше мнение! Был ли полезен опубликованный материал? Да | Нет



studopedia.su - Студопедия (2013 - 2026) год. Все материалы представленные на сайте исключительно с целью ознакомления читателями и не преследуют коммерческих целей или нарушение авторских прав! Последнее добавление




Генерация страницы за: 0.012 сек.