Студопедия

КАТЕГОРИИ:


Архитектура-(3434)Астрономия-(809)Биология-(7483)Биотехнологии-(1457)Военное дело-(14632)Высокие технологии-(1363)География-(913)Геология-(1438)Государство-(451)Демография-(1065)Дом-(47672)Журналистика и СМИ-(912)Изобретательство-(14524)Иностранные языки-(4268)Информатика-(17799)Искусство-(1338)История-(13644)Компьютеры-(11121)Косметика-(55)Кулинария-(373)Культура-(8427)Лингвистика-(374)Литература-(1642)Маркетинг-(23702)Математика-(16968)Машиностроение-(1700)Медицина-(12668)Менеджмент-(24684)Механика-(15423)Науковедение-(506)Образование-(11852)Охрана труда-(3308)Педагогика-(5571)Полиграфия-(1312)Политика-(7869)Право-(5454)Приборостроение-(1369)Программирование-(2801)Производство-(97182)Промышленность-(8706)Психология-(18388)Религия-(3217)Связь-(10668)Сельское хозяйство-(299)Социология-(6455)Спорт-(42831)Строительство-(4793)Торговля-(5050)Транспорт-(2929)Туризм-(1568)Физика-(3942)Философия-(17015)Финансы-(26596)Химия-(22929)Экология-(12095)Экономика-(9961)Электроника-(8441)Электротехника-(4623)Энергетика-(12629)Юриспруденция-(1492)Ядерная техника-(1748)

Ппппппп




ОООООООО

Ортамен жылу алмасу болмайтын процесс:

A) Адиабаталық

B) Изоэнтропиялық

C) Энтропиясы тұрақты болатын процесс

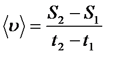
Орташа жылдамдықтың өрнегі:

A)

B)

C)

Оське қатысты күш моментінің теңдеулері:

A)

B)

C)

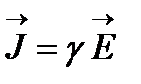
Ом заңы:

C)

D)

E)

Оқшауланған зарядталған өткізгіш энергиясы:

A)

B)

C)

Ортаның диэлектрлік өтімділігі:

A) диэлектрліктің электрлік өрісте поляризациялану қабілеті

B) өлшемсіз шама

C) өріс диэлектрик арқылы неше есе азаятындығын көрсететін шама

 

ӨӨӨӨӨӨӨ

Өткізгіш э.қ.к. 12 В және ішкі кедергісі 1 Ом ток көзіне қосылған. Өткізгіштен күші 3А ток өтеді. Өткізгіштің электр кедергісі:

A) 3 Ом

B) 0,003 кОм

C) 3000 мОм

Өріске перпендикуляр орналасқан ауданы 30 контурдың ішіндегі магнит ағыны 0,6 мВб. Контурдың ішіндегі өріс индукциясы:

A) 0,2 Тл

B) 200 мТл

C) 0,0002 кТл

 

Паули принципі:

А) Бір жүйеге енетін екі электрон (фермион) бірдей күйде бола алмайды.

В) Бір атомда бірдей төрт кванттық сандар n, l, m, ms, жиынығынан тұратын бір ғана электрон болуы мүмкін

С) Табиғатта электрондар жүйесі (фермиондар) тек қана антисиметриялы толқындық функциялармен сипатталатын күйлерде ғана кездеседі

Потенциалдық энергия:

A) Дене координаталарының және уақыттың функциясы

B) Жүйе күйінің функциясы

C) Жүйенің конфигурациясына және сыртқы денелерге салыстырғандағы оның орнына тәуелді

$$$020 Потенциалдық күш:

A) Серпімділік күші

B) Кулон күші

C) Ауырлық күші

$$$028 Потенциалдық энергияның өрнегі:

A)

B)

C)

Пуассон теңдеуі:

A) рV γ= const

B) TV γ-1= const

C) T γ p 1-γ= const

Потенциалдар айырымы:

A)

B)

C)

Потенциалдар айырымы 106 В екі нүктенің арасында, 20 Кл нүктелік электр зарядын орын ауыстырғандағы электр өрісінің жұмысы:

A)

B)

C)

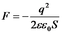
Пондеромоторлық күштер:

A)

B)

C)

 




Поделиться с друзьями:


Дата добавления: 2014-11-09; Просмотров: 1153; Нарушение авторских прав?; Мы поможем в написании вашей работы!


Нам важно ваше мнение! Был ли полезен опубликованный материал? Да | Нет



studopedia.su - Студопедия (2013 - 2026) год. Все материалы представленные на сайте исключительно с целью ознакомления читателями и не преследуют коммерческих целей или нарушение авторских прав! Последнее добавление




Генерация страницы за: 0.009 сек.