Студопедия

КАТЕГОРИИ:


Архитектура-(3434)Астрономия-(809)Биология-(7483)Биотехнологии-(1457)Военное дело-(14632)Высокие технологии-(1363)География-(913)Геология-(1438)Государство-(451)Демография-(1065)Дом-(47672)Журналистика и СМИ-(912)Изобретательство-(14524)Иностранные языки-(4268)Информатика-(17799)Искусство-(1338)История-(13644)Компьютеры-(11121)Косметика-(55)Кулинария-(373)Культура-(8427)Лингвистика-(374)Литература-(1642)Маркетинг-(23702)Математика-(16968)Машиностроение-(1700)Медицина-(12668)Менеджмент-(24684)Механика-(15423)Науковедение-(506)Образование-(11852)Охрана труда-(3308)Педагогика-(5571)Полиграфия-(1312)Политика-(7869)Право-(5454)Приборостроение-(1369)Программирование-(2801)Производство-(97182)Промышленность-(8706)Психология-(18388)Религия-(3217)Связь-(10668)Сельское хозяйство-(299)Социология-(6455)Спорт-(42831)Строительство-(4793)Торговля-(5050)Транспорт-(2929)Туризм-(1568)Физика-(3942)Философия-(17015)Финансы-(26596)Химия-(22929)Экология-(12095)Экономика-(9961)Электроника-(8441)Электротехника-(4623)Энергетика-(12629)Юриспруденция-(1492)Ядерная техника-(1748)

Ммммммммм




ЛЛЛЛЛЛЛЛЛЛЛ

Лазерлер:

А)Белсенді орталарда сәуле шығаруды күшейту эффектісі

В) Оптикалық кванттық генератор

С) Мәжбүр сәуле шығарудың көмегімен жарықты күшейту

Лазерлер мынадай түрлерге бөлінеді:

А) Белсенді орта үлгісі бойынша (қатты денелі, газдық, жартылай өткізгішті және сұйықтық)

В) Толықтыру әдісі бойынша (оптикалық, жылулық, химиялық, электроионизациялық және т.б.)

С) Генерациялау тәртібі бойынша (үзіліссіз немес импульстік әсер ету)

Лазерлік сәуле шығарудың қасиеттері:

А)Уақыттық және кеңсітіктік когеренттілік

В)Қатаң монохроматтылық

С) Энергия ағынының тығыздығы үлкен

Литий үшiн фотоэффектiнiң қызыл шекарасын табу керек. А= 3,84×10-19 Дж. h=6,63×10-34 Дж с, с= 3×108 м/с

A) 518 нм

B) 518×10-9м

C) 0,518×10-6м

Лоренц теңдеулерін көрсетіңіз:

A)

B)

C)

Магнит өрісінің энергиясы:

B)

C)

H)

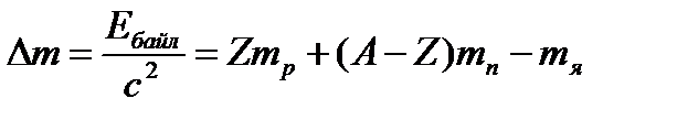
Массалар ақауының өрнегi:

A)

B)

C)

Материалдық нүкте:

A) Басқа денелерге дейінгі қашықтықпен салыстырғанда өлшемі ескерілмейтін дене

B) Физикалық модель

C) Барлық массасы бір нүктеге шоғырланған дене

Масса:

A) Ілгерілемелі қозғалыс кезінде дененің инерттiлiгiнiң өлшемi болып табылады

B) Дененiң гравитациялық қасиеттерiн сипаттайды

C) Скаляр шама

Массасы 1000 кг дене 15 м/с жылдамдықпен радиусы 75 м болатын шеңбер бойымен қозғалыс жасайды. Денеге әсер ететін күш неге тең:

A) 3000 Н

B) 3×103Н

C) 3Кн

Массасы m=0,1г материалдық нүктенің тербелісі х=Acosωt тендеуімен сипатталады, мұндағы А=5см, ω=20с-1. Kepi қайтарушы күштің максимал мәні:

A) 2·10-3Н

B) 0,002Н

C)

Механикалық жұмыс:

A) күш пен осы күш әсерімен жүрілген жолды сипаттайтын физикалық шама

B) Өзара әсерлесетін денелердің арасындағы энергия алмасу процесінің сандық сипаттамасы

C) Күштің және орын ауыстырудың скалярлық көбейтіндісі

Металлға толқын ұзындығы 330 нм жарық түседi. Бұл кезде электрондардың алатын максималь кинетикалық энергиясы 2,8×10-19 Дж. Электрондардың металлдан шығу жұмысын анықтау керек. h=6,63×10-34 Дж с, с= 3×108 м/с.

A) 3,2×10-19 Дж

B) 0,032×10-17 Дж

C) 2эВ

Массасы 2 тонна машина горизонталь жолмен бірқалыпты қозғалады. Егер үйкеліс коэффиценті 0,01 болса, ол 100м жол жүргенде двигателі қанша жұмыс атқарады:

A) 20 кДж

B) 2×104Дж

C) 20000Дж

Массасы m= 0,6 кг дене қозғалысы координатының уақытқа байланысты теңдеуі x= A Sin ,мұндағы А= 5 см, . Денеге t= уақыт мезетінде әсер ететін күшті тап:

A) -0,148 Н

B) -14,8×10-2Н

C) -148Мн

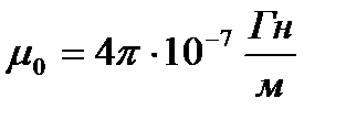
Магниттік тұрақтының өлшем бірлігі:

B)

F)

H)

Магниттік қабылдағыштық:

A) өлшемсіз шама

B) диамагнетиктер үшін теріс

C) парамагнетиктер үшін оң

Магнит өрісіндегі тогы бар рамкаға әсер ететін айналдырушы момент:

A)

B)

C)

Магиттік тұрақты:

A)

B)

C) Өлшем бірлігі

Магнит өрісінде істелетін жұмыс:

A)

B)

C)

Механикалық энергияның сақталу заңы:

A) Материалдық нүктелердің тұйық жүйесінің толық энергиясы олардың кинетикалық және потенциалдық энергияларының қосындысына тең тұрақты шама

B) Тек қана консервативті күштер әсер ететін денелердің тұйық жүйесінің толық энергиясы уақытқа байланысты өзгермейді, сақталады

C) Уақыттың біртектілігінің салдары болып табылады

Материалдық нүктенiң қозғалмайтын нүктеге қатысты импульс моментi:

A) Материялық нүкте радиус-векторының оның импульсының векторына векторлық көбейтiндiсiне тең шама

B) Сол оське қатысты дененің инерция моменті мен бұрыштық жылдамдықтың көбейтіндісіне тең шама

C) Бағыты r векторынан p векторына қарай бұру кезінде бұранданың ілгерілемелі қозғалысымен сәйкес келеді

Массасы 14 кг азоттың зат мөлшері (mазот= 0,028кг/моль):

A) 500 моль

B) 0,5кмоль

C) 5×102моль

Математикалық, физикалық және серіппелі маятниктердің тербеліс периоды:

A)

B)

C)

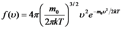
Молекулалардың жылдамдық бойынша таралуының Максвелл заңы:

A)

B)

C)

Молекула кинетикалық теорияның анықтамасы:

A) Кез-келген дене молекула деп аталынатын ерекшеленген майда бөлшектерден тұрады

B) Молекулалар ретсіз, хаосты қозғалыста болады

C) Молекулалар қозғалысының интенсивтілігі дененің температурасына тәуелді.

Молекула-кинетикалық теорияның тәжірибелік негіздері:

A) Броундық қозғалыс

B) Штерн тәжірибесі

C) Ламберт тәжірибесі

Молекуланың орташа арифметикалық жылдамдығы:

A)

B)

C)

Молекулалардың ең ықтимал жылдамдығы мына формуламен анықталады:

A)

B)

C)

Молекуланың массасы:

A)

B)

C)

 




Поделиться с друзьями:


Дата добавления: 2014-11-09; Просмотров: 1899; Нарушение авторских прав?; Мы поможем в написании вашей работы!


Нам важно ваше мнение! Был ли полезен опубликованный материал? Да | Нет



studopedia.su - Студопедия (2013 - 2026) год. Все материалы представленные на сайте исключительно с целью ознакомления читателями и не преследуют коммерческих целей или нарушение авторских прав! Последнее добавление




Генерация страницы за: 0.014 сек.