Студопедия

КАТЕГОРИИ:


Архитектура-(3434)Астрономия-(809)Биология-(7483)Биотехнологии-(1457)Военное дело-(14632)Высокие технологии-(1363)География-(913)Геология-(1438)Государство-(451)Демография-(1065)Дом-(47672)Журналистика и СМИ-(912)Изобретательство-(14524)Иностранные языки-(4268)Информатика-(17799)Искусство-(1338)История-(13644)Компьютеры-(11121)Косметика-(55)Кулинария-(373)Культура-(8427)Лингвистика-(374)Литература-(1642)Маркетинг-(23702)Математика-(16968)Машиностроение-(1700)Медицина-(12668)Менеджмент-(24684)Механика-(15423)Науковедение-(506)Образование-(11852)Охрана труда-(3308)Педагогика-(5571)Полиграфия-(1312)Политика-(7869)Право-(5454)Приборостроение-(1369)Программирование-(2801)Производство-(97182)Промышленность-(8706)Психология-(18388)Религия-(3217)Связь-(10668)Сельское хозяйство-(299)Социология-(6455)Спорт-(42831)Строительство-(4793)Торговля-(5050)Транспорт-(2929)Туризм-(1568)Физика-(3942)Философия-(17015)Финансы-(26596)Химия-(22929)Экология-(12095)Экономика-(9961)Электроника-(8441)Электротехника-(4623)Энергетика-(12629)Юриспруденция-(1492)Ядерная техника-(1748)

Ккккккк




Карно циклінде Тс/ Тж= 2/3. Егер суытқышқа берілген жылу мөлшері Q2= 600 кДж болса, қыздырғыштан алған жылу мөлшері қандай болғаны:

A) 9·105 Дж

B) 900·103 Дж

C) 900 кДж

Кристаллдың жағына толқын ұзындығы 500 пм рентген параллель шоғытүседi. 300 бұрышпен бiрiншi реттiк максимум байқалады. Кристаллдың атомдар жазықтығы арақашықтығын табу керек:

A) 500 пм

B) 500×10-12м

C) 0,5×нм

Калийге толқын ұзындығы 330 нм жарық түседi. Электрондар үшiн тежеушi кернеудi табу керек. А= 3,2×10-19 Дж, h=6,63×10-34 Дж с, с= 3×108 м/с.

A) 1,77 В

B) 1770мВ

C) 0,00177Кв

Комптон эффектiсiн сипаттайтын өрнек:

A)

B)

C)

Консервативтік күштер:

A) Жұмысы жүрген жолға тәуелді емес, тек дененің бастапқы және соңғы орындары арқылы анықталатын күштер

B) Механикалық энергиясы тұрақты болатын жүйеде әсер ететін күштер

C) Дененің тұйықталған траекториясы үшін жұмысы нольге тең күштер

Кез– келген бет бойынша магнит индукциясы векторының ағыны:

A)

B)

C)

Кернеулік пен потенциал арасындағы байланыс:

A)

B)

C)

Кедергісі 120 Ом өткізгіште 15 с уақыт аралығында, ток күші 0-ден 5 А-ге дейін біркелкі артады. Осы уақыт аралығындағы өткізгіште бөлінетін жылу мөлшері:

A) 15 кДж

B) 15000 Дж

C) 0,015 МДж

Конденсаторды тiзбектей жалғағандағы жалпы сыйымдылық:

A)

B)

C)

$$$015 Күш:

A) Денеге басқа денелер немесе өрiстер тарапынан болатын механикалық әсердiң өлшемi болып табылады

B) Күштiң әсерiнен дене үдемелi қозғалысқа енедi немесе өлшемдерi мен пiшiнiн өзгертедi

C) Дененің импульсінің уақыт бойынша өзгерісіне тең шама

$$$017 Кинетикалық энергия:

A) Дене қозғалыс жылдамдығының функциясы

B) Жүйе күйінің функциясы

C) Әртүрлі санақ жүйелер бірдей емес

$$$021 Күш моментінің өлшем бірлігі:

A) Н·м

B)

C) Вт× с

$$$027 Кинетикалық энергияның өрнегі:

A)

B)

C)

Кезкелген ядролық реакцияларда орындалатын сақталу заңдары:

A) Электр зарядының сақталу заңы

B) Массалық санның сақталу заңы

C) Энергияның сақталу заңы

Комптон эффектiсi:

A) Қысқа толқынды электромагниттiк сәулелердің бос электрондардан шашырауы

B) Қысқа толқынды электромагниттік сәуле заттың еркін электрондарында серпімді шашыраған кезде толқын ұзындығының артуы

C) Рентгендік фотондардың заттың еркін электрондарымен серпімді соқтығысуының нәтижесінде, толқын ұзындығының артуы

Консервативті күш дегеніміз:

A) Бөлшек бір нүктеден екінші нүктеге орын ауыстырғанда жолдың пішініне тәуелсіз жұмыс жасайтын күш

B) Бөлшек бір нүктеден екінші нүктеге орын ауыстырғанда жасалынатын жұмысы алғашқы орны мен соңғы орнына тәуелді болатын күш

C) Тұйық контур бойынша тасымалдаған кезде жасалынатын жұмысы нольге тең болатын күш

Кориолис күші:

A) Айналмалы жүйеде қозғалатын денеге әсер ететін күш

B) Қозғалыстың тек бағытын ғана өзгерте алады

C) Дөңгелек орбитада қозғалыс жылдамдығына перпендикуляр әсер етеді

Күш моментi:

A) Күш түсетiн нүкте радиус-векторыныңкүш векторына векторлық көбейтiндiсiне теңшама

B) Күш бағытына перпендикуляр бағытталатын векторлық шама

C) Импульс моментінің уақыт бойынша өзгеру шапшаңдығына тең

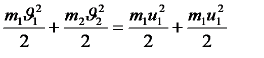
Келтірілген теңдеулердің қайсысы дененің абсолют серпімді соққысы үшін дұрыс:

A)

B)

C)

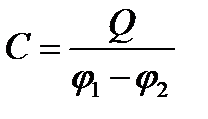
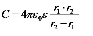
Конденсатордың электр сыйымдылығы:

C)

F)

G)

 

ҚҚҚҚҚҚҚҚ

Қалыпты атмосфералық қысым:

A) p= 1,013×105 Па

B) p= 1 атм

C) p= 760 мм.сын.бағ.

Қалыпты жағдайдағы көлемі 300 м3 ғимараттағы ауаның массасы:

A) 388 кг

B) 3,88×102кг

C) 0,388т

Қандай биіктікте ауа қысымы р =0,6 р0 болады. р0 – теңіз деңгейіндегі қысым, р – биіктіктегі қысым. Ауа температурасы барлық биіктікте бірдей 100С:

A) 4,2 км

B) 4200 м

C) 4,2×103м

Қатты денеге тән қасиеттер:

A) Көпшілігі кристалдық құрылымға ие

B) Пішін мен көлем тұрақтылығы

C) Бөлшектері тепе-теңдік орындауына қатысты хаосты тербеледі

Қабырғалары 5см және 4см, 1000 орамнан тұратын тік бұрышты катушка индукциясы 0,5 Тл біртекті магнит өрісінде орналасқан. Катушкадағы ток күші 2 А. Катушкаға әсер ететін максимал айналдырушы момент:

A)

B)

C)

Қуаттың өрнегі:

A)

B)

C)

Қоздыру тәсілдеріне байланысты люминесценцияның түрлері:

А) Фотолюминесценция, рентгенолюминесценция

В) Катодолюминесенция, радиолюминесценция

С) Хемилюминесценция, триболюминесценция (кейбір кристалдарды жарғанда немесе ұнтақтағанда)

Қысымы Па газы бар ыдысты көлемі 6 литр бос ыдыспен жалғаған. Жалғанған екі ыдыстағы қысым Па болды. Процесті изотермиялық деп есептеп, бірінші ыдыс көлемін анықтау керек:

A) 15л

B) 15дм3

C) 15×10-3м3

Қозғалмайтын электр зарядтары тудыратын өріс:

A) электростатикалық өріс

D) кернеулігімен сипатталады

H) суперпозиция принципіне бағынады

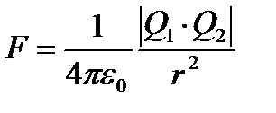
Қозғалмайтын нүктелік электр зарядтарының әсерлесуін сипаттайтын заң:

B) Кулон заңы

E)

H)

Қозғалыстағы зарядталған бөлшектерге магнит өрісі тарапынан әсер ететін Лоренц күші:

A) жұмыс жасамайды

C) және векторларына перпендикуляр

G) бөлшектің жылдамдығы мен зарядына тәуелді

 




Поделиться с друзьями:


Дата добавления: 2014-11-09; Просмотров: 1748; Нарушение авторских прав?; Мы поможем в написании вашей работы!


Нам важно ваше мнение! Был ли полезен опубликованный материал? Да | Нет



studopedia.su - Студопедия (2013 - 2026) год. Все материалы представленные на сайте исключительно с целью ознакомления читателями и не преследуют коммерческих целей или нарушение авторских прав! Последнее добавление




Генерация страницы за: 0.064 сек.