Студопедия

КАТЕГОРИИ:


Архитектура-(3434)Астрономия-(809)Биология-(7483)Биотехнологии-(1457)Военное дело-(14632)Высокие технологии-(1363)География-(913)Геология-(1438)Государство-(451)Демография-(1065)Дом-(47672)Журналистика и СМИ-(912)Изобретательство-(14524)Иностранные языки-(4268)Информатика-(17799)Искусство-(1338)История-(13644)Компьютеры-(11121)Косметика-(55)Кулинария-(373)Культура-(8427)Лингвистика-(374)Литература-(1642)Маркетинг-(23702)Математика-(16968)Машиностроение-(1700)Медицина-(12668)Менеджмент-(24684)Механика-(15423)Науковедение-(506)Образование-(11852)Охрана труда-(3308)Педагогика-(5571)Полиграфия-(1312)Политика-(7869)Право-(5454)Приборостроение-(1369)Программирование-(2801)Производство-(97182)Промышленность-(8706)Психология-(18388)Религия-(3217)Связь-(10668)Сельское хозяйство-(299)Социология-(6455)Спорт-(42831)Строительство-(4793)Торговля-(5050)Транспорт-(2929)Туризм-(1568)Физика-(3942)Философия-(17015)Финансы-(26596)Химия-(22929)Экология-(12095)Экономика-(9961)Электроника-(8441)Электротехника-(4623)Энергетика-(12629)Юриспруденция-(1492)Ядерная техника-(1748)

Основы метопики COCOMO II




Методика COCOMO позволяет оценить трудоемкость и время разработки программного продукта. Впервые была опубликована Бари Боэмом [3] в 1981 году в виде результат анализа 63 проектов компании «TRW Aerospace». В 1997 методика была усовершенствована и получила название COCOMO II. Калибровка параметров производилась по 161 проекту разработки. В модели используется формула регрессии с параметрами, определяемыми на основе отраслевых данных и характеристик конкретного проекта.

Различаются две стадии оценки проекта: предварительная оценка на начальной фазе и детальная оценка после проработки архитектуры.

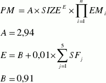
Формула оценки трудоемкости проекта в чел.*мес. имеет вид:

где

· SIZE — размер продукта в KSLOC

· EMi — множители трудоемкости

· SFj — факторы масштаба

· n=7 — для предварительной оценки

· n=17 — для детальной оценки

Главной особенностью методики является то, что для того, чтобы оценить трудоемкость, необходимо знать размер программного продукта в тысячах строках исходного кода (KSLOC, Kilo Source Lines Of Code). Размер программного продукта может быть, например, оценен экспертами с применением метода PERT.

Если мы провели анализ продукта методом функциональных точек, то его размер может быть рассчитан с использованием собственных статистических данных или с использованием статистики по отрасли [5](Таблица 13).


 

Таблица 13. Оценка количества строк, необходимых на реализацию одной не выровненной функциональной точки для некоторых распространенных языков программирования.

Язык программирования Оценка количества строк
Наиболее вероятная Оптимистичная Пессимистичная
Assembler      
C      
C++      
C#      
J2EE      
JavaScript      
PL/SQL      
Visual Basic      



Поделиться с друзьями:


Дата добавления: 2014-11-16; Просмотров: 577; Нарушение авторских прав?; Мы поможем в написании вашей работы!


Нам важно ваше мнение! Был ли полезен опубликованный материал? Да | Нет



studopedia.su - Студопедия (2013 - 2025) год. Все материалы представленные на сайте исключительно с целью ознакомления читателями и не преследуют коммерческих целей или нарушение авторских прав! Последнее добавление




Генерация страницы за: 0.008 сек.