Студопедия

КАТЕГОРИИ:


Архитектура-(3434)Астрономия-(809)Биология-(7483)Биотехнологии-(1457)Военное дело-(14632)Высокие технологии-(1363)География-(913)Геология-(1438)Государство-(451)Демография-(1065)Дом-(47672)Журналистика и СМИ-(912)Изобретательство-(14524)Иностранные языки-(4268)Информатика-(17799)Искусство-(1338)История-(13644)Компьютеры-(11121)Косметика-(55)Кулинария-(373)Культура-(8427)Лингвистика-(374)Литература-(1642)Маркетинг-(23702)Математика-(16968)Машиностроение-(1700)Медицина-(12668)Менеджмент-(24684)Механика-(15423)Науковедение-(506)Образование-(11852)Охрана труда-(3308)Педагогика-(5571)Полиграфия-(1312)Политика-(7869)Право-(5454)Приборостроение-(1369)Программирование-(2801)Производство-(97182)Промышленность-(8706)Психология-(18388)Религия-(3217)Связь-(10668)Сельское хозяйство-(299)Социология-(6455)Спорт-(42831)Строительство-(4793)Торговля-(5050)Транспорт-(2929)Туризм-(1568)Физика-(3942)Философия-(17015)Финансы-(26596)Химия-(22929)Экология-(12095)Экономика-(9961)Электроника-(8441)Электротехника-(4623)Энергетика-(12629)Юриспруденция-(1492)Ядерная техника-(1748)

Повреждение и отказ




Свойства надежности

Лекция№4 Надежность, ее свойства и методы расчета

Надёжностью называется свойство прибора выполнять заданные функции, сохраняя во времени значения установленных эксплуатационных показателей в заданных пределах, соответствующих заданным режимам и условиям использования, технического обслуживания, хранения и транспортирования.

Безотказность -свойство прибора сохранять работоспособность в течение некоторого времени или некоторой наработки.

Долговечность – свойство прибора сохранять работоспособность до наступления предельного состояния при установленной системе ремонта. Под предельным состоянии понимают такое состояние прибора, при котором его дальнейшая эксплуатация не целесообразна или не допустима.

Ресурс – наработка прибора от начальной эксплуатации до перехода в предельное состояние. Представляет собой запас возможной работы прибора. Выражают в физических единицах, характеризующих работу прибора.

Срок службы – календарная продолжительность от начала эксплуатации до предельного состояния прибора.

Сохраняемость – свойство прибора сохранять исправное и работоспособное состояние в течении и после хранения и транспортирования.

Ремонтопригодность – свойство прибора, заключающиеся в приспособленности к предупреждению и обнаружению причин возникновения отказов и повреждений и устранение их последствий путём ремонта.

Техническое состояние характеризуется:

Исправное состояние–состояние, которое соответствует всем требованиям установленными нормативно технической документацией(НТД). Если прибор не соответствует хотя бы одному из этих требований он считается неисправным.

Работоспособным – называется состояние прибора, при которых он выполняет заданные функции, сохраняя значение параметров в пределах, установленных в нормативных актах.

Неработоспособным называется такое состояние, при котором значение хотя бы одного параметра, характеризующего способность выполнять заданные функции, не соответствует требования НТД.

Повреждением называются событие, заключающиеся в нарушении исправности прибора и его составных частей из-за влияния внешних условий, превышающих уровни, установленные нормативно-технической документацией на прибор.

Отказ – событие, заключающееся в нарушении работоспособности прибора.

Критерием отказа являются признаки выходы хотя бы одного заданного параметра за установленные границы допуска.

 

Таблица №4 Свойства отказов

Признаки классификации Виды отказов
1) По связи с другими отказами 2) По характеру процесса появления 3) По причине возникновения Независимые; зависимые Внезапный; Постепенный Конструкционный производственный Эксплуатационный

 

Независимый – это отказ элемента, несвязанного с отказом другого элемента.

Зависимый – обусловленный отказом другого элемента.

Внезапный отказ характеризуется тем, что параметры выходят из поля допуска внезапно. При постепенном отказе параметры плавно выходят из поля допуска.

Частота отказов зависит от периода работы. В период приработки и эксплуатации преобладают внезапные отказы, а на этапе старения - постепенные отказы.

Конструкционный отказ возникает в результате невыполнения установленных правил и норм при конструировании приборов, что приводит к недостаточной прочности прибора, перегреву блоков, поломкам механических частей прибора, усложнению технологии изготовления.

Производственный отказ обусловлен некачественным изготовлением прибора и сборкой.

Эксплуатационный отказ связан с воздействием недопустимо больших нагрузок, высоких или низких температур, динамических воздействий.

 

Количественные характеристики надёжности

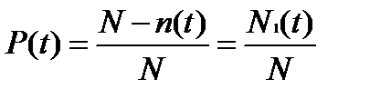
Вероятность безотказной работы P(t). Это вероятность того, что при заданных режимах и условиях работы в заданном интервале времени отказ не возникнет.

 

(45)

 

где-t1- время появления отказа.

Свойства функции P(t)-монотонно не возрастающая функция

t2>t1, то

Вероятность безотказной работы может меняться в пределах

t=0 P(0)=1, t=¥ P(¥)=0

3) Вероятность появления отказа

 

(46)

 

Cтатистически вероятность безотказной работы определяется:

, где N – число элементов приборов.

n(t) – число элементов, отказавших ко времени t.

N1(t)=N-n(t) – число элементов, безотказно проработавших до момента t

3)Функция плотности распределения

 

(47)

 

4) Интенсивность или частота отказов l(t)-условная плотность вероятности возникновения отказа элемента, определяемая для рассматриваемого промежутка времени при условии, что для этого момента отказ не возникнет.

 

(48)

 

Основной закон надёжности при t=0 P(o)=1 1=1+c c=0

(49)

 

Статистическим путём l(t) определяется как отношение разности чисел работоспособных элементов к моменту времени t и t+Dt к произведению числа работоспособных элементов в момент времени t на длительности интервала времени Dt

5) Средняя наработка до отказа – это математическое ожидание наработки до отказа.

 

(50)

 

6) Гамма процентный ресурс tg - это наработка, в течение которой элемент не достигает предельного состояния с заданной вероятностью

 

(51)

 

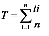
6) Наработка на отказ- среднее время между соседними отказами.

 

(52)

 

где-ti-время исправной работы работы между i=1 и i отказами;

n-число отказов за некоторое время t.

7) Коэффициент готовности

 

(53)

 

где-tр-время исправной работы, tп- время вынужденных простоев.

 




Поделиться с друзьями:


Дата добавления: 2014-11-16; Просмотров: 638; Нарушение авторских прав?; Мы поможем в написании вашей работы!


Нам важно ваше мнение! Был ли полезен опубликованный материал? Да | Нет



studopedia.su - Студопедия (2013 - 2026) год. Все материалы представленные на сайте исключительно с целью ознакомления читателями и не преследуют коммерческих целей или нарушение авторских прав! Последнее добавление




Генерация страницы за: 0.008 сек.