Студопедия

КАТЕГОРИИ:


Архитектура-(3434)Астрономия-(809)Биология-(7483)Биотехнологии-(1457)Военное дело-(14632)Высокие технологии-(1363)География-(913)Геология-(1438)Государство-(451)Демография-(1065)Дом-(47672)Журналистика и СМИ-(912)Изобретательство-(14524)Иностранные языки-(4268)Информатика-(17799)Искусство-(1338)История-(13644)Компьютеры-(11121)Косметика-(55)Кулинария-(373)Культура-(8427)Лингвистика-(374)Литература-(1642)Маркетинг-(23702)Математика-(16968)Машиностроение-(1700)Медицина-(12668)Менеджмент-(24684)Механика-(15423)Науковедение-(506)Образование-(11852)Охрана труда-(3308)Педагогика-(5571)Полиграфия-(1312)Политика-(7869)Право-(5454)Приборостроение-(1369)Программирование-(2801)Производство-(97182)Промышленность-(8706)Психология-(18388)Религия-(3217)Связь-(10668)Сельское хозяйство-(299)Социология-(6455)Спорт-(42831)Строительство-(4793)Торговля-(5050)Транспорт-(2929)Туризм-(1568)Физика-(3942)Философия-(17015)Финансы-(26596)Химия-(22929)Экология-(12095)Экономика-(9961)Электроника-(8441)Электротехника-(4623)Энергетика-(12629)Юриспруденция-(1492)Ядерная техника-(1748)

Резервирование аппаратуры




Законы распределения отказов

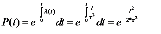
1.Экспоненциальный закон используется при расчете надежности нестареющей аппаратуры, когда частота отказов не меняется.

,

(54)

 

2.Равномерный закон

, то

 

(55)

 

.Применяют при расчёте ремонтируемой аппаратуры.

3.Закон Релея используется при расчете надежности стареющей аппаратуры, когда частота отказов увеличивается со временем.

(56)

 

 

Резервированием называется способ повышения надёжности аппаратуры путём включения резерва, предусмотренного в процессе эксплуатации или при разработке конструкции.

В зависимости от кратности методы резервирования делят на две группы:

1.С целой кратностью.

2.С дробной кратностью.

 

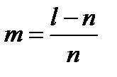
Кратность , (57)

 

где-n-число элементов, необходимых для нормального функционирования прибора;

l – общее количество элементов резервируемой системы;

l – n=крез – количество резервных элементов.

Резервирование может быть:

– постоянным, когда основной элемент и резервный элементы находятся одинаковом режиме,

-резервирование замещением, когда резервный элемент подключается переключателем после отказа основного элемента.

 

 

Рисунок 63 - Виды резервирования

 




Поделиться с друзьями:


Дата добавления: 2014-11-16; Просмотров: 733; Нарушение авторских прав?; Мы поможем в написании вашей работы!


Нам важно ваше мнение! Был ли полезен опубликованный материал? Да | Нет



studopedia.su - Студопедия (2013 - 2026) год. Все материалы представленные на сайте исключительно с целью ознакомления читателями и не преследуют коммерческих целей или нарушение авторских прав! Последнее добавление




Генерация страницы за: 0.012 сек.