Студопедия

КАТЕГОРИИ:


Архитектура-(3434)Астрономия-(809)Биология-(7483)Биотехнологии-(1457)Военное дело-(14632)Высокие технологии-(1363)География-(913)Геология-(1438)Государство-(451)Демография-(1065)Дом-(47672)Журналистика и СМИ-(912)Изобретательство-(14524)Иностранные языки-(4268)Информатика-(17799)Искусство-(1338)История-(13644)Компьютеры-(11121)Косметика-(55)Кулинария-(373)Культура-(8427)Лингвистика-(374)Литература-(1642)Маркетинг-(23702)Математика-(16968)Машиностроение-(1700)Медицина-(12668)Менеджмент-(24684)Механика-(15423)Науковедение-(506)Образование-(11852)Охрана труда-(3308)Педагогика-(5571)Полиграфия-(1312)Политика-(7869)Право-(5454)Приборостроение-(1369)Программирование-(2801)Производство-(97182)Промышленность-(8706)Психология-(18388)Религия-(3217)Связь-(10668)Сельское хозяйство-(299)Социология-(6455)Спорт-(42831)Строительство-(4793)Торговля-(5050)Транспорт-(2929)Туризм-(1568)Физика-(3942)Философия-(17015)Финансы-(26596)Химия-(22929)Экология-(12095)Экономика-(9961)Электроника-(8441)Электротехника-(4623)Энергетика-(12629)Юриспруденция-(1492)Ядерная техника-(1748)

Количественный анализ опасностей




Форма для планирования предупредительных мероприятий

 

Первая стадия: регистрация  
Рассматриваемые предупредительные мероприятия   Стадия внедрения мероприятий (что внедряется)   Объекты внедрения   Срок внедрения   Ответственный   Ожидаемая стоимость  
                       
Вторая стадия: проверка  
Дата.............................   Стадия внедрения мероприятий (что внедрено)   Результаты внедрения или причины, помешавшие внедрению  
           

 

 

 

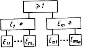
Функция опасности для системы ЧМС. При анализе опасностей сложные системы разбивают на множество подсистем. Подсистемой взывают часть системы, которую выделяют по определенному признаку, отвечающему конкретным целям и задача системы (например» подсистема управления безопасностью труда). В рамках этих задач подсистема может рассматриваться как самостоятельная система. Таким образом, иерархическая структура сложной системы такая, что позволяет разбивать на подсистемы различных уровней, причем подсистемы низших уровней вкодят составными частями в подсистемы высших уровней. Подсистемы» в свою очередь, состоят из компонентов —частей системы, которые рассматриваютсябез дальнейшего членения, как единое целое,

Рис. 4.18. Система событий в системе ЧМС

 

Систему ЧМС, состоящую из компонентов Q1, Q2,…,Qn (рис. 4-18). будем обозначать в виде вектора системы Q = (Q1, Q2,…,Qn). Отклонение компонента Qi от нормального функционирования (отказ, авария) ecть чепе Ei. Чепе Ei(i=1̅,̅n̅) ведут к ненормальному функционировании системы Q, составляющей суть чепе Е. Логический анализ внутренней структуры системы ЧМС и определение вероятности чепе Е как функции отдельных чепе Ei являются одной из задач анализа опасностей. Чтобы определить эту функцию, введем индикаторы чепе x и xi, i=1̅,̅n, которые могут принимать только два значения 1 и 0. Будем полагать, что если чепе Ei, относящееся к компоненту Qi произошло то xi = 1, а если не произошло, то xi = 0, т.е. произошло чепе Ei. Тогда для системы Q наступление чепе Е соотвстстаует x = 1, а настуллени чепе Е означает x = 0. Иначе говоря, имеем вектор индикаторов чепе:

 

(4.20)

 

и следующие соотношения:

 

Ei® xi = 1

i® xi = 0

E® x = 1 (4.21)

E̅® x = 0

 

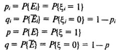
Если чепе К наступает с вероятностью рi, то, rак следует cоотношений (4.21), с этой же вероятностью индикатор чепе принимает значение 1. Поэтому справедливы следующие зависимости:

 

(4.22)

 

Логический анализ (§4.1) функционирования системы ЧМС позволяет записать логическую и индикаторную функции системы:

(4.23)

(4.24)

 

 

Применяя правила теории вероятностей, находят вероятность чепе в виде так называемой функции опасности

(4.25)

 

Таким образом, состояние системы ЧМС описывается: вектором системы Q = (Q1, Q2,…,Qn), вектором индикаторов чепе , логической функцией системы Е= F(E1, E2,..., En ), индикаторной функцией системы , функцией опасности

На практике часто индикатор и событие обозначают одной и той же буквой, так как это делалось в предыдущих параграфах.

Предположим, что анализ опасностей проводится для таких пространственно крупных систем, как цех или завод. Тогда в большинстве случаев выявленные источники опасностей могут рассматриваться как точечные. Их местоположение можно задать с помощью системы координат. Кроме того, можно допустить, что опасность достаточно полно характеризуется значениями вероятностей чепе. Эти вероятности можно условно называть «зарядами» опасностей. Заряды опасностей можно связать с системой координат, как например, показано на рис. 4.19, и считать, что они создают вокруг себя поле опасности, напряженность которого характеризуется вероятностью наступления н-чепе. Это позволит не только установить границы опасной зоны, но. и произвести ее разметку в зависимости от степени опасности.

 

Рис 4.19. Описание опасности с помощью «зарядов»:

Е1 – взрыв ресивера; Е2 – обрыв троса; Е3 –замыкание на корпус.

Подсистемы и чепе ИЛИ, И. Подсистемой ИЛИ называют часть системы ЧМС, компоненты которой соединены последовательно (рис. 4.20). Отказ подсистемы есть чепе ИЛИ. К чепе ИЛИ приводит отказ любого компонента подсистемы.

Будем обозначать отказы теми же буквами, что и компоненты. Если Ej отказ j-го компонента (компонента Еj), то чепе ИЛИ есть событие:

 

(4.26)

где т — числокомпонентов.

 

Рис. 4.20. Символическое изображение подсистемы ИЛИ:

а—графический символ; б— развернутая схема

 

В силу логических законов двойственности отсутствие чепе ИЛИ есть событие

 

Если отказы компонентов можно рассматривать как взаимно независимые, то соотношения (4.7) и (4.18) позволяют найти вероятность чепе ИЛИ:

 

(4.30)

 

Последнее выражение свидетельствует о высокой вероятности чепе в случае сложных систем. Например, при вероятности отказа компонента р= 0,1 подсистема ИЛИ, состоящая из десяти компонентов (т = 10), имеет вероятность того, что чепе ИЛИ не произойдет, равную (1—0 1)10» 0 35

Используя разложения в ряд, можно получить полезные выражения, котооые упоошают вычисления:

 

 

Рис. 4.22. Символическое представление подсистемы И — ИЛИ

 

Подсистемой И называют ту часть системы ЧМС, компоненты которой соединены параллельно (рис. 4.21). Отказ этой подсистемы есть чепе И. К чепе И приводит отказ всех компонентов подсистемы:

 

(4.31)

Если отказы компонентов можно считать взаимно независимыми, то вероятность чепе И

(4.32)

 

 

а) б)

Рис. 4.21. Символическое изображение подсистемы И:

a — графический символ; б— развернутая схема

 

К понятию подсистемы И в машиностроении приводит операция резервирования, которую применяют, когда необходимо достичь высокой надежности системы (например, если имеется опасность аварии). С точки зрения анализа опасностей можно сделать следующие обобщения.

1. Любые действия персонала, операции, устройства, которые с точки зрения безопасности выполняют одни и те же функции в системе ЧМС, могут считаться соединенными параллельно.

2. Любые действия персонала, операции, устройства, каждое из которых необходимо для предотвращения чепе (например, аварии или несчастного случая), должны рассматриваться как соединенные последовательно.

3. Для уменьшения опасности системы ЧМС обычно добавляют резервирование, учитывая при этом затраты.

 

Приведем примеры. Пусть защитное устройство пилы устраняет 95%, а инструкция по технике безопасности 98 % несчастных случаев. В определенном смысле это параллельные мероприятия (компоненты) по решению одной и той же проблемы. Следовательно, если они независимы, результирующая вероятность несчастного случая находится как для подсистемы И и будет равна 0,001.

Аналогично, если возгорание может произойти как от неосмотрительного курения, так и вследствие электростатического разряда, то предотвращение этих двух причин надо рассматривать как последовательные компоненты.

 

Подсистемой И—ИЛИ называют ту часть системы ЧМС, которая соединяет подсистемы ИЛИ в подсистему И. Отказ подсистемы И – ИЛИ есть чепе И—ИЛИ. На рис. 4.22 параллельно соединенные омпоненты Ei(i= 1, 2,..., m), образующие подсистему И, представляют собой подсистемы ИЛИ, состоящие из последовательно соединенных компонентов Eij(j= 1, 2,..., ni)

По формуле (4.28) вероятность отказа i-й подсистемы ИЛИ

Подсистемой ИЛИ — И системе ЧМС называют подсистемы И, соединенные в подсистему ИЛИ. На рис. 4.23 последовательно соединенные компоненты Еi(i = 1, 2,..., т), образующие подсистему ИЛИ, представляют собой подсистемы И из параллельно соединенных компонентов Еij (j = 1, 2,..., ni).

 

 

Рис. 4.23. Символическое представление подсистемы ИЛИ-И

 

С учетом формулы (4.32) вероятность отказа i-й подсистемы И

(4.35)

 

Используя соотношение (4.28), находим вероятность чепе ИЛИ—И

(4.36)

 

В более сложных случаях, чтобы воспользоваться формулами (4.3) и (4.18) теории вероятностей, логическую функцию (4.23) необходимо определенным образом преобразовать — привести ее к нормальной, а затем к совершенной нормальной форме. Тогда она будет включать несовместимые события.

Численный анализ риска Риск в широком смысле слова — это Подвергание воздействию вероятности экономического или финансового проигрыша, физического повреждения или причинения вреда в какой-либо форме из-за наличия неопределенности, связанной с желанием осуществить определенный вид действий.

Ниже рассмотрен анализ риска при техногенном воздействии. Следует различать риск при наличии источника опасности и риск при наличии источника, оказывающего вредное воздействие на здоровье. Как определено выше, источник опасности потенциально обладает повреждающими факторами, которые воздействуют на организм, собственность или окружающую среду в течение относительно короткое отрезка времени. Что касается источника, характеризующегося вредными факторами, то принято считать, что он воздействует на объект в течение достаточно длительного времени.

Для оценки риска используют различные математические формулировки, выбор которых зависит от имеющейся информации.

Когда последствия неизвестны, то под риском обычно понимают просто вероятность наступления определенного сочетания нежелательных событий:

(4.37)

 

При необходимости можно использовать определение риска как вероятности превышения предела:

 

(4.38)

 

где x случайная величина; х — некоторое значение.

Риск, связанный с техникой, обычно оценивают по формуле, включающей как вероятность чепе, так и величину последствий U(обычно ущерб):

 

R = PU. (4.39)

 

Если каждому i-му чепе, происходящему с вероятностью Рi может быть поставлен в соответствие ущерб Ui, то величина риска будет представлять собой ожидаемую величину ущерба U*:

 

(4.40)

Если все вероятности наступления чепе одинаковы (Pi = р, i = 1̅, n ̅) то из формулы (4.40) следует

(4.41)

Если последствия измерять числом летальных исходов (или) и известна вероятность РN N летальных исходов, то риск

 

(4.42)

 

где q — положительное число. Если предположить, что одно чепе с большим числом летальных исходов более нежелательно, чем такое же число отдельных летальных исходов, в выражении (4.42) число одолжно быть больше единицы.

При угрозе собственности ущерб и риск чаще всего измеряют денежном выражении. Однако если можно принять, что ущерб при авариях будет одним и тем же, то определение рисков и дальнейшее их сравнение можно проводить, пользуясь вероятностями. В частности, если ущерб трудно рассчитать, то за величину риска принимают вероятность превышения предела [формула (4.38)].

 

 

Рис. 4.24. Риск и его оценка

 

При угрозе здоровью ущерб в денежном выражении можно оценить только частично в виде расходов на оплату листков нетрудоспособности и подмену персонала. Еще труднее в денежном виде оценить ущерб от летальных исходов. Поэтому риск, связанный с несчастными случаями, оценивают вероятностями. Таким образом, единицы измерения риска могут быть различными в том случае, когда существует угроза здоровью, и тогда, когда существует угроза собственности. Поэтому, когда одновременно существует угроза здоровью и собственности, риск Целесообразно записывать в векторном виде с различными единицами измерения по координатным осям:

 

R = U×P. (4.43)

 

Здесь перемножение в правой части уравнения производится покомпонентно (рис. 4.24), что позволяет сравнивать риски.

Принято различать риск индивидуальный и общий. Индивидуальный риск можно определить как ожидаемое значение ущерба U* причиненного чепе за интервал времени Т и отнесенное к группе людей исленностью М человек. (Численность людей должна быть указана, если делается ссылка на индивидуальный риск.)

 

(4.44)

 

Общий риск для группы людей (коллективный риск)

(4.45)

 

Каждый человек почти всегда подвергается в различных ситуациях определенному риску. Ниже приведены некоторые значения риска смертности:

 

    Курение (пачка в день)................. Рак (все виды)..................... Загрязнение атмосферы................ Алкоголь (малые дозы)................ Фоновая радиация (на уровне моря, без учета радона).   Риск, ли (чел×год)   3,6×10-3 2,8×10-3 1,1×10 -4 2,0×10-5 2,0×10-5  

 

Рис. 4.25. Частота и число связанных с техникой несчастных случаев:

1 — суммарная кривая; 2 — общее число аварий самолетов; 3— пожары; 4— взрывы; 5— прорывы плотин; 6—выбросы вредных химических веществ; 7— аварии самолетов (без пассажиров); 8 100 атомных реакторов

 

 

Рис. 4.26. Частота и число природных катастрофических событий:

1—суммарная кривая; 2— смерчи; 3— ураганы; 4— землетрясения; 5—падение метеоритов

 

На рис. 4.25 и 4.26 показана связь между частотой и числом несчастных случаев с летальным исходом. Видно, что частота и величина риска, обусловленного природными катаклизмами, обычно существенно превосходят угрозы, сопутствующие эксплуатации техники. На рис. 4.27 сопоставлены экономические последствия (ущерб), наносимые природными катаклизмами и техническими катастрофами.

Рис. 4.27. Ущерб, наносимый источниками техногенного (1)

и природного (2) происхождения

 

При определении социально приемлемого риска обычно используют данные о естественной смертности людей, которая в индустриально развитых странах практически одинакова и изменяется с течением времени, отражая научно-технический прогресс. Однако риск естественной смерти зависит от возрастной группы людей: в возрасте 5...15 лет он имеет минимум и равен 2×10-4 случаев/(чел.×год), при этом на каждый такой случай приходится 20 несчастных случаев постоянной нетрудоспособности (нс пн) и 200 несчастных случаев временной нетрудоспособности (нс вн). Поэтому имеет смысл ввести реперное значение абсолютного риска

 

RA =10-4 ли/(чел.год). (4.46)

 

При определении реперного значения допустимого риска Rдпри наличии отдельного источника опасности (технической установки) следует иметь в виду, что человеку обычно угрожает несколько источников опасности и, следовательно, должно выполняться неравенство: Rд < RA. Обычно в качестве реперного значения допустимого риска при наличии отдельно взятого источника опасности берут

 
 


10-5 ли/(чел.год) (4.47)

Rд = 10-4 нс пн/(чел.-год)

10-3 нс вн/(чел.'год).

 

Условие безопасности для населения можно сформулировать следующим образом: величина дополнительного риска, вызванного техническими причинами, для подавляющего большинства людей не Должна превосходить реперное значение абсолютного риска на (рис. 4.28):

 

R £ Rд (4.48)

 

Рис. 4.28. Обычный характер функции распределения

среднегодового риска:

b - доля людей с индивидуальным риском, меньшим R; m –доля людей с чрезмерно высоким риском; n – доля людей с приемлемым риском.

Рис. 4.28 показывает, как велика доля тех людей, для которых среднегодовые значения риска вследствие присутствия технического фактора выше значения RA. Среднегодовое значение риска для конкретного человека зависит от источников опасностей и времени их воздействия.

Рассматривая отдельно взятый источник опасности и учитывая, что Индивидуальный риск обычно зависит от расстояния R = R(r), условие безопасности для всех r можно записать в виде

 

R(r) £ R д (4.49)

 

Однако это неравенство нуждается в корректировке, когда последствия чепе могут быть весьма значительными. Как следует из рис. 4.25 (кривая 1), имеет смысл считать приемлемым критерием максимального числа летальных исходов в год значение N0 = 100. Если при определенных условиях можно ожидать число летальных исходов N > N0, то значение допустимого риска следует уменьшить пропорционально отношению N0/N (рис. 4.29), так, что условие безопасности будет иметь вид

 
 


Rд N0/N при N ³ N0

R(r) £ (4.50)

Rд при N £ N0

 

 

Рис. 4.29. Зависимость допустимого риска от ожидаемого

числа летальных исходов:

1—наинизшее значение естественной смертности

 

При заданном источнике анализ опасностей будет включать идентификацию потенциальных чепе, численную оценку риска и этап управления риском. Оценку и управление риском можно проводить в следующем порядке.

Пусть плотность людей на единицу площади рабочей зоны определена как функция r(r). Тогда общий риск применительно к отдельному источнику

(4.51)

 

При наличии л источников опасности для нахождения индивидуального риска можно использовать принцип суперпозиции

 

(4.52)

где Ri(r) — индивидуальный риск при i-м источнике опасности.

Один и тот же объект может быть источником разных опасностей. Например, при транспортировании топлива между пунктами А и В можно выделить поле опасности, связанное с токсичностью топлива, и поле опасности, связанное с горючестью топлива, которые в общем случае различны.

Далее проверяют выполнение неравенства (4.50). В дополнение к этому неравенству которое ограничивает индивидуальный риск, следует удовлетворить также условию, вовлекающему в рассмотрение коллективный риск:

 

(4.53)

 

 

Рис. 4.30. Зависимость риска от расходов на защиту

 

При принятии решений следует иметь в виду, что для ряда источников невозможно достичь уровня «нулевой» опасности. На рис. 4.30 кривая 7 соответствует случаю, когда можно достичь абсолютной безопасности, или нулевой опасности. В этом случае при расходах на защиту при необходимом конечном значении Х= Ло риск R становится равным нулю. Кривая 2 соответствует случаю, когда достичь абсолютной безопасности принципиально невозможно. Такое поведение эффективности затрат на защиту характерно, например для радиационно опасных производств, транспорта, промышленных предприятий. Если придерживаться принципа абсолютной безопасности, то необходимо применить все меры защиты, которые практически можно осуществить. Однако при этом помимо прямого риска Rnp, создаваемого данной технологией, и на уменьшение которого направлены усилия (меры безопасности), существует еще и косвенный риск Rкс. Он обусловлен, например строительными работами, изготовлением оборудования и материалов для защитных сооружений, их эксплуатацией и т. д. С ростом расходов Х на безопасность риск Rпр, уменьшается, а риск Rкс растет. Уменьшается также эффективность затрат на защиту. Начиная с некоторого уровня этих расходов, при дальнейшем росте Х будет происходить возрастание полного риска Rn = Rnp + Rкс. Поэтому при наличии источников, которые не позволяют достичь уровня нулевой опасности, следует принимать вариант решения с оптимизацией риска.

Для выполнения условий безопасности может потребоваться внесение изменений в следующие компоненты, управляющие риском: конструкторские решения; аварийные методики; учебные, тренировочные программы, программы по переподготовке; руководство по эксплуатации; нормативные документы; программы по безопасности.

Анализ риска, обусловленного наличием источника вредного действия, состоит из этапа оценки риска, сопровождаемого исследованиями, и этапа управления риском (рис. 4.31). На этапе оценки устанавливают, какие последствия вызывают разные дозы и в разных условиях в данном коллективе. На этапе управления риском анализируют разные альтернативы и выбирают наиболее подходящие управляющие воздействия. С целью принятия окончательного решения результаты оценки риска рассматривают с учетом инженерных, экономических и политических аспектов.

 

Рис. 4.31. Схема анализа риска, обусловленного

источником, воздействующим на здоровье

 

Стандартные показатели несчастных случаев. Показатели несчастных случаев являются некоторой мерой опасности, позволяющей сопоставлять между собой предприятия, отрасли, профессии, возрастные группы и т. д. Они учитывают объем выполненной работы, ее минимальную длительность, при которой они являются достоверными, требуют применения единых методов учета данных и разрешают проводить сравнение лишь при определенных условиях (например, по профессиям). К таким показателям относят коэффициенты и показатели частоты и тяжести несчастных случаев.

Коэффициент частоты несчастных случаев есть отношение числа наступивших несчастных случаев N к реперному числу несчастньй случаев N; определенному за тот же период времени:

 

Кч = N/N* (4.54)

 

Реперное число

где at = 10-6 нс/ч и aМ = 10-3 нс/чел. можно трактовать как реперные значения соответственно скорости и плотности наступления несчастных случаев; Т— число часов, отработанных за рассматриваемый период времени всеми рабочими, которые подвергались воздействию опасности; М— среднее число рабочих, подверженных опасности.

В нашей стране принято определять реперное число по формуле

N* - aMM, в западных развитых странах N* = aТТ; подсчитанные таким образом коэффициенты Кч имеют различные значения; расчет реперного числа по формуле N* = aТТ позволяет более полно учесть объем выполненной работы.

 

Если устанавливается годовое значение Кч , то

 

T=MXY—Z,

 

где М— численность работающих; X, Y и Z— соответственно длительность рабочего дня, число отработанных в году дней и потери рабочего времени вследствие отпусков, прогулов, болезни, несчастных случаев и т. д.

Например, если на предприятии в течение года (допустим, в году 300 рабочих дней) работало 950 человек (рабочий день равен 8 ч), за это время наступило 100 несчастных случаев и было потеряно по разным причинам 30 000 рабочих дней, то: Т= 950×300×8 - 30 000×8 = 2 040 000 ч; N* = 10-6×2 040 000 = 2,04 нс, Кч = 100/2,04 = 49,02.

Показатель тяжести несчастных случаев (коэффициент нетрудоспособности)

 

КН =Д/Д*, (4.55)

где Д— число всех дней нетрудоспособности; Д* = bТТ — реперное число нетрудоспособных дней; bТ = 10-3 дн/ч.

Допустим, что при условиях, изложенных в предыдущем примере, 100 несчастных случаев привели к потере 3000 рабочих дней. Тогда, реперное число Д*= 10-3(950×300×8 - 30000×8) = 2040 дней, Кч = 3000/2040 = 1,47.

Коэффициент тяжести несчастных случаев определяется как число всех дней нетрудоспособности, приходящееся на один несчастный случай:

 

КТ = Д/М. (4.56)

При расчетах характеристик несчастных случаев (4.54)...(4.56) возникает вопрос: как быть, если среди несчастных случаев были такие, которые привели к летальному исходу или полной потере трудоспособности? Ответ на этот вопрос пытаются дать путем установления эквивалента, который бы приводил летальный исход к числу нетрудо способных дней. Ориентировочно и неофициально полагают, что один летальный исход может быть приравнен к 6000—7500 дням потери работоспособности. Так, если в предыдущем примере к 100 несчастным случаям добавим один летальный исход, получим Кч = (6000 + +3000)/2040 = 4,41, т. е. показатель тяжести увеличится в 3 раза, а коэффициент частоты незначительно (станет равным 50,2). Однако в настоящее время показатели несчастных случаев обычно рассчитывают отдельно для летальных и нелетальных исходов.

Коэффициент частоты несчастных случаев с летальным исходом [ли/(чел.-ч)]:

KЛ =NЛ/(MT), (4.57)

 

где NЛ число летальных исходов; обычно полагают МТ= 108 чел.×ч, что соответствует расчетному времени, когда 1000 человек работают по 40 ч в неделю в течение 50 недель в году и в течение 50 лет. Значения коэффициента КЛ приведены ниже.

 

    Горные работы........................ Транспорт........................... Строительство......................... Добыча нерудных полезных ископаемых............ Эксплуатация газопроводного оборудования и гидротехнических сооружений.......................... Металлургическая промышленность.............. Деревообделочные работы................... Пищевая промышленность.................. Целлюлозно-бумажная и полиграфическая промышленность.. Электротехника, точная механика, оптика........... Работы, связанные с химическими веществами........ Торговля, финансы, страхование, коммунальные услуги.... Текстильная и кожевенно-обувная промышленность...... Здравоохранение....................... Среднее значение для 20,2 млн. застрахованных........   КЛ лн/(чел.-ч)   30×10-8 30×10'8 20×10-8 10×10"8 6×10-8 6×10-8 6×10-8 6.10-8 5×10-8 4×10-8 4×10-8 4×10-8 3×10-8 2×10-8 7×10-8  

 




Поделиться с друзьями:


Дата добавления: 2014-11-16; Просмотров: 455; Нарушение авторских прав?; Мы поможем в написании вашей работы!


Нам важно ваше мнение! Был ли полезен опубликованный материал? Да | Нет



studopedia.su - Студопедия (2013 - 2026) год. Все материалы представленные на сайте исключительно с целью ознакомления читателями и не преследуют коммерческих целей или нарушение авторских прав! Последнее добавление




Генерация страницы за: 0.018 сек.