Студопедия

КАТЕГОРИИ:


Архитектура-(3434)Астрономия-(809)Биология-(7483)Биотехнологии-(1457)Военное дело-(14632)Высокие технологии-(1363)География-(913)Геология-(1438)Государство-(451)Демография-(1065)Дом-(47672)Журналистика и СМИ-(912)Изобретательство-(14524)Иностранные языки-(4268)Информатика-(17799)Искусство-(1338)История-(13644)Компьютеры-(11121)Косметика-(55)Кулинария-(373)Культура-(8427)Лингвистика-(374)Литература-(1642)Маркетинг-(23702)Математика-(16968)Машиностроение-(1700)Медицина-(12668)Менеджмент-(24684)Механика-(15423)Науковедение-(506)Образование-(11852)Охрана труда-(3308)Педагогика-(5571)Полиграфия-(1312)Политика-(7869)Право-(5454)Приборостроение-(1369)Программирование-(2801)Производство-(97182)Промышленность-(8706)Психология-(18388)Религия-(3217)Связь-(10668)Сельское хозяйство-(299)Социология-(6455)Спорт-(42831)Строительство-(4793)Торговля-(5050)Транспорт-(2929)Туризм-(1568)Физика-(3942)Философия-(17015)Финансы-(26596)Химия-(22929)Экология-(12095)Экономика-(9961)Электроника-(8441)Электротехника-(4623)Энергетика-(12629)Юриспруденция-(1492)Ядерная техника-(1748)

Анализ последствий чепе




 

Оценка опасности становится полной лишь тогда, когда последствия потенциального чепе ясно представляются. Прежде чем планировать предупредительные мероприятия, необходимо знать, какое потенциальное повреждающее действие окажет данное чепе на персонал, население, материальные ценности и окружающую среду. поэтому анализ последствий чепе (АПЧ) может включать следующее:

- описание потенциальных чепе;

- оценку их вероятностей;

- количественную оценку возможных последствий, например, „поливов и выбросов, обладающих повреждающими свойствами (ток-с'чностыо, взрываемостью и т. д.);

- расчет рассеивания выбросов и испарение проливов;

- оценку других повреждающих факторов (радиации, ударной волны, излученй и т. д.);

- суммарную оценку ущерба.

Если первые два пункта могут быть выполнены, исходя из результатов анализа опасностей, выполненного ранее описанными методами, то для выполнения других пунктов нужно использовать специальные модели.

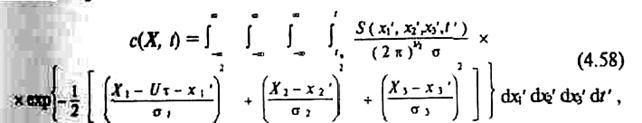
Большой класс задач связан с выбросом в атмосферу радиоактивных и других химических веществ. Чтобы оценить последствия такой аварии, необходимо уметь рассчитывать поля концентраций. Если примесь выбрасывается в поток, движущийся с постоянной средней скоростью U вдоль оси ОХ\ декартовой системы координат, то теоретико-вероятностное среднее значение концентрации с в точке Х в момент времени t

 

 

где S(х.', t') — производительность источника в точке х' в момент t' (единиц примеси на единицу объема за единицу времени); si = si(t) — стандартные отклонения (i = 1, 2, 3; t= t—t'); |s| = s1s2s3.

В табл. 4.18 приведены некоторые решения этого уравнения. В расчетные соотношения входят стандартные отклонения sI, которые необходимо предварительно определить. Для стационарных источника значения s2, s3 представляют собой характеристики горизонтального (перпендикулярно направлению движения) и вертикального расширения струи. Они задаются в зависимости от расстояния от источника в направлении движения ветра и зависят от устойчивости атмосферы, т.е. ее турбулентности, которая определяет поле ветра, переносящее и рассеивающее примесь. Категории устойчивости даны в табл. 4.19. Значения отклонений приведены на рис. 4.32 для периодов времени порядка 10 мин вблизи поверхности Земли (обычно на высоте £ 10 м. Скорость ветра U на высоте х3 приближенно можно определить Формуле , где U̅k —скорость ветра на высоте h; показатель a, зависящий от атмосферных условий и шероховатости поверхности, можно принять равным 0,16; 0,28 и 0,4 соответственно для территории открытого пространства, при наличии пригорода и в условиях города.

Таблица 4.18.




Поделиться с друзьями:


Дата добавления: 2014-11-16; Просмотров: 451; Нарушение авторских прав?; Мы поможем в написании вашей работы!


Нам важно ваше мнение! Был ли полезен опубликованный материал? Да | Нет



studopedia.su - Студопедия (2013 - 2026) год. Все материалы представленные на сайте исключительно с целью ознакомления читателями и не преследуют коммерческих целей или нарушение авторских прав! Последнее добавление




Генерация страницы за: 0.013 сек.