Студопедия

КАТЕГОРИИ:


Архитектура-(3434)Астрономия-(809)Биология-(7483)Биотехнологии-(1457)Военное дело-(14632)Высокие технологии-(1363)География-(913)Геология-(1438)Государство-(451)Демография-(1065)Дом-(47672)Журналистика и СМИ-(912)Изобретательство-(14524)Иностранные языки-(4268)Информатика-(17799)Искусство-(1338)История-(13644)Компьютеры-(11121)Косметика-(55)Кулинария-(373)Культура-(8427)Лингвистика-(374)Литература-(1642)Маркетинг-(23702)Математика-(16968)Машиностроение-(1700)Медицина-(12668)Менеджмент-(24684)Механика-(15423)Науковедение-(506)Образование-(11852)Охрана труда-(3308)Педагогика-(5571)Полиграфия-(1312)Политика-(7869)Право-(5454)Приборостроение-(1369)Программирование-(2801)Производство-(97182)Промышленность-(8706)Психология-(18388)Религия-(3217)Связь-(10668)Сельское хозяйство-(299)Социология-(6455)Спорт-(42831)Строительство-(4793)Торговля-(5050)Транспорт-(2929)Туризм-(1568)Физика-(3942)Философия-(17015)Финансы-(26596)Химия-(22929)Экология-(12095)Экономика-(9961)Электроника-(8441)Электротехника-(4623)Энергетика-(12629)Юриспруденция-(1492)Ядерная техника-(1748)

Критерії оптимальності проектних рішень




 

Під час проектування електричної частини станцій і підстанцій створюється множина допустимих технічних рішень для фрагментів і підсистем об’єктів. Допустима множина рішень визначає і множину допустимих технічних умов варіантів проекту підстанції або електричної частини станції. В загальному випадку оптимальним технічним рішенням як для фрагмента, так і для об’єкта в цілому є такий варіант, при якому заданий виробничий ефект (для електростанцій – це потужність і енергія, що відпускаються), та необхідний рівень надійності і якості електричної енергії отримується з мінімально можливими затратами матеріальних і трудових ресурсів.

Коли проводиться вибір схеми електричних з’єднань, компоновок споруд та обладнання, то оптимальне рішення – це збільшення виробничого ефекту з приблизно незмінними затратами. Для вибору оптимального рішення необхідне обчислення приведених затрат на спорудження і експлуатацію енергетичного об’єкту.

Розглянемо визначення приведених затрат для об’єктів, що вводяться в експлуатацію протягом року, протягом Т років і для об’єктів, цехи яких частково можуть експлуатуватися.

Якщо будівництво і ввід в експлуатацію енергетичного об’єкту здійснюються протягом року, то приведені затрати обчислюються за формулою:

, грн, (3.1)

де ЕН – це нормативний коефіцієнт ефективності капіталовкладень, в енергетиці він приймається рівним 0,12¸0,15;

К – капітальні вкладення, грн;

И – витрати на експлуатацію, грн.

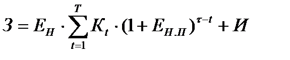
Якщо будівництво здійснюється протягом Т років, то визначають приведені дисконтовані затрати:

, грн, (3.2)

де Кt – капіталовкладення в t році, грн;

ЕН.П – коефіцієнт приведення різночасових затрат, що визначаються фінансовою політикою держави для кожної галузі народного господарства до t року, одного і того ж для всіх варіантів; в енергетиці ЕН.П = 0,08.

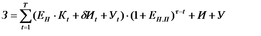
Якщо в період будівництва енергетичного об’єкту частково експлуатуються знову створені основні фонди, то приведені дисконтовані затрати визначаються за формулою:

, грн, (3.3)

де - приріст щорічних витрат на експлуатацію об’єкта в t році, грн;

Kt – капітальні вкладення в t році, грн;

Иt – витрати на експлуатацію в t році, грн;

Иt-1 – витрати на експлуатацію в t-1 році, грн.

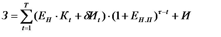
Використання приведених формул (3.1), (3.2) і (3.3) не дає змоги правильно визначити приведені затрати для кожного варіанту, тому що не враховуються збитки, які несе народне господарство крім основних затрат на спорудження і нормальну експлуатацію. Для уточнення величин приведених затрат з врахуванням збитків, які інколи мають випадковий характер, приведені дисконтовані затрати слід визначати:

– для енергетичних об’єктів, що вводяться в експлуатацію протягом року, за формулою:

, грн, (3.4)

де У – збитки, що несе народне господарство від ненормальних режимів роботи енергетичного об’єкту, грн;

– для об’єктів, що вводяться в експлуатацію протягом Т років:

, грн; (3.5)

– для об’єктів, що частково вводяться в експлуатацію:

,грн; (3.6)

де Уt і У – середні значення (математичні очікування) народно-господарських збитків в t-му році і на стадії нормальної експлуатації, грн.

Використання формул (3.4),(3.5),(3.6) ускладнюється через випадковий характер величини збитків і низьку достовірність способів їх визначення. Так, збитки від зниження якості електричної енергії визначаються дуже приблизно. Такі властивості енергетичних об’єктів як вплив на навколишнє середовище і на сусідні народно-господарські об’єкти взагалі неможливо дослідити. Тому для визначення збитків потрібне проведення великого об’єму робоіт. Але, не зважаючи на це, для економічної оцінки варіантів проектів електричної частини станцій і підстанцій, а також мереж, метод приведених дисконтованих затрат застосовується як критерій оптимальності в проектних розрахунках. В деяких випадках визначення оптимальних проектних рішень можливе за допомогою співвідношення:

. (3.7)

Співвідношення (3.7) отримується із умови мінімуму затрат рівняння, що обраховується за (3.4) для випадку, коли деяке зменшення витрат DИ і збитків DУ може бути досягнуте за рахунок збільшення капітальних вкладень DК.

За рахунок попарного порівняння варіантів за формулою (3.7) визначають оптимальне рішення.

 




Поделиться с друзьями:


Дата добавления: 2014-11-08; Просмотров: 536; Нарушение авторских прав?; Мы поможем в написании вашей работы!


Нам важно ваше мнение! Был ли полезен опубликованный материал? Да | Нет



studopedia.su - Студопедия (2013 - 2026) год. Все материалы представленные на сайте исключительно с целью ознакомления читателями и не преследуют коммерческих целей или нарушение авторских прав! Последнее добавление




Генерация страницы за: 0.011 сек.