Студопедия

КАТЕГОРИИ:


Архитектура-(3434)Астрономия-(809)Биология-(7483)Биотехнологии-(1457)Военное дело-(14632)Высокие технологии-(1363)География-(913)Геология-(1438)Государство-(451)Демография-(1065)Дом-(47672)Журналистика и СМИ-(912)Изобретательство-(14524)Иностранные языки-(4268)Информатика-(17799)Искусство-(1338)История-(13644)Компьютеры-(11121)Косметика-(55)Кулинария-(373)Культура-(8427)Лингвистика-(374)Литература-(1642)Маркетинг-(23702)Математика-(16968)Машиностроение-(1700)Медицина-(12668)Менеджмент-(24684)Механика-(15423)Науковедение-(506)Образование-(11852)Охрана труда-(3308)Педагогика-(5571)Полиграфия-(1312)Политика-(7869)Право-(5454)Приборостроение-(1369)Программирование-(2801)Производство-(97182)Промышленность-(8706)Психология-(18388)Религия-(3217)Связь-(10668)Сельское хозяйство-(299)Социология-(6455)Спорт-(42831)Строительство-(4793)Торговля-(5050)Транспорт-(2929)Туризм-(1568)Физика-(3942)Философия-(17015)Финансы-(26596)Химия-(22929)Экология-(12095)Экономика-(9961)Электроника-(8441)Электротехника-(4623)Энергетика-(12629)Юриспруденция-(1492)Ядерная техника-(1748)

Прочность деталей приспособлений




 

Прочность — одно из основных требований, предъявляемых к деталям и приспособлениям в целом. Прочность деталей может рассматриваться по коэффициентам запаса или по номинальным допускаемым напряжениям. Расчеты по номинальным допускаемым напряжениям менее точны и прогрессивны, но значительно проще.

С помощью расчета деталей (элементов) приспособлений на прочность можно решать две задачи: а) проверку на прочность уже существующих деталей с определенными размерами сечений путем сравнения фактических напряжений) (моментов, сил) с допускаемыми — проверочный расчет; б) определение размеров сечений деталей — предварительный проектный расчет.

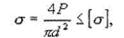
Расчет на прочность (задача а) детали в виде стержня круглого сечения, нагруженного осевой силой, по допускаемым напряжениям растяжения (сжатия) осуществляется по формуле

где s — фактическое напряжение растяжения (с жатия), МПа; Р — расчетная осевая сила, Н; d — диаметр опасного сечения (для резьбового стержня — внутренний диаметр резьбы), мм; [s] — допускаемое напряжение растяжения (сжатия), МПа.

Определение необходимого размера опасного сечения (задача б) для подобного случая можно производить по формуле

Полученное значение округляется в сторону увеличения до целого или ближайшего стандартного значения. При наличии шпоночного паза в опасном сечении детали полученное расчетом значение d следует увеличить на 5...10 %.

Расчеты на прочность валов и осей с целью определения их размеров (задача б) можно производить по формулам: на изгиб (детали круглого сечения)

на изгиб (детали кольцевого сечения)

на кручение

на изгиб с кручением (детали круглого сечения)

на изгиб с кручением (детали кольцевого сечения)

где Миз — изгибающий момент, Н • мм; Мкр — крутящий момент, Н»мм;

Мэкв — эквивалентный момент, Н • мм; ; [sиз] — допускаемое напряжение при изгибе, МПа; [tкр] — допускаемое напряжение при кручении, МПа; к0 = d0/d — отношение внутреннего диаметра вала (оси) do к наружному d

Необходимо помнить, что оси рассчитываются только на изгиб, так как они не передают крутящего момента.

Валы и оси можно рассчитывать на жесткость, но диаметр деталей в этом случае получается большим, чем при расчете на прочность. Расчет на изгибную жесткость состоит из определения углов наклона и прогибов упругой линии осей и валов и сравнения их с допускаемыми значениями. Следует отметить и сложность расчетов деталей на жесткость. Например, расчет валов на жесткость (задача а) при кручении производится по формуле

где j — действительный угол закручивания вала, град; [j]— допускаемый угол закручивания (можно принимать для большинства валов [j] =15' на 1 м длины; для менее ответственных валов [j] принимается до 2°); Мкр — крутящий момент, Н • мм; l — длина скручиваемой части вала, мм; G — модуль упругости при сдвиге, МПа (для стали G = 8*104 МПа); lр — полярный момент инерции сечения вала, мм4 ( — для круглого сечения и — для кольцевого сечения).

Уточненный расчет валов на прочность, в случае возникновения такой необходимости, заключается в определении коэффициентов запаса для опасных сечений.

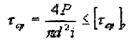
При нагружении соединения силами в плоскости (по поверхности) стыка деталей и в случаях установки штифта (цилиндрического гладкого стержня винта) без зазора и работы на срез проверочный расчет (задача а) штифта (винта) может осуществляться по формуле

где Р — срезающая сила, Н; d — диаметр штифта (стержня винта), мм; i — число стыков (количество штифтов или винтов) в соединении; [tср]— допускаемое напряжение среза, МПа.

Расчет на прочность шпоночных и шлицевых соединений заключается в сравнении фактически передаваемого крутящего момента с допускаемым моментом из условий прочности шпонок (шлиц).

Расчет на прочность шпоночных соединений (задача а) производится по формулам:

на смятие:

на срез:

(для призматических и сегментных шпонок),

где Мкр — крутящий момент (рассчитывается по передаваемой мощности и частоте вращения вала), Н-мм; D — наружный диаметр вала, мм; h — высота призматической шпонки, мм; Кш — размер выступающей из паза части сегментной шпонки, мм; l — рабочая длина шпонки, мм; [sсм] — допустимые напряжения смятия, МПа.

Проверочный расчет на прочность шлицевых соединений (задача а) может осуществляться по формулам: на смятие:

(прямобочный профиль)

(эвольвентный профиль)

на срез:

(прямобочный и эвольвентный профили)

где Мкр — крутящий момент, Н-мм; z — число шлицев; h — высота поверхности контакта (для прямобочного профиля h=0,5*(D - d)-2fш, здесь fш — фаска зуба и паза шпоночного соединения, по СТ СЭВ 188 - 75 фаска принимается равной 0,3...0,5 мм с допуском +0,2... + 0,3; для эвольвентных шлицев с центрированием по боковым поверхностям h = m, с центрированием по наружной цилиндрической поверхности h = 0,9т; D — наружный диаметр вала, мм; d — внутренний диаметр отверстия, мм; b — ширина шлица, мм; т — модуль эвольвентного соединения, мм; y/ коэффициент, учитывающий неравномерность распределения нагрузки по шлицам (y/ принимается равным 0,7...0,8).

При необходимости расчеты на прочность сварных соединений, пружин, подшипников, клиноременных, зубчатых передач и других специфических сборочных единиц и деталей специальных приспособлений следует выполнять с помощью справочных и других литературных источников.

Пример.16.1. Рассчитать на прочность опасного звена, приспособления (см. рис. 16.1). Из рассмотрения данного приспособления можно прийти к выводу, что одной из наиболее нагруженных деталей является ось 6 стойки 9. Она воспринимает повышенные нагрузки, связанные с зажимом обрабатываемых заготовок. Направление действия создаваемой пневмоцилиндром силы меняется на противоположное посредством рычагов 13. При этом она увеличивается в несколько раз. Затем через штоки 10 и пяты 3 она передается на рычаг 4, получает направление в сторону зажима заготовок и вновь возрастает. Таким образом, на прочность целесообразно рассчитывать наиболее нагруженное звено (в описанном случае ось б). Ось 6 в отверстиях рычага 4 и стойки 9 установлена с зазором и будет работать на изгиб. В соответствии с принятым решением она изготавливается из стали 20Х с цементацией и закалкой до твердости 57...63 HRC3. Вид нагрузки П (переменная). По табл. П28 напряжение [sиз] для приведенного случая равно 220 МПа. Из силового расчета выявлено, что изгибающий момент УИИЗ, действующий на опасное звено приспособления, равен 10 800 Н-мм.

Минимальный диаметр оси можно рассчитать (задача б) по формуле:

В описанных условиях можно принять размер d-\0 мм, что обеспечит более надежную работу оси б в приспособлении.

Рис. 16.1. Фрезерное многоместное приспособление для обработки торцов заготовок типа планок со схемой комбинированной передачи сил зажима.

Контрольные задания.

Задание 16.1.

По какой формуле проводится расчет на прочность детали в виде стержня круглого сечения, нагруженного осевой силой, по допускаемым напряжениям растяжения (сжатия)?

Задание 16.1.

По какой формуле проводится расчет на прочность валов и осей на изгиб (детали круглого сечения) с определения их

диаметра?




Поделиться с друзьями:


Дата добавления: 2014-11-18; Просмотров: 3088; Нарушение авторских прав?; Мы поможем в написании вашей работы!


Нам важно ваше мнение! Был ли полезен опубликованный материал? Да | Нет



studopedia.su - Студопедия (2013 - 2026) год. Все материалы представленные на сайте исключительно с целью ознакомления читателями и не преследуют коммерческих целей или нарушение авторских прав! Последнее добавление




Генерация страницы за: 1.877 сек.