Студопедия

КАТЕГОРИИ:


Архитектура-(3434)Астрономия-(809)Биология-(7483)Биотехнологии-(1457)Военное дело-(14632)Высокие технологии-(1363)География-(913)Геология-(1438)Государство-(451)Демография-(1065)Дом-(47672)Журналистика и СМИ-(912)Изобретательство-(14524)Иностранные языки-(4268)Информатика-(17799)Искусство-(1338)История-(13644)Компьютеры-(11121)Косметика-(55)Кулинария-(373)Культура-(8427)Лингвистика-(374)Литература-(1642)Маркетинг-(23702)Математика-(16968)Машиностроение-(1700)Медицина-(12668)Менеджмент-(24684)Механика-(15423)Науковедение-(506)Образование-(11852)Охрана труда-(3308)Педагогика-(5571)Полиграфия-(1312)Политика-(7869)Право-(5454)Приборостроение-(1369)Программирование-(2801)Производство-(97182)Промышленность-(8706)Психология-(18388)Религия-(3217)Связь-(10668)Сельское хозяйство-(299)Социология-(6455)Спорт-(42831)Строительство-(4793)Торговля-(5050)Транспорт-(2929)Туризм-(1568)Физика-(3942)Философия-(17015)Финансы-(26596)Химия-(22929)Экология-(12095)Экономика-(9961)Электроника-(8441)Электротехника-(4623)Энергетика-(12629)Юриспруденция-(1492)Ядерная техника-(1748)

Первые свабодные зоны Френеля




Проявления рефракции.

Лекция 4. Выбор мест расположения станций РРЛ, построение профилей пролетов и выбор величин подвеса антенн.

План:

1. Системы цифровых РРЛ и их места расположении.

 

При выборе мест расположения станций нужно учитывать принцип "зигзагообразности" линии связи, наличие подъездных путей и линии электропередачи, общий рельеф местности, характер почвы и пр. Это достаточно длительный и неоднозначный процесс, так как необходимо проводить выбор из множества возможных вариантов проведения трассы РРЛ. Кроме того, удачный выбор мест расположения станций для одного пролета может быть неприемлемым для соседних пролетов. При расчете цифровых РРЛ необходимо строить профили каждого пролета при нулевой атмосферной рефракции, нормальной рефракции для данного климатического района и субрефракции. Известно, что наличие рефракции учитывается так называемой трансформацией профиля. На рис. 4.1-4.6 показаны характерные примеры продольных профилей пролетов. Рассмотрим характерные особенности этих профилей, их возможные влияния на устойчивость работы линии связи и области применения в различных условиях.

 

Рис. 4.1

Продольный профиль, показанный на рис. 4.1, не имеет больших перепадов высот и значительная часть поверхности покрыта лесом. При длине волны короче 5 см отражения от такой поверхности носят диффузный характер и коэффициент отражения Ф=0. Следовательно, с точки зрения интерференционных замираний такой вид профиля удачен. Но он неприемлем в случае протяженности пролета в 40 - 60 км, так как, при этом велика вероятность закрытия трассы из-за субрефракции (пунктир). Ширина препятствия на профиле велика, и в моменты закрытия трассы будут наблюдаться глубокие замирания, которые могут длиться минутами, а то и часами. Конечно, можно выбрать такую большую величину просвета, чтобы закрытия трассы не могло быть, но, при значительной протяженности пролета высоты подвеса антенн будут слишком велики, что приведет к высокой стоимости линии связи. Поэтому, на длинных пролетах, такая форма профиля интервала нежелательна.

 

Рис. 4.2

На рис. 4.2 показан профиль того же пролета, но правая антенная опора переставлена на другое место (в данном конкретном случае - на расстояние около 2 км). Видно, что форма препятствия на профиле существенно изменилась. Препятствие стало более острым и, следовательно, при закрытии трассы, замирания сигнала уменьшатся по сравнению с препятствием рис. 4.1.

Рис. 4.3

На продольном профиле (рис. 4.3) антенные опоры установлены на возвышенных местах, что, на первый взгляд, выгодно так как позволяет получить большую величину просвета при малых высотах антенных опор. Однако на участках пролета с координатами k = 0.2 до 0.7 имеются плоские участки, от которых возможно появление отраженных волн, приводящих к интерференционным замираниям. Положение усугубляется тем, что в середине пролета находится водное пространство. Коэффициент отражения от поверхности воды достигает 1 (при отсутствии волнения) и энергия отраженной волны будет равна энергии прямой волны, что приведет к возможному падению мощности сигнала на входе приемника при интерференции до 0. Длительность интерференционных замираний составляет секунды и доли секунд. В цифровых системах связи интерференционные замирания определяют качественные параметры линии. Поэтому, выбирать пролеты с такими профилями нежелательно. Эти замечания не относятся к коротким пролетам, протяженностью несколько километров, так как отраженной волны может здесь не быть из-за направленных свойств антенных устройств. Например, такой пролет расчитывался для линии связи, проходящей через Северную Двину. Протяженность пролета составляет 4 км, величина просвета - 15 м, рабочая частота 11 ГГц, коэффициент усиления антенн 41 дБ. При этом радиус поперечного сечения электромагнитного луча, сформированного направленными свойствами антенны (диаграммой направленности), на середине пролета около 12 м (по уровню половинной мощности). Следовательно, в этих условиях появление отраженной волны невозможно и данная форма профиля вполне приемлема. При протяженности же пролета 20 км, радиус раскрыва диаграммы направленности антенны (на середине пролета) достигает величин в несколько десятков метров. Значит при такой форме пролета для устойчивой работы линии связи величина просвета должна превышать эти величины.

Профиль пролета, показанный на рис. 4.4, содержит участок (k = 0.87) от которого возможно появление отраженной волны. Но форма препятствия такова, что отражение может произойти от одной точки, а не от какой-то поверхности. В этом случае уровень отраженной волны невелик, и замирания сигнала из-за интерференции не очень глубокие.

 

Рис. 4.4


Отражения от наивысшей точки препятствия на профиле пролета (k = 0.22) в данном случае практически отсутствуют, так как эта точка покрыта лесом. Вероятность закрытия трассы из-за субрефракции для данного профиля невелика из-за близости вероятных точек отражения к антенным опорам (точки отражения расположены на краях пролета). Поэтому подобные профили пролетов позволяют получить приемлемые результаты работы линии связи. Еще лучшее качество работы линии связи позволяют получить пролеты, в которых отраженная волна экранируется какими-либо препятствиями на профиле (например, лесом) как показано на рис. 4.5.

Рис. 4.5

При наличии таких профилей необходимо проследить, чтобы экранирование отраженной волны происходило при всех значениях градиента диэлектрической проницаемости атмосферы (т.е. при любой возможной трансформации профиля).

Рис. 4.6

Профиль пролета (рис. 4.6) имеет две возможные точки отражения электромагнитных волн. Показанные пунктиром линия прямой видимости и отраженные лучи, получаются здесь при примерно одинаковых высотах подвеса антенн.

Как следует из практики, добиться устойчивой работы цифровой РРЛ при двух или нескольких точках отражения очень трудно и дорого. Стремление получить только одну точку отражения заставляет выбирать разные высоты подвеса антенн (рис. 4.6). При этом отраженная волна от одного из препятствий, экранируется другим препятствием. Естественно, это условие необходимо проверять при различных трансформациях профиля.

Высокие технические характеристики современной аппаратуры цифровых РРЛ при правильном выборе профилей пролета позволяют пользоваться упрощенной методикой для определения просветов на интервалах линии связи и, следовательно, высот подвеса антенн. Кратко, основные критерии для выбора просветов сведены в табл. 4.1. Видно, что основным критерием, является свободная первая зона Френеля. Радиус первой зоны Френеля:

, (4.1)

где Ro - протяженность пролета, км,
f - рабочая частота, (ГГц,
k - относительная координата наивысшей точки на трассе.
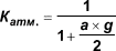
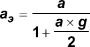
Эквивалентный радиус Земли

, (4.2)

где a - геометрический радиус Земли (6370 км),
g - вертикальный градиент диэлектрической проницаемости атмосферы (1/м). Таблица значений градиентов приведена в. Там же приведен график для нахождения коэффициента преломления атмосферы (К атм.)

, (4.3)

К атм - коэффициент преломления атмосферы, представляющий собой отношение эквивалентного радиуса Земли (при атмосферной рефракции) к геометрическому радиусу Земли

Таблица 4.1

Критерии Ro, км Катм
Величина просвета должна соответствовать радиусу первой зоны Френеля при нормальной атмосферной рефракции для данной местности любая 1.333
Величина просвета должна быть больше или равна нулю при субрефракции >15 0.5 0.7

Необходимо иметь в виду, что в ряде случаев (например, при узком препятствии на пролете), можно выбрать меньшие величины просвета, чем получатся по критериям из табл. 4.1. При этом допускается закрытие пролета из-за субрефракции, приводящее к возможным ухудшениям показателей неготовности ЦРРЛ. Все вышесказанное, относящееся к выбору высот подвеса антенн, не учитывает погрешности географических карт. Реальные величины просветов необходимо выбирать увеличенными на максимальную погрешность карт. В ряде случаев, желательно проводить изыскательские работы для практического определения высотных отметок местности не только в пунктах расположения антенных опор, но и в критических точках пролетов.

Основная литература: 1осн[362-386],

 

Дополнительная литература: 10доп[205-210], 11доп[5-10].

 

Контрольные вопросы

  1. Начертите двухпролетную РРЛ.
  2. Какие сведения нужно учесть при выборе трассы РРЛ?
  3. Поясните смысл условия «зигзагообразности» при выборе трассы РРЛ.
  4. Приведите упрощенную структурную схему одного пролета РРЛ.
  5. Какие частоты относятся к СВЧ диапазону?

 

Лекция 5. Системы радиорелейной радиосвязи. Зоны Френеля, замирания из-за субрефракции и интерференции.

План:




Поделиться с друзьями:


Дата добавления: 2014-11-08; Просмотров: 2639; Нарушение авторских прав?; Мы поможем в написании вашей работы!


Нам важно ваше мнение! Был ли полезен опубликованный материал? Да | Нет



studopedia.su - Студопедия (2013 - 2026) год. Все материалы представленные на сайте исключительно с целью ознакомления читателями и не преследуют коммерческих целей или нарушение авторских прав! Последнее добавление




Генерация страницы за: 0.013 сек.