Студопедия

КАТЕГОРИИ:


Архитектура-(3434)Астрономия-(809)Биология-(7483)Биотехнологии-(1457)Военное дело-(14632)Высокие технологии-(1363)География-(913)Геология-(1438)Государство-(451)Демография-(1065)Дом-(47672)Журналистика и СМИ-(912)Изобретательство-(14524)Иностранные языки-(4268)Информатика-(17799)Искусство-(1338)История-(13644)Компьютеры-(11121)Косметика-(55)Кулинария-(373)Культура-(8427)Лингвистика-(374)Литература-(1642)Маркетинг-(23702)Математика-(16968)Машиностроение-(1700)Медицина-(12668)Менеджмент-(24684)Механика-(15423)Науковедение-(506)Образование-(11852)Охрана труда-(3308)Педагогика-(5571)Полиграфия-(1312)Политика-(7869)Право-(5454)Приборостроение-(1369)Программирование-(2801)Производство-(97182)Промышленность-(8706)Психология-(18388)Религия-(3217)Связь-(10668)Сельское хозяйство-(299)Социология-(6455)Спорт-(42831)Строительство-(4793)Торговля-(5050)Транспорт-(2929)Туризм-(1568)Физика-(3942)Философия-(17015)Финансы-(26596)Химия-(22929)Экология-(12095)Экономика-(9961)Электроника-(8441)Электротехника-(4623)Энергетика-(12629)Юриспруденция-(1492)Ядерная техника-(1748)

Балансовый метод планирования в теплоэнергетике




Задачи планирования производства

1. Планирование объемов выпуска продукции, качество которой должно соответствовать требованиям рынка, в течение планового периода.
2. Планирование путей развития производства в соответствии с тенденциями изменения рынка и с учетом внутренних факторов развития.
3. Обоснование производственной программы, включающее:
а) разработку балансов производственных мощностей;
б) выбор оптимального варианта производственной программы по критерию минимума издержек. При этом должны рассматриваться различные варианты загрузки оборудования, использование ресурсосберегающих технологий, оптимизация запасов, рационализация обслуживания основного производства, мероприятия по повышению производительности труда;
в) определение потребности в ресурсах: основных фондах, производственных площадях, материальных, трудовых и финансовых ресурсах для реализации производственной программы;
г) разработку мероприятий по повышению качества продукции;
д) расчет технико-экономических показателей производства: издержек производства, себестоимости продукции, показателей эффективности использования основных фондов и оборотных средств, производительности труда.
Помимо структурного фактора системообразующим является также время. На на основе этого фактора формируется следующая система планов для предприятия в целом и для его подразделений: стратегический, среднесрочный, краткосрочный и оперативный. Эти планы различаются периодом планирования, т.е. продолжительностью планового периода. Периоды планирования в рыночных условиях предприятие устанавливает самостоятельно.
Обычно при разработке стратегических планов рассматривается перспектива от 3 до 5---7 лет. Для энергетической отрасли стратегия формируется на период до 20 лет. Среднесрочный план разрабатывается на 2---3 года в зависимости от характера производства, краткосрочный, или текущий, --- на период до 1 года. Оперативный план разрабатывается на период до одной недели, а для электроэнергетики оперативный план разрабатывается по часам суток

 

Состояние энергетического хозяйства и возможные перспективы его развития характеризуются многоуровневой системой энергетических балансов, обеспечивающих для рассматриваемого объекта (мира, страны, региона, отрасли, предприятия, цеха, установки и т.п.) согласование прихода и расхода всех видов энергии по всем фазам ее преобразования в границах данного объекта. Баланс - это равенство между приходом и расходом. Термин «энергетический баланс» означает полное количественное равенство в данный момент времени между расходом и приходом топлива и энергии в энергетическом хозяйстве. Принципиальная структура энергетического баланса приведена в табл. 9.1. Задача энергетического баланса --- обеспечение количественного согласования потребностей в энергетических ресурсах и возможностей их производства на протяжении планируемого периода.
Сущность баланса состоит в определении потребности в какомлибо виде продукции и установлении источников покрытия этой потребности.
Балансы бывают:
1) материальные (в натуральном выражении), например по металлу, топливу, сельскохозяйственной продукции и т.п.
2) общеэкономические: баланс рабочей силы, денежных расходов и доходов и т.п.

Для энергетики материальными балансами являются: баланс топливных ресурсов, балансы по видам энергии, в том числе баланс тепловой энергии, баланс электрической энергии. Энергетический баланс охватывает все элементы энергетического хозяйства от источника получения первичных ресурсов до полезного использования всех видов энергии. При составлении энергетических балансов учитываются также экспорт и импорт энергоресурсов и электроэнергии. Энергетический баланс, как любой баланс, содержит расходную и приходную части. Расходная --- отражает потребность в топливе, электроэнергии, тепловой энергии различных параметров. Приходная часть определяет уровень добычи и производства топливноэнергетических ресурсов, необходимых для удовлетворения этих потребностей.
Энергетический баланс классифицируется по следующим признакам:
по стадиям энергетического потока --- добыче, переработке или преобразованию и конечному использованию;
по энергетическим установкам и объектам --- обогатительным фабрикам, электростанциям, котельным, промышленным предприятиям и др.;
по целевому назначению - силовым, тепловым, электрохимическим и электрофизическим процессам, освещению;
по использованию - полезная энергия, потери;
по экономике в целом и отдельным отраслям промышленности, транспорта и сельского хозяйства.
Топливно-энергетический баланс - это баланс производства и потребления всех видов топлива и энергии. Он предусматривает обеспечение потребителей по отраслям промышленности, по экономическим районам, крупным территориям с учетом наиболее эффективного использования ресурсов. В топливно-энергетических балансах все виды энергии и топлива обычно выражаются в сопоставимых единицах - тоннах условного топлива (т у.т.), при этом энергия ГЭС и АЭС учитывается по среднему удельному расходу топлива на отпущенный 1 кВт·ч с шин ТЭС в соответствующий год. Баланс электроэнергии --- это баланс потребности экономики в электроэнергии и производства ее различными типами электростанций:

где Эвырс - количество электроэнергии, выработанное энергосистемой; Эвырбл.с - количество электроэнергии, выработанное блокстанцией; Эпок - количество покупной электроэнергии; Эпотр- количество потребленной электроэнергии; Эпрод - количество электроэнергии, проданной в другие энергосистемы; ΔЭпот - величина потерь в энергосистеме; количество электроэнергии, потребленной промышленными предприятиями [промышленный потребитель характеризуется графиком потребления электроэнергии, зависящим от технологического процесса: с непрерывным производством и с прерывным производством (1---3 смены)]; Эпрс.х - количество электроэнергии, потребленной сельским хозяйством на производственные нужды. Это сезонный потребитель, режим потребления которого зависит от вида сельскохозяйственной продукции (полеводство, животноводство); Эк.бс.х - количество электроэнергии, потребленной коммунально-бытовыми сектором в сельском хозяйстве; Эк.бг - количество электроэнергии, потребленное городским коммунальнобытовым хозяйством. Зависит от размера города, степени использования электроплит и электроотопительных приборов, от развития города, этажности домов и т.п.
В приходной части баланса --- производство электроэнергии различными станциями, а в расходной части --- суммарная потребность в электроэнергии всех потребителей. Расходная часть баланса должна быть равной приходной:

Эвыррасх;

Расходная часть электробаланса разделяется по отраслям народного хозяйства.

Баланс электроэнергии неразрывно связан с балансом электрической мощности --- балансом максимальной нагрузки потребителей и генерирующих мощностей с учетом рациональной величины резерва, МВт:

Баланс тепловой энергии представляет собой баланс потребности в тепловой энергии и ее производства. Потребность в теплоте складывается из технологического теплопотребления, а также расхода на отопление, вентиляцию, кондиционирование воздуха и горячее водоснабжение (табл. 9.3).

Наибольшую долю в покрытии потребности в тепле в экономике занимает централизованное теплоснабжение от ТЭЦ, от районных и промышленных котельных. Большая доля расходной части приходится на промышленность, причем на технологические нужды. К наиболее теплоемким отраслям промышленности относятся химическая, нефтеперерабатывающая, целлюлозно-бумажная и пищевая. Тепло, расходуемое на отопление, вентиляцию и горячее водоснабжение, в общем расходе тепла по отдельным отраслям промышленности составляет:
в машиностроении 30...90%;
в металлургии 40...60%;
в химической и нефтехимической отраслях ~ 20%;
в пищевой промышленности 10...30%;
в целлюлозно-бумажной ~ 10%.
Баланс топлива представляет собой баланс добычи, переработки, транспорта и потребления топливных ресурсов.
Расходная часть баланса топлива характеризует потребности в топливе (с учетом взаимозаменяемости его), непосредственно используемом в установках, группировку потребителей по их требованиям, предъявляемым к качеству топлива. Так как ряд энергетических и технологических установок может использовать только определенные
виды топлива, то кроме свободных топливных балансов составляются также балансы по отдельным видам топлива.
Теплоэнергетический баланс и нормирование энергопотребления на промышленном предприятии. Под теплоэнергетическим балансом предприятия понимается общий энергетический баланс, из которого исключен электробаланс. Теплоэнергетический баланс имеет также две части: расходную и приходную. Расходная часть определяет потребность промышленного предприятия в топливе, теплоте, сжатом воздухе, кислороде, холодильных агентах, воде и т.п. Приходная часть определяет собственные источники удовлетворения этой потребности (от промышленной ТЭЦ, промышленной котельной, компрессорной станции и т.п.) и получение их со стороны (с топливных баз, с районной ТЭЦ или котельной). Планирование расходной части теплоэнергетического баланса промышленного предприятия производится на основе его производственной программы и норм расхода энергоносителей (электроэнергия, пар, горячая вода, топливо).
Норма расхода энергоносителей --- это максимально допустимое количество энергоносителя, необходимого для производства единицы продукции установленного качества. Расчет потребности в энергоносителях на данный период времени (месяц, квартал, год) производится по формулам:

Э=эV; Q=qV; B=bV; W=wV,

где Э, Q, B, W - потребность в электроэнергии, теплоте, топливе, сжатом воздухе за данный период времени, кВт·ч/период; т у.т/период; тыс. м3/период; э, q, b, w - норма расхода электроэнергии, теплоты, топлива, сжатого воздуха на единицу продукции: кВт·ч/ед. пр.; т у.т/ед. пр.; тыс. м3 /ед. пр.; V - объем продукции за данный период времени, ед. пр. Нормы расходов энергоносителей изменяются во времени и зависят от типа производства, структуры и характеристики продукции, совершенства технологического оборудования и степени его использования, степени автоматизации и др.
К факторам, влияющим на снижение норм, относят: улучшение использования оборудования, увеличение единичной мощности агрегата и повышение их КПД, переход на непрерывные технологические процессы, не требующие многократного охлаждения и нагрева материала, внедрение комбинированных и безотходных производств, использование автоматизированной системы управления технологическими процессами и предприятиями.
На повышение норм влияют: увеличение доли энергоемких видов продукции (производство пластмасс, химических волокон и др.), ужесточение требований к качеству продукции, усложнение процессов термической обработки материалов, рост механизации производственных процессов, улучшение условий труда, защита окружающей среды, усложнение условий добычи сырья и др. Анализ норм показывает, что в зависимости от характеристик производств они изменяются в различных направлениях. По мере совершенствования технологии производства и внедрения энергосберегающих мероприятий происходит постепенное снижение норм энергоносителей. Так, для электроемких производств (производство алюминия, электростали, никеля, магния, титана и т.п.) характерным является снижение удельных расходов электроэнергии под влиянием мероприятий по экономии электроэнергии (модернизация, совершенствование и автоматизация процессов и оборудования и т.п.).
Для топливоемких производств (предприятия черной металлургии и др.) основной тенденцией является снижение удельных расходов топлива при росте удельных расходов электроэнергии. Снижение удельных расходов топлива обеспечивается совершенствованием технологических процессов, более полным использованием вторичных энергоресурсов, дальнейшей автоматизацией и механизацией. Повышение удельных расходов электроэнергии определяется увеличением доли выпуска более электроемкой продукции (холодный листовой прокат, прокат с предварительной термообработкой), а также расходом энергии на механизацию и т.п. Для теплоемких производств (текстильное производство и др.) наблюдается снижение удельных расходов теплоты и повышение удельных расходов электроэнергии за счет механизации, автоматизации производственных процессов, использования кондиционированного воздуха, улучшения освещенности.
Нормы расхода энергоносителей разделяются на индивидуальные и отраслевые. Индивидуальные нормы разрабатываются на предприятии применительно к конкретным условиям его производства. Индивидуальные нормы разделяются на технологические, цеховые и общезаводские. Технологические нормы включают затраты на технологический процесс --- полезный расход, экономически обоснованные потери, расходы на разогревы и пуски после простоев. Цеховые нормы включают все расходы цеха, относимые на единицу продукции: затраты на технологический процесс, расходы на цеховой транспорт, покрытие потерь энергоносителей во внутрицеховых сетях, на отопление, кондиционирование воздуха и др. Общезаводские нормы учитывают то же самое в масштабах завода.
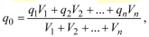
Отраслевые нормы устанавливаются на соответствующие виды планируемой продукции и используются при составлении энергобалансов экономического района, страны. Отраслевые нормы на однородную продукцию, производимую на разных предприятиях, определяются по формуле

где q1, q2,..., qn - общезаводские нормы на данную продукцию по первому, второму,..., n-му промышленному предприятию; V1, V2,..., Vn - годовые объемы выпуска продукции соответственно. Важное значение в нормировании имеет выбор единицы продукции, на которую должна устанавливаться норма. На предприятиях (цехах), выпускающих один вид продукции, нормы расхода топлива (теплоты) целесообразно устанавливать на единицу продукции, выраженную в натуральных единицах (тонна, изделие, квадратный метр и т.п.) Предприятиям же с разнообразной продукцией общезаводские нормы удельных расходов топлива, теплоты устанавливаются на единицу основной продукции, остальные виды продукции с учетом их энергоемкости приводятся к основной.
Энергетические балансы разделяются на плановые и отчетные. Плановые балансы служат для определения потребности в топливе, теплоте, электроэнергии (расходная часть балансов), разработки наиболее рациональных способов покрытия этой потребности (приходная часть балансов) и оценки экономичности принятого технического решения. Отчетные (фактические) балансы служат для анализа энергопотребления, выявления источников потерь, разработки мероприятий по экономии топлива, теплоты, электроэнергии и др.
По периодам времени различаются балансы:
а) текущие (на один год);
б) перспективные (на ряд лет).




Поделиться с друзьями:


Дата добавления: 2014-11-20; Просмотров: 1721; Нарушение авторских прав?; Мы поможем в написании вашей работы!


Нам важно ваше мнение! Был ли полезен опубликованный материал? Да | Нет



studopedia.su - Студопедия (2013 - 2026) год. Все материалы представленные на сайте исключительно с целью ознакомления читателями и не преследуют коммерческих целей или нарушение авторских прав! Последнее добавление




Генерация страницы за: 0.008 сек.