Студопедия

КАТЕГОРИИ:


Архитектура-(3434)Астрономия-(809)Биология-(7483)Биотехнологии-(1457)Военное дело-(14632)Высокие технологии-(1363)География-(913)Геология-(1438)Государство-(451)Демография-(1065)Дом-(47672)Журналистика и СМИ-(912)Изобретательство-(14524)Иностранные языки-(4268)Информатика-(17799)Искусство-(1338)История-(13644)Компьютеры-(11121)Косметика-(55)Кулинария-(373)Культура-(8427)Лингвистика-(374)Литература-(1642)Маркетинг-(23702)Математика-(16968)Машиностроение-(1700)Медицина-(12668)Менеджмент-(24684)Механика-(15423)Науковедение-(506)Образование-(11852)Охрана труда-(3308)Педагогика-(5571)Полиграфия-(1312)Политика-(7869)Право-(5454)Приборостроение-(1369)Программирование-(2801)Производство-(97182)Промышленность-(8706)Психология-(18388)Религия-(3217)Связь-(10668)Сельское хозяйство-(299)Социология-(6455)Спорт-(42831)Строительство-(4793)Торговля-(5050)Транспорт-(2929)Туризм-(1568)Физика-(3942)Философия-(17015)Финансы-(26596)Химия-(22929)Экология-(12095)Экономика-(9961)Электроника-(8441)Электротехника-(4623)Энергетика-(12629)Юриспруденция-(1492)Ядерная техника-(1748)

Соединение треугольником. Рассмотрим схему соединения обмоток генератора звездой, в ко-




СОЕДИНЕНИЕ ЗВЕЗДОЙ

Рассмотрим схему соединения обмоток генератора звездой, в ко-

торой концы трех обмоток соединяются в один узел, а начала слу-

жат зажимами для подключения нагрузки.

При таком способе соединения напряжение между каждой фазой

и нулевым проводом называют фазным напряжением. Оно обозначается (/ф или UА\ в последнем случае индекс указывает, что взято напряжение между нулевым проводом и фазой А (рис. 1-38).

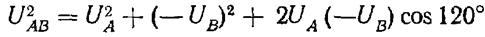
Напряжения между фазами А — В, В — С а С — А называют

- линейными. Они обозначаются U

 

 

 

 

 

 

 

Так, для соединения звездой имеем:

 

Пример:

 

Построение векторной диаграммы:

Практический эксперимент:

 

 

Обмотки трехфазного генератора, а также трехфазные нагрузки

могут быть соединены еще одним способом: конец первой обмотки

соединяют с началом второй, конец второй — с началом третьей,

конец третьей — с началом первой, а узлы соединения служат отводами (рис. 1-40). Такой способ соединения называют треугольником.

Если включить три приемника тока: гАВ, гвс и гСА (см. рнс.

1-40) — непосредственно между проводами трехпроводной линии, то

получим соединение токоприемников треугольником.

При таком соединении нет различия между фазным и линейным напряжениями, так как напряжение между началом и концом каждой фазы приемника является в то же время линейным напряжением. Зато здесь

появляется различие между фазными и линейными

токами приемника.

По первому закону Кирхгофа имеем (в векторной форме представим):

 

 

 

или

 

При симметричной нагрузки

 




Поделиться с друзьями:


Дата добавления: 2014-11-08; Просмотров: 964; Нарушение авторских прав?; Мы поможем в написании вашей работы!


Нам важно ваше мнение! Был ли полезен опубликованный материал? Да | Нет



studopedia.su - Студопедия (2013 - 2026) год. Все материалы представленные на сайте исключительно с целью ознакомления читателями и не преследуют коммерческих целей или нарушение авторских прав! Последнее добавление




Генерация страницы за: 0.008 сек.