Студопедия

КАТЕГОРИИ:


Архитектура-(3434)Астрономия-(809)Биология-(7483)Биотехнологии-(1457)Военное дело-(14632)Высокие технологии-(1363)География-(913)Геология-(1438)Государство-(451)Демография-(1065)Дом-(47672)Журналистика и СМИ-(912)Изобретательство-(14524)Иностранные языки-(4268)Информатика-(17799)Искусство-(1338)История-(13644)Компьютеры-(11121)Косметика-(55)Кулинария-(373)Культура-(8427)Лингвистика-(374)Литература-(1642)Маркетинг-(23702)Математика-(16968)Машиностроение-(1700)Медицина-(12668)Менеджмент-(24684)Механика-(15423)Науковедение-(506)Образование-(11852)Охрана труда-(3308)Педагогика-(5571)Полиграфия-(1312)Политика-(7869)Право-(5454)Приборостроение-(1369)Программирование-(2801)Производство-(97182)Промышленность-(8706)Психология-(18388)Религия-(3217)Связь-(10668)Сельское хозяйство-(299)Социология-(6455)Спорт-(42831)Строительство-(4793)Торговля-(5050)Транспорт-(2929)Туризм-(1568)Физика-(3942)Философия-(17015)Финансы-(26596)Химия-(22929)Экология-(12095)Экономика-(9961)Электроника-(8441)Электротехника-(4623)Энергетика-(12629)Юриспруденция-(1492)Ядерная техника-(1748)

Нормирование локальных выбросов.Организация нормирования выбросов




Нормирование выбросов в ограниченном районе на двусторонней основе

В этом случае в связи с локальным характером загрязнения можно рассматривать лишь загрязнение воздуха и в качестве допустимых нагрузок использовать ПДК.

Поток загрязняющего вещества из соседней страны не должен создавать нагрузку, равную или большую ПДК, так как в этом случае первая страна не может иметь никой промышленности в приграничном районе. Наиболее логично, чтобы максимальная нагрузка за счет переноса загрязняющего вещества из–за границы составляла половину ПДН, т.к. атмосфера в пограничном районе является достоянием обоих государств в равной степени.

Таким образом, для пограничных районов .

Работа по нормированию выбросов обычно проводится в две стадии:

  1. предприятие разрабатывает проект ПДВ с учетом фонового загрязнения (его величина запрашивается в местном подразделении Росгидромета), регламента работы производственных мощностей, технических возможностей снижения выбросов, и направляет в городской (районный, областной) орган охраны окружающей среды следующие документы:
  • Официальное ходатайство о выдаче разрешения на выброс.
  • Бланк инвентаризации источников выбросов.
  • Предложения по выбросам.
  • Сведения о разработке проекта ПДВ.

Если ПДВ утверждается первый раз, прилагается информация о выполнении мероприятий по снижению выбросов за прошедший период, план мероприятий на первый срок, график контроля соблюдения норматива ПДВ.

  1. Местный орган охраны окружающей среды обобщает предложения всех предприятий, расположенных на его подведомственной территории, для чего строит изолинии концентрации загрязняющих веществ на схеме города (района), исходя из ПДВ, предложенных предприятиями с учетом результата расчетов рассеивания. На участках, где все концентрации в зоне жилой застройки ниже ПДК, предложенные ПДВ могут быть утверждены. Там, где концентрации превышают ПДК, определяют предприятие, которое имеет наибольшую мощность выбросов, и предлагают ему изыскать возможность снижения предложенного ПДВ.

Если предприятие не может в данный момент обеспечить ПДВ, но оно играет важную роль в хозяйстве страны или города и то же время имеет возможность за счет совершенствования технологии добиться снижения выбросов в обозримые сроки, ему может быть установлен временно согласованный выброс (ВСВ).

ПДВ обычно утверждается на 2–3 года, иногда до 5 лет (если все выбрасываемые ЗВ относятся к 3–4 классам опасности), ВСВ утверждаются на 1 год.

Расчет ПДВ

Расчеты ПДВ (ВСВ) проводятся согласно ОНД – 86 Госкомгидромета: «Методика расчета концентраций в атмосферном воздухе вредных веществ, содержащихся в выбросе предприятий». (ОНД – 86). Л.: Гидрометеоиздат, 1986.

ПДВ одиночного «горячего» выброса рассчитывается по формуле

,(г/с)

а ПДВ одиночного «холодного» выброса – по формуле

, (г/с)

А – коэффициент, зависящий от гидрометеорологических условий, F – коэффициент, учитывающий скорость оседания загрязнителя, η – коэффициент, учитывающий рельеф местности, m, n – коэффициенты, учитывающие условия выброса, Н – высота трубы, ΔТ – разность температур выбрасываемого газа и окружающего воздуха. V1 – расход газо–воздушной смеси, D – диаметр трубы.

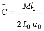
Для совокупности низких источников (h<50 м), можно лишь приближенно оценить ожидаемое значение средней по городу концентрации С (г, м3):

,

где М – мощность выброса, приведенная к единице площади (г/с·м2), l1 – средняя протяженность города (м), L0 – высота слоя перемешивания загрязнителя (м), - средняя скорость ветра в данном слое (м/с). Высокий потенциал загрязнения воздуха следует ожидать L0< 500 и ≤4 м/c.

Нормирование выбросов ЗВ в водные объекты

Порядок разработки и утверждения экологических нормативов сбросов ЗВ в окружающую среду, так же выбросов, определен Постановлением Правительства РФ от 3 августа 1992 г. № 545. Поэтому все, что изложено выше, практически полностью можно перенести на разработку и утверждение ПДС и ВСС.

Однако если выбросы поступают только в одну среду – атмосферу, то водная среда, в которую поступают сбросы, это - озера, реки, водохранилища, моря. Эти разновидности водных объектов отличаются друг от друга многими характеристиками, что соответственно приводит и к существенным различиям в нормировании сбросов в них.




Поделиться с друзьями:


Дата добавления: 2014-12-08; Просмотров: 908; Нарушение авторских прав?; Мы поможем в написании вашей работы!


Нам важно ваше мнение! Был ли полезен опубликованный материал? Да | Нет



studopedia.su - Студопедия (2013 - 2026) год. Все материалы представленные на сайте исключительно с целью ознакомления читателями и не преследуют коммерческих целей или нарушение авторских прав! Последнее добавление




Генерация страницы за: 0.013 сек.