Студопедия

КАТЕГОРИИ:


Архитектура-(3434)Астрономия-(809)Биология-(7483)Биотехнологии-(1457)Военное дело-(14632)Высокие технологии-(1363)География-(913)Геология-(1438)Государство-(451)Демография-(1065)Дом-(47672)Журналистика и СМИ-(912)Изобретательство-(14524)Иностранные языки-(4268)Информатика-(17799)Искусство-(1338)История-(13644)Компьютеры-(11121)Косметика-(55)Кулинария-(373)Культура-(8427)Лингвистика-(374)Литература-(1642)Маркетинг-(23702)Математика-(16968)Машиностроение-(1700)Медицина-(12668)Менеджмент-(24684)Механика-(15423)Науковедение-(506)Образование-(11852)Охрана труда-(3308)Педагогика-(5571)Полиграфия-(1312)Политика-(7869)Право-(5454)Приборостроение-(1369)Программирование-(2801)Производство-(97182)Промышленность-(8706)Психология-(18388)Религия-(3217)Связь-(10668)Сельское хозяйство-(299)Социология-(6455)Спорт-(42831)Строительство-(4793)Торговля-(5050)Транспорт-(2929)Туризм-(1568)Физика-(3942)Философия-(17015)Финансы-(26596)Химия-(22929)Экология-(12095)Экономика-(9961)Электроника-(8441)Электротехника-(4623)Энергетика-(12629)Юриспруденция-(1492)Ядерная техника-(1748)

Енергія магнітного поля




Енергія магнітного поля.

Провідник, по якому протікає електричний струм, завжди оточений магнітним полем, причому магнітне поле появляється і зникає разом з появою і зникненням струму. Отже, частина енергії струму йде на створення магнітного поля.

Енергія магнітного поля дорівнює роботі, яка затрачається струмом на створення цього поля.

Обчислимо енергію магнітного поля струму у випадку ізотропного середовища, в якому зв’язок індукції з напруженістю поля в ньому лінійний. Для цього розглянемо соленоїд з N витків, який має індуктивність L. Якщо за час dt струм у соленоїді зростає на величину dІ, то при цьому змінюється і його власний магнітний потік відповідно на величину . Якщо в момент часу t сила струму в соленоїді була І, то при зміні магнітного потоку на величину , джерелом струму виконується додаткова робота dA:

.

Оскільки соленоїд залишається нерухомим, то ця елементарна робота dA пов’язана із зміною енергії соленоїда, яка зумовлена наявністю в ньому магнітного поля, на величину :

і .

Оскільки , то .

Інтегруючи цей вираз, знаходимо

; .

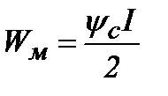
Це та енергія, яку було затрачено джерелом струму на утворення в соленоїді магнітного поля. За законом збереження енергії ця енергія дорівнює енергії магнітного поля , яке пов’язане зі струмом , що проходить по провіднику з індуктив­ністю .

Оскільки , то вираз для
енергії магнітного поля контуру зі струмом можна записати в такому вигляді:

.

Дослідження властивостей змінних магнітних полів було доказом того, що енергія магнітного поля локалізована у просторі.

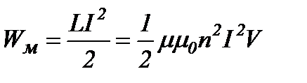
Енергію магнітного поля струму можна визначити через характеристики цього поля - значення його напруженості H та індукції В. Для цього розглянемо
частковий випадок – однорідне магнітне поле всередині довгого соленоїда, індуктивність якого . Тоді

.

Магнітна індукція поля в середині довгого соленоїда . Звідси

.

Тоді

.

Оскільки , то

.

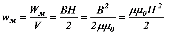
Магнітне поле соленоїда однорідне і зосереджене всередині соленоїда, а енергія поля розподілена в ньому з об’ємною густиною , яка дорівнює

.

У випадку неоднорідного магнітного поля його енергію в деякому об’ємі V можна визначити так. Поділимо об’єм V на нескінченно малі елементи dV так, щоб поле в кожному з них можна було вважати однорідним. Тоді енергія елемента об'єму з локальною густиною в ньому дорівнює: .

Інтегруючи цей вираз по всьому об’єму поля V, отримаємо формулу для обчислення енергії неоднорідного поля:

.




Поделиться с друзьями:


Дата добавления: 2014-11-29; Просмотров: 8919; Нарушение авторских прав?; Мы поможем в написании вашей работы!


Нам важно ваше мнение! Был ли полезен опубликованный материал? Да | Нет



studopedia.su - Студопедия (2013 - 2025) год. Все материалы представленные на сайте исключительно с целью ознакомления читателями и не преследуют коммерческих целей или нарушение авторских прав! Последнее добавление




Генерация страницы за: 0.011 сек.