Студопедия

КАТЕГОРИИ:


Архитектура-(3434)Астрономия-(809)Биология-(7483)Биотехнологии-(1457)Военное дело-(14632)Высокие технологии-(1363)География-(913)Геология-(1438)Государство-(451)Демография-(1065)Дом-(47672)Журналистика и СМИ-(912)Изобретательство-(14524)Иностранные языки-(4268)Информатика-(17799)Искусство-(1338)История-(13644)Компьютеры-(11121)Косметика-(55)Кулинария-(373)Культура-(8427)Лингвистика-(374)Литература-(1642)Маркетинг-(23702)Математика-(16968)Машиностроение-(1700)Медицина-(12668)Менеджмент-(24684)Механика-(15423)Науковедение-(506)Образование-(11852)Охрана труда-(3308)Педагогика-(5571)Полиграфия-(1312)Политика-(7869)Право-(5454)Приборостроение-(1369)Программирование-(2801)Производство-(97182)Промышленность-(8706)Психология-(18388)Религия-(3217)Связь-(10668)Сельское хозяйство-(299)Социология-(6455)Спорт-(42831)Строительство-(4793)Торговля-(5050)Транспорт-(2929)Туризм-(1568)Физика-(3942)Философия-(17015)Финансы-(26596)Химия-(22929)Экология-(12095)Экономика-(9961)Электроника-(8441)Электротехника-(4623)Энергетика-(12629)Юриспруденция-(1492)Ядерная техника-(1748)

Энергия связи ядер. Дефект массы




Ядерные силы.

Силы, удерживающие нуклоны в ядре, являются проявлением одного из самых интенсивных, известных в физике взаимодействий – сильного (ядерного). Эти силы по интенсивности превосходят электромагнитные в 100 раз. Ядерные силы характеризуются следующими свойствами:

1) Ядерные взаимодействия самые сильные в природе. Например, энергия связи дейтрона ~2,23 МэВ, а энергия связи атома водорода ~13,6 эВ.

2) Радиус действия ядерных сил конечен ~10-15 м.

3) Ядерные силы не имеют центральной симметрии. Эта особенность ядерных сил проявляется в их зависимости от взаимной ориентации спинов нуклонов. Взаимодействие между нуклонами имеет обменный характер. В опытах по рассеянию нейтронов на протонах регистрируются случаи “отрыва” от протонов их электрических зарядов и присоединения зарядов к нейтронам, в результате нейтрон превращается в протон.

4) Ядерные силы обладают изотопической инвариантностью, которая проявляется в одинаковости сил взаимодействия нуклонов в системах n - n, n - p, p - p при одном и том же состоянии относительного движения частиц в этих парах.

5) На расстояниях ~10-15 м ядерные силы являются силами притяжения. На много меньших расстояниях они становятся силами отталкивания, что было обнаружено в опытах по рассеянию протонов на протонах при высоких энергиях выше 400 МэВ.

6) Ядерные силы обладают свойством насыщения, которое проявляется в независимости удельной энергии связи атомных ядер от их массового числа А.

7) Ядерные силы зависят от скорости относительного движения нуклонов. Например, при столкновениях нуклонов при увеличении энергии от 500 МэВ до 1 ГэВ сечение рассеяния нейтрона на протоне уменьшается на порядок.

Таким образом, характер ядерных сил свидетельствует о сложной структуре нуклонов.

Энергия связи ядра – энергия, которую необходимо затратить, чтобы разделить ядро на составные части (нуклоны). Она равна разности суммарной массы входящих в него нуклонов и массы ядра, умноженной на скорость света в квадрате (с 2), т.е.

. (20-1)

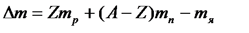
где – массы протона, нейтрона и ядра.

Масса ядра не равна сумме масс, образующих ядро нуклонов. Разницу между ними называют дефектом масс

. (20-2)

Дефект масс обусловлен сильным взаимодействием нуклонов в ядре, при образовании ядра из свободных нуклонов энергия выделяется и возникает дефект масс.

Взаимодействие нуклонов в ядре характеризуется удельной энергией связи (энергией связи, приходящейся на один нуклон)

,

где А – массовое число. Удельная энергия связи ядер = 6-8 МэВ. Это связано с насыщением ядерных сил.

Ядра называют магическими, если у них число протонов или нейтронов равно одному из чисел 2, 8, 20, 28, 50, 82, 126. Последнее число допустимо только для нейтрона. Происхождение и величина магических чисел находит объяснение в оболочечной модели ядра.

Если у ядра одновременно магическими являются как число протонов, так и нейтронов, то такое ядро называют дважды магическим, например, такими являются ядра , , , . Эти ядра отличаются повышенной устойчивостью (большей удельной энергией связи) и широкой распространенностью в природе.

Атомы с одинаковым А, но различным Z (число протонов) называют изобарами. Атомы с одинаковыми Z, но различными N (число нейтронов) называют изотопами. Атомы с одинаковыми N, но различными Z называют изотонами.

Для легких ядер энергетически выгоден процесс слияния их с выделением ядерной энергии синтеза. Напротив, для тяжелых ядер энергетически выгоден процесс деления, сопровождающийся также выделением ядерной энергии. На этих процессах основана вся ядерная энергетика.

 




Поделиться с друзьями:


Дата добавления: 2014-12-08; Просмотров: 863; Нарушение авторских прав?; Мы поможем в написании вашей работы!


Нам важно ваше мнение! Был ли полезен опубликованный материал? Да | Нет



studopedia.su - Студопедия (2013 - 2026) год. Все материалы представленные на сайте исключительно с целью ознакомления читателями и не преследуют коммерческих целей или нарушение авторских прав! Последнее добавление




Генерация страницы за: 0.012 сек.