Студопедия

КАТЕГОРИИ:


Архитектура-(3434)Астрономия-(809)Биология-(7483)Биотехнологии-(1457)Военное дело-(14632)Высокие технологии-(1363)География-(913)Геология-(1438)Государство-(451)Демография-(1065)Дом-(47672)Журналистика и СМИ-(912)Изобретательство-(14524)Иностранные языки-(4268)Информатика-(17799)Искусство-(1338)История-(13644)Компьютеры-(11121)Косметика-(55)Кулинария-(373)Культура-(8427)Лингвистика-(374)Литература-(1642)Маркетинг-(23702)Математика-(16968)Машиностроение-(1700)Медицина-(12668)Менеджмент-(24684)Механика-(15423)Науковедение-(506)Образование-(11852)Охрана труда-(3308)Педагогика-(5571)Полиграфия-(1312)Политика-(7869)Право-(5454)Приборостроение-(1369)Программирование-(2801)Производство-(97182)Промышленность-(8706)Психология-(18388)Религия-(3217)Связь-(10668)Сельское хозяйство-(299)Социология-(6455)Спорт-(42831)Строительство-(4793)Торговля-(5050)Транспорт-(2929)Туризм-(1568)Физика-(3942)Философия-(17015)Финансы-(26596)Химия-(22929)Экология-(12095)Экономика-(9961)Электроника-(8441)Электротехника-(4623)Энергетика-(12629)Юриспруденция-(1492)Ядерная техника-(1748)

Эластичность спроса и предложения. Эластичность – чувствительность потребителя к изменению цены или дохода и чувствительность производителя к изменению цены




Эластичность – чувствительность потребителя к изменению цены или дохода и чувствительность производителя к изменению цены.

Эластичность спроса по цене. Коэффициент прямой эластичности спроса по цене характеризует отношение относительного изменения объема спроса к относительному изменению цены и показывает, на сколько процентов изменяется объем спроса на товар при изменении его цены на 1%.

 

(3.3)

 

Выделяют дуговую и точечную эластичность. Пусть дана какая-либо функция спроса: Q=f(P). Предположим, что этой функции спроса соответствует кривая, на которой произвольно взяты точки Е1 и E2. Причем точка Е1 характеризуется ценой P1 и объемом спроса Q1, а точка E2 – ценой Р2 и объемом спроса Q2. Очевидно, что при переходе от точки Е1 к точке E2 цена снижается с уровня P1 до уровня P2, а объем спроса возрастает от Q1 до Q2.

 

 

Рисунок 3.11 Определение дуговой эластичности

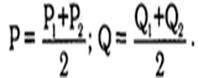
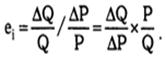
При расчете эластичности по вышеприведенной формуле неизбежно возникает следующий вопрос: если значения ΔQ и ΔР могут быть однозначно найдены и графически, и аналитически, поскольку определяются как ΔQ=Q2‑Q1; ΔР=Р2‑Р1, то какие значения Р и Q следует принять в качестве весов: базисные (Р1 и Q1) или новые (Р2 и Q2). Очевидно, что применение различных значений Р и Q приведет к разным результатам. Вследствие этого величины Р и Q для расчета коэффициента эластичности определяются чаще всего по правилу средних точек, то есть используются средние для данного интервала значения цены и спроса, а именно:

 

(3.4)

Формула 5.4 принимает в этом случае вид:

(3.5)

Таким образом, дуговая эластичность определяется как средняя эластичность.

Здесь следует иметь в виду, что любая функция спроса, проходящая через данные точки, будет характеризоваться одним и тем же коэффициентом эластичности, хотя форма самой дуги (ее кривизна) может быть различной. Иначе говоря, при расчете учитываются только крайние значения спроса и цены, и не принимается во внимание реальный характер функции спроса между ними.

Эта формула используется, когда процентные изменения цены и количества достаточно велики, чтобы привести к существенному продвижению вдоль кривой спроса.

В том случае, когда функция спроса носит непрерывный характер, дуговая эластичность заменяется точечной, понимаемой как предел дуговой эластичности по мере того, как длина дуги стремится к нулю, то есть при бесконечно малом изменении цены.

В этом случае:

 

(3.6)

 

Одновременно следует учитывать, что действие закона спроса приводит к тому, что значение коэффициента прямой эластичности – величина отрицательная. Вследствие этого, перед формулой, по которой он рассчитывается, обычно ставится знак минус (-), с тем, чтобы получить положительную величину. Однако такой подход не соответствует общему определению эластичности функции, поэтому обычно знак минус перед числовым значением коэффициента эластичности игнорируется, и он определяется по модулю. В случае, когда закон спроса не выполняется (товар Гиффена), коэффициент эластичности спроса по цене положителен.

Величина коэффициента эластичности может заметно различаться в зависимости от функции спроса: он может изменяться от 0 до ∞.

Рассмотрим соответствующий график. Линия DD характеризует функцию спроса с эластичностью Е=∞ (с неограниченной эластичностью), при которой любое малое изменение цены вызывает значительное изменение спроса, а линия D'D' – функцию спроса с нулевой эластичностью, при которой объем спроса не реагирует на изменение цены.

 

Рисунок 3.12 Функция спроса с неограниченной




Поделиться с друзьями:


Дата добавления: 2014-12-10; Просмотров: 405; Нарушение авторских прав?; Мы поможем в написании вашей работы!


Нам важно ваше мнение! Был ли полезен опубликованный материал? Да | Нет



studopedia.su - Студопедия (2013 - 2025) год. Все материалы представленные на сайте исключительно с целью ознакомления читателями и не преследуют коммерческих целей или нарушение авторских прав! Последнее добавление




Генерация страницы за: 0.007 сек.