Студопедия

КАТЕГОРИИ:


Архитектура-(3434)Астрономия-(809)Биология-(7483)Биотехнологии-(1457)Военное дело-(14632)Высокие технологии-(1363)География-(913)Геология-(1438)Государство-(451)Демография-(1065)Дом-(47672)Журналистика и СМИ-(912)Изобретательство-(14524)Иностранные языки-(4268)Информатика-(17799)Искусство-(1338)История-(13644)Компьютеры-(11121)Косметика-(55)Кулинария-(373)Культура-(8427)Лингвистика-(374)Литература-(1642)Маркетинг-(23702)Математика-(16968)Машиностроение-(1700)Медицина-(12668)Менеджмент-(24684)Механика-(15423)Науковедение-(506)Образование-(11852)Охрана труда-(3308)Педагогика-(5571)Полиграфия-(1312)Политика-(7869)Право-(5454)Приборостроение-(1369)Программирование-(2801)Производство-(97182)Промышленность-(8706)Психология-(18388)Религия-(3217)Связь-(10668)Сельское хозяйство-(299)Социология-(6455)Спорт-(42831)Строительство-(4793)Торговля-(5050)Транспорт-(2929)Туризм-(1568)Физика-(3942)Философия-(17015)Финансы-(26596)Химия-(22929)Экология-(12095)Экономика-(9961)Электроника-(8441)Электротехника-(4623)Энергетика-(12629)Юриспруденция-(1492)Ядерная техника-(1748)

Розрахунок операційного Cash-Flow, тис. грн




Наявність та структура внутрішніх джерел фінансування підприємства

Аналіз виконання плану ремонту основних засобів

Нарахування амортизації за податковим методом, тис. грн

Група основних засобів Квартал Амортизаційні відрахування за квартал Накопичена амортизація (знос) на кінець кварталу Залишкова вартість на кінець звітного кварталу
         
       
  Разом по 1 групі      
       
  Разом      
  ….      
  Разом      
  ….      
  Разом      

2.5 Фінансування ремонту основних засобів

Таблиця 2.11

Показники План, тис. грн Фактично, тис. грн Відхилення від плану (±), тис. грн Виконання плану, %
1. Витрати на ремонт (всього на підприємстві)        
1.1. Витрати на ремонт основних промислово-виробни­чих засобів        
1.1.1 Витрати на ремонт машин і обладнання        

 

19. Оцінка та облік інвестицій (до теми № 26)

2.2. Внутрішні джерела фінансування підприємства (табл. 2.1).

Таблиця 2.1

Показники 20.. р. 20.. р.
тис. грн % тис. грн %
Чистий прибуток        
Амортизаційні відрахування        
Забезпечення наступних витрат і платежів        
Всього джерел   100.0   100,0

Основою розрахунку загального Cash-flow є операційний Cash-flow, який характеризує величину чистих грошових потоків, що утворюються в результаті операційної діяльності, тобто частину виручки від реалізації, яка залишається в розпорядженні підприємства в певному періоді після здійснення всіх грошових видатків операційного характеру. Цей показник можна розглядати як критерій оцінки внутрішнього потенціалу фінансування підприємства. Схема розрахунку операційного Cash-flow з умовними сумами прямим і непрямим методами наведена в табл. 2.2. Базову інформацію для розрахунків взято із форм №1, 2 та 3.

Таблиця 2.2

ПРЯМИЙ МЕТОД Сума
(+) Грошові надходження від реалізації продукції (товарів, робіт, послуг)  
(–) Грошові виплати постачальникам за сировину, матеріали, послуги тощо  
(–) Грошові видатки на утримання персоналу  
(+) Інші грошові надходження, які не належать до інвестиційної та фінансової діяльності
(–) Інші грошові видатки для покриття операційних витрат, які не стосуються інвестиційної та фінансової діяльності  
(–) Сплата процентів за користування позичками  
(–) Сплата податків на прибуток  
= Cash-flow (операційний)  
НЕПРЯМИЙ МЕТОД Сума
(+) Чистий прибуток від операційної діяльності  
(+) Витрати, не пов’язані з грошовими виплатами  
(–) Доходи, не пов’язані з грошовими надходженнями
(–) Приріст; (+) Зменшення оборотних активів (крім грошових коштів, їх еквівалентів, поточних фінансових інвестицій, інших статей неопераційних оборотних активів) –70
(–) Зменшення; (+) Збільшення поточних зобов’язань, у т. ч. відсотки (крім короткострокових кредитів банків та інших статей, не пов’язаних з операційною діяльністю) +5
= Cash-flow (операційний)  
(–) Інвестиції в необоротні активи  
(+) Дезінвестиції  
(±) Доходи (збитки) від інвестиційної діяльності +30
= Free Cash-flow (перед фінансуванням) –104

Якщо операційний Cash-flow скоригувати на позитивний (негативний) Cash-flow від інвестиційної діяльності, то ми отримаємо так званий Free (незалежний) Cash-flow, що характеризує здатність підприємства забезпечити операційну діяльність та планові інвестиції за рахунок внутрішніх фінансових джерел (незалежно від зовнішнього фінансування). Від’ємне значення Free Cash-flow, як це має місце в нашому прикладі (див. табл. 2.2), показує, що для здійснення запланованих видатків підприємство має потребу у зовнішньому фінансуванні в обсязі 104 тис. грн, яка утворилася в результаті дефіциту внутрішніх джерел фінансування. Позитивне значення Free Cash-Flow свідчить про наявність надлишку коштів, які можуть бути використані для таких цілей: виплата дивідендів, погашення банківських позичок, викуп власних корпоративних прав.

 

2.4. Планування та методи оцінки інвестицій

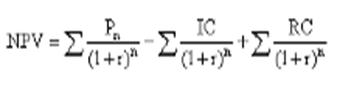
Метод розрахунку чистого наведеного ефекту:

(2.1)

де: NPV — чистий наведений ефект;

Рп— грошовий потік упродовж п років;

r — ставка дисконтування;

1C — сума початкових інвестицій.

Таким чином, чистий наведений ефект дорівнює - різниці між дисконтованою вартістю та сумою інвестиції. Також очевидно, що якщо: NPV >0, інвестиції дадуть прибуток; NPV<0, інвестиції будуть збитковими; NPV=0, інвестиції не дадуть ні прибутку, ні збитку.

(2.2)

Метод розрахунку індексу рентабельності інвестицій:

(2.3)

З цієї формули випливає, якщо:

РІ >1, інвестиції рентабельні;

РІ < 1, інвестиції збиткові;

РІ =1, інвестиції не збиткові й не рентабельні.

Таким чином, інвестиції виправдані лише тоді, коли їхня рентабельність вища за 1. Тобто РІ > 1.




Поделиться с друзьями:


Дата добавления: 2014-11-29; Просмотров: 1033; Нарушение авторских прав?; Мы поможем в написании вашей работы!


Нам важно ваше мнение! Был ли полезен опубликованный материал? Да | Нет



studopedia.su - Студопедия (2013 - 2026) год. Все материалы представленные на сайте исключительно с целью ознакомления читателями и не преследуют коммерческих целей или нарушение авторских прав! Последнее добавление




Генерация страницы за: 0.008 сек.