Студопедия

КАТЕГОРИИ:


Архитектура-(3434)Астрономия-(809)Биология-(7483)Биотехнологии-(1457)Военное дело-(14632)Высокие технологии-(1363)География-(913)Геология-(1438)Государство-(451)Демография-(1065)Дом-(47672)Журналистика и СМИ-(912)Изобретательство-(14524)Иностранные языки-(4268)Информатика-(17799)Искусство-(1338)История-(13644)Компьютеры-(11121)Косметика-(55)Кулинария-(373)Культура-(8427)Лингвистика-(374)Литература-(1642)Маркетинг-(23702)Математика-(16968)Машиностроение-(1700)Медицина-(12668)Менеджмент-(24684)Механика-(15423)Науковедение-(506)Образование-(11852)Охрана труда-(3308)Педагогика-(5571)Полиграфия-(1312)Политика-(7869)Право-(5454)Приборостроение-(1369)Программирование-(2801)Производство-(97182)Промышленность-(8706)Психология-(18388)Религия-(3217)Связь-(10668)Сельское хозяйство-(299)Социология-(6455)Спорт-(42831)Строительство-(4793)Торговля-(5050)Транспорт-(2929)Туризм-(1568)Физика-(3942)Философия-(17015)Финансы-(26596)Химия-(22929)Экология-(12095)Экономика-(9961)Электроника-(8441)Электротехника-(4623)Энергетика-(12629)Юриспруденция-(1492)Ядерная техника-(1748)

Условия самовозбуждения




1. Наличие остаточного магнитного потока между полюсами. При вращении якоря остаточный магнитный поток индуцирует в якорной обмотке небольшую остаточную ЭДС.

2. Согласное включение обмотки возбуждения. Обмотки возбуждения и якоря должны быть соединены таким образом, чтобы ЭДС якоря создавала ток, усиливающий остаточный магнитный поток. Усиление магнитного потока приведет к увеличению ЭДС. Машина самовозбуждается и начинает устойчиво работать с каким-то током возбуждения Iв = const и ЭДС Е = const, зависящими от сопротивления Rв в цепи возбуждения.

3. Сопротивление цепи возбуждения при данной частоте вращения должно быть меньше критического.

На рис. 11.11 приведена характеристика холостого хода генератора
E = f (I в) (кривая 1) и вольт - амперная характеристика сопротивления цепи возбуждения U в = R в· I в, где U в - падение напряжения в цепи возбуждения. Эта характеристика представляет собой прямую линию 2, наклоненную к оси абсцисс под углом γ (tg γ ~ Rв).

Ток обмотки возбуждения увеличивает магнитный поток полюсов при согласном включении обмотки возбуждения. ЭДС, индуцированная в якоре, возрастает, что приводит к дальнейшему увеличению тока обмотки возбуждения, магнитного потока и ЭДС. Рост ЭДС от тока возбуждения замедляется при насыщении магнитной цепи машины.

Падение напряжения в цепи возбуждения пропорционально росту тока. В точке пересечения характеристики холостого хода машины 1 с прямой 2 процесс самовозбуждения заканчивается. Машина работает в устойчивом режиме.

Если увеличим сопротивление цепи обмотки возбуждения, угол наклона прямой 2 к оси тока возрастает. Точка пересечения прямой с характеристикой холостого хода смещается к началу координат. При некотором значении сопротивления цепи возбуждения R кр, когда γ = γкр, самовозбуждение становится невозможным. При критическом сопротивлении вольт - амперная характеристика цепи возбуждения становится касательной к прямолинейной части характеристики холостого хода, а в якоре появляется небольшая ЭДС.

8.2.6. Работа электрической машины постоянного тока
в режиме двигателя. Основные уравнения

Под действием напряжения, подведенного к якорю двигателя, в обмотке якоря появится ток Iя. При взаимодействии тока с магнитным полем индуктора возникает электромагнитный вращающий момент

где CM - коэффициент, зависящий от конструкции двигателя.

На рис. 11.12 изображен схематично двигатель постоянного тока, выделен проводник якорной обмотки. Ток в проводнике направлен от нас. Направление электромагнитного вращающего момента определится по правилу левой руки. Якорь вращается против часовой стрелки. В проводниках якорной обмотки индуцируется ЭДС, направление которой определяется правилом правой руки. Эта ЭДС направлена встречно току якоря, ее называют противо-ЭДС.

В установившемся режиме электромагнитный вращающий момент Мэм уравновешивается противодействующим тормозным моментом М2 механизма, приводимого во вращение

На рис. 11.13 показана схема замещения якорной обмотки двигателя. ЭДС направлена встречно току якоря. В соответствии со вторым законом Кирхгофа , откуда основное уравнение двигателя

. (11.3)

Из уравнения (11.3) можно получить формулы:

(11.4)

(11.5)

Магнитный поток Ф зависит от тока возбуждения I в, создаваемого в обмотке возбуждения. Из формулы (11.5) видно, что частоту вращения двигателя постоянного тока n2 можно регулировать следующими способами:

· изменением тока возбуждения с помощью реостата в цепи обмотки возбуждения;

· изменением напряжения U на зажимах якорной обмотки.

Чтобы изменить направление вращения двигателя на обратное (реверсировать двигатель), необходимо изменить направление тока в обмотке якоря или индуктора.

8.2.7. Механические характеристики электродвигателей
постоянного тока

Рассмотрим двигатель с параллельным возбуждением в установившемся режиме работы (рис. 11.14). Обмотка возбуждения подключена параллельно якорной обмотке.

, откуда

(11.6)

Механической характеристикой двигателя называется зависимость частоты вращения якоря n2 от момента на валу M2 при U = const и Iв = const.

Уравнение (11.6) является уравнением механической характеристики двигателя с параллельным возбуждением.

Эта характеристика является жесткой. С увеличением нагрузки частота вращения
такого двигателя уменьшается в небольшой степени (рис. 11.15).

На рисунке 11.16 изображен двигатель последовательного возбуждения. Якорная обмотка и обмотка возбуждения включены последовательно.

Рис. 11.15 Рис. 11.16

Ток возбуждения двигателя одновременно является током якоря. Магнитный поток индуктора пропорционален току якоря.

где k - коэффициент пропорциональности.

Момент на валу двигателя пропорционален квадрату тока якоря.

откуда

Механическая характеристика двигателя последовательного возбуждения является мягкой (рис. 11.17).

Рис. 11.17 Уравнение механической характеристики двигателя последовательного возбуждения выглядит следующим образом:

С увеличением нагрузки скорость двигателя резко падает.

С уменьшением нагрузки на валу двигатель развивает очень большую частоту вращения. Говорят, что двигатель идет вразнос. Работа двигателя последовательного возбуждения без нагрузки недопустима.

Двигатель смешанного возбуждения имеет механическую характеристику, представляющую собой нечто среднее между механическими характеристиками двигателя параллельного и последовательного возбуждения.

Двигатели с параллельным возбуждением применяются для привода станков и различных механизмов, требующих широкой регулировки скорости.

Двигатели с последовательным возбуждением применяются в качестве тяговых двигателей электровозов, трамваев и т.д.

 

8.3. Электрические машины переменного тока

Для создания кругового вращающегося поля необходимо выполнение двух условий:

· Иметь хотя бы две пространственно смещенные катушки, оси которых должны быть сдвинуты в пространстве друг относительно друга на определенный угол. Для двухфазной системы этот угол равен 900, для трехфазной – 1200).

· Токи, питающие катушки, должны быть сдвинуты по фазе соответственно пространственному смещению катушек.

8.3.1. Асинхронные двигатели.
Конструкция, принцип действия

Асинхронный двигатель имеет неподвижную часть, именуемую статором, и вращающуюся часть, называемую ротором. В статоре размещена обмотка, создающая вращающееся магнитное поле.

Различают асинхронные двигатели с короткозамкнутым и фазным ротором.

В пазах ротора с короткозамкнутой обмоткой размещены алюминиевые или медные стержни. По торцам стержни замкнуты алюминиевыми или медными кольцами. Статор и ротор набирают из листов электротехнической стали, чтобы уменьшить потери на вихревые токи.

Фазный ротор имеет трехфазную обмотку (для трехфазного двигателя). Концы фаз соединены в общий узел, а начала выведены к трем контактным кольцам, размещенным на валу. На кольца накладывают неподвижные контактные щетки. К щеткам подключают пусковой реостат. После пуска двигателя сопротивление пускового реостата плавно уменьшают до нуля.

Принцип действия асинхронного двигателя рассмотрим на модели, представленной на рисунке 12.4.

Пользуясь правилом левой руки, найдем направление электромагнитных сил, действующих на ротор и заставляющих его вращаться. Ротор двигателя будет вращаться с частотой вращения n2 в направлении вращения поля статора. Ротор вращается асинхронно т.е частота вращения его n2 меньше частоты вращения поля статора n1.

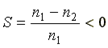
Относительная разность скоростей поля статора и ротора называется скольжением.

. (12.2)

Рис. 12.4 Вращающееся магнитное поле статора представим в виде постоянного магнита, вращающегося с синхронной частотой вращения n1. В проводниках замкнутой обмотки ротора индуктируются токи. Полюса магнита перемещаются по часовой стрелке. Наблюдателю, разместившемуся на вращающемся магните, кажется, что магнит неподвижен, а проводники роторной обмотки перемещаются против часовой стрелки. Направления роторных токов, определенные по правилу правой руки, указаны на рис. 12.4.

Скольжение не может быть равным нулю, так как при одинаковых скоростях поля и ротора прекратилось бы наведение токов в роторе и, следовательно, отсутствовал бы электромагнитный вращающий момент.

Вращающий электромагнитный момент уравновешивается противодействующим тормозным моментом Мэм = М2. С увеличением нагрузки на валу двигателя тормозной момент становится больше вращающего, и скольжение увеличивается. Вследствие этого, возрастают индуктированные в роторной обмотке ЭДС и токи. Вращающий момент увеличивается и становится равным тормозному моменту. Вращающий момент может возрастать с увеличением скольжения до определенного максимального значения, после чего при дальнейшем увеличении тормозного момента вращающий момент резко уменьшается, и двигатель останавливается.

Скольжение заторможенного двигателя равно единице. Говорят, что двигатель работает в режиме короткого замыкания. Частота вращения ненагруженного асинхронного двигателя n2 приблизительно равна синхронной частоте n1. Скольжение ненагруженного двигателя S &asimp; 0. Говорят, что двигатель работает в режиме холостого хода.

Скольжение асинхронной машины, работающей в режиме двигателя, изменяется от нуля до единицы.

Асинхронная машина может работать в режиме генератора. Для этого ее ротор необходимо вращать сторонним двигателем в направлении вращения магнитного поля статора с частотой n2 > n1. Скольжение асинхронного генератора .

Асинхронная машина может работать в режиме электромашинного тормоза. Для этого необходимо ее ротор вращать в направлении, противоположном направлению вращения магнитного поля статора.

В этом режиме S > 1. Как правило, асинхронные машины используются в режиме двигателя. Асинхронный двигатель является наиболее распространенным в промышленности типом двигателя. Частота вращения поля в асинхронном двигателе жестко связана с частотой сети f1 и числом пар полюсов статора. При частоте f1 = 50 Гц существует следующий ряд частот вращения.

P        
n1, об/мин 3 000      

Синхронная частота вращения многополюсного магнитного поля с числом пар полюсов Р

где f 1 - частота переменного напряжения.

Из этой формулы получим

(12.3)

Скорость поля статора относительно ротора называется скоростью скольжения

.

Частота тока и ЭДС в роторной обмотке

,

. (12.4)

Асинхронная машина с заторможенным ротором работает как трансформатор. Основной магнитный поток индуктирует в статорной и в неподвижной роторной обмотках ЭДС Е1 и Е2к.

; ,

где Ф m - максимальное значение основного магнитного потока, сцепленного со статорной и роторной обмотками; W 1 и W 2 - числа витков статорной и роторной обмоток; f 1 - частота напряжения в сети; K 01 и K 02 - обмоточные коэффициенты статорной и роторной обмоток.

Чтобы получить более благоприятное распределение магнитной индукции в воздушном зазоре между статором и ротором, статорные и роторные обмотки не сосредоточивают в пределах одного полюса, а распределяют по окружностям статора и ротора. ЭДС распределенной обмотки меньше ЭДС сосредоточенной обмотки. Этот факт учитывается введением в формулы, определяющие величины электродвижущих сил обмоток, обмоточных коэффициентов. Величины обмоточных коэффициентов несколько меньше единицы.

ЭДС в обмотке вращающегося ротора

(12.5)

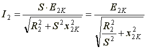
Ток ротора работающей машины

где R 2 - активное сопротивление роторной обмотки; х 2 - индуктивное сопротивление роторной обмотки.

где х - индуктивное сопротивление заторможенного ротора.

(12.6)

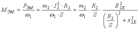
8.3.2. Вращающий момент асинхронного двигателя

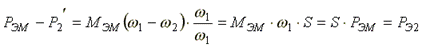
На ротор и полюсы статора действуют электромагнитные вращающие моменты, одинаковые по величине и направленные в противоположные стороны. Мощность, необходимая для вращения статорных полюсов с синхронной частотой,

,

где - угловая скорость.

Механическая мощность, развиваемая ротором,

где - угловая скорость ротора.

Разность мощностей

где Р Э2 - электрические потери в роторной обмотке; m 2 - число фаз обмотки ротора; R 2 - активное сопротивление обмотки ротора; I 2 - ток ротора.

откуда

(12.7).

Вращающий момент, с учетом (12.6),

.

где , КТ - коэффициент трансформации двигателя с заторможенным ротором.

,

где U 1 - напряжение сети.

(12.8).

где - константа.

На рис. 12.5 изображена зависимость электромагнитного момента от скольжения в виде сплошной линии.


Рис. 12.5

Пусть исполнительный механизм, приводимый во вращение данным двигателем, создает противодействующий тормозной момент М2. На рис.12.5 имеются две точки, для которых справедливо равенство Мэм = М2; это точки а и в. В точке а двигатель работает устойчиво. Если двигатель под влиянием какой-либо причины уменьшит частоту вращения, то скольжение его возрастет, вместе с ним возрастет вращающий момент. Благодаря этому частота вращения двигателя повысится, и вновь восстановится равновесие Мэм = М2.

В точке в работа двигателя не может быть устойчива: случайное отклонение частоты вращения приведет либо к остановке двигателя, либо к переходу его в точку а.

Следовательно, вся восходящая ветвь характеристики является областью устойчивой работы двигателя, а вся нисходящая часть - областью неустойчивой работы. Точка б, соответствующая максимальному моменту, разделяет области устойчивой и неустойчивой работы.

Максимальному значению вращающего момента соответствует критическое скольжение Sk. Скольжению S = 1 соответствует пусковой момент. Если величина противодействующего тормозного момента М2 больше пускового МП, двигатель при включении не запустится, останется неподвижным.

Максимальный момент найдем следующим образом. Сначала определим значение критического скольжения, при котором функция Мэм будет максимальной. Для этого первую производную функции по скольжению S от выражения (12.8) приравняем нулю.

откуда

. (12.9)

Подставив значение критического скольжения в формулу (12.8), получим

. (12.10)

Из формул (12.8), (12.9), (12.10) видно:

· величина максимального вращающего момента не зависит от активного сопротивления цепи ротора;

· с увеличением активного сопротивления цепи ротора максимальный вращающий момент, не изменяясь по величине, смещается в область больших скольжений (см. кривая 1 рис. 12,5);

· вращающий момент пропорционален квадрату напряжения сети.

Механической характеристикой асинхронного двигателя называется зависимость частоты вращения двигателя от момента на валу n2 = f (M2). Механическую характеристику получают при условии U 1 - const, f 1 - const. Механическая характеристика двигателя является зависимостью вращающего момента от скольжения, построенной в другом масштабе. На рис. 12.6 изображена типичная механическая характеристика асинхронного двигателя.

Рис. 12.6 С увеличением нагрузки величина момента на валу возрастает до некоторого максимального значения, а частота вращения уменьшается. Как правило, у асинхронного двигателя пусковой момент меньше максимального. Это объясняется тем, что в пусковом режиме, когда n2 = 0, а S = 1 асинхронный двигатель находится в режиме, аналогичном короткому замыканию в трансформаторе. Магнитное поле ротора направлено встречно магнитному полю статора.

Результирующий, или основной, магнитный поток в воздушном зазоре машины в пусковом режиме, а также ЭДС в статоре и роторе Е1 и Е2 значительно уменьшаются. Это приводит к уменьшению пускового момента двигателя и к резкому возрастанию пускового тока.

8.3.3. Регулирование частоты вращения асинхронных двигателей.
Реверсирование асинхронного двигателя

Относительная разность скоростей поля статора и ротора - скольжение

Отсюда получим

. (12.11)

Из формулы (12.11) видно, что частоту вращения асинхронного двигателя можно менять тремя способами:

· изменением частоты питающего напряжения;

· изменением числа полюсов двигателя. Для этого в пазы статора закладывают обмотку, которую можно переключать на различное число полюсов;

· изменением скольжения.

Последний способ можно применить в асинхронных двигателях с фазным ротором. Для этого в цепь ротора включают регулировочный реостат. Увеличение активного сопротивления цепи ротора приводит к увеличению скольжения от Sa к Sг (см. рис. 12.5), а, следовательно, и к уменьшению частоты вращения двигателя.

Асинхронные двигатели имеют простую конструкцию и надежны в эксплуатации. Недостатком асинхронных двигателей является трудность регулирования их частоты вращения.

Чтобы реверсировать трехфазный асинхронный двигатель (изменить направление вращения двигателя на противоположное), необходимо поменять местами две фазы, то есть поменять местами два любых линейных провода, подходящих к обмотке статора двигателя.

8.3.4. Однофазные асинхронные двигатели

Однофазный двигатель имеет одну обмотку, расположенную на статоре. Однофазная обмотка, питаемая переменным током, создаст пульсирующее магнитное поле. Поместим в это поле ротор с короткозамкнутой обмоткой. Ротор вращаться не будет. Если раскрутить ротор сторонней механической силой в любую сторону, двигатель будет устойчиво работать.

Объяснить это можно следующим образом. Пульсирующее магнитное поле можно заменить двумя магнитными полями, вращающимися в противоположных направлениях с синхронной частотой n1 и имеющими амплитуды магнитных потоков, равные половине амплитуды магнитного потока пульсирующего поля. Одно из магнитных полей называется прямовращающимся, другое - обратновращающимся. Каждое из магнитных полей индуктирует в роторной обмотке вихревые токи. При взаимодействии вихревых токов с магнитными полями образуются вращающие моменты, направленные встречно друг другу.

На рис. 12.7 изображены зависимости момента от прямого поля М', момента от обратного поля М" и результирующего момента М в функции скольжения М = М' - M".


Рис. 12.7

Оси скольжений направлены встречно друг другу. В пусковом режиме на ротор действуют вращающие моменты, одинаковые по величине и противоположные по направлению.

Раскрутим ротор сторонней силой в направлении прямовращающегося магнитного поля. Появится избыточный (результирующий) вращающий момент, разгоняющий ротор до скорости, близкой к синхронной. При этом скольжение двигателя относительно прямовращающегося магнитного поля

.

Скольжение двигателя относительно обратновращающегося магнитного поля

.

Рассматривая результирующую характеристику, можно сделать следующие выводы:

1. Однофазный двигатель не имеет пускового момента. Он будет вращаться в ту сторону, в которую раскручен внешней силой.

2. Из-за тормозного действия обратновращающегося поля характеристики однофазного двигателя хуже, чем трехфазного.

Для создания пускового момента однофазные двигатели снабжают пусковой обмоткой, пространственно смещенной относительно основной, рабочей обмотки на 90o. Пусковая обмотка подключается к сети через фазосдвигающие элементы: конденсатор или активное сопротивление.

Рис. 12.8 На рис. 12.8 показана схема включения обмоток двигателя, где Р - рабочая обмотка, П - пусковая обмотка. Емкость фазосдвигающего элемента С подбирают таким образом, чтобы токи в рабочей и пусковой обмотках различались по фазе на 90o. Трехфазный асинхронный двигатель может работать от однофазной сети, если подключить его обмотки по следующим схемам.(Рис. 12.9)


Рис.12.9

В схеме на рис. 12.9,а статорные обмотки соединены звездой.

В схеме на рис. 12.9б статорные обмотки соединены треугольником. Величина емкости С ≈ 60 мкф на 1 кВт мощности.

8.3.5. Синхронные двигатели.
Конструкция, принцип действия

В отличие от асинхронного двигателя частота вращения синхронного двигателя постоянная при различных нагрузках. Синхронные двигатели находят применение для привода машин постоянной скорости (насосы, компресоры, вентиляторы).

В статоре синхронного электродвигателя размещается обмотка, подключаемая к сети трехфазного тока и образующая вращающееся магнитное поле. Ротор двигателя состоит из сердечника с обмоткой возбуждения. Обмотка возбуждения через контактные кольца подключается к источнику постоянного тока. Ток обмотки возбуждения создает магнитное поле, намагничивающее ротор.

Роторы синхронных машин могут быть явнополюсными (с явновыраженными полюсами) и неявнополюсными (с неявновыраженными полюсами). На рис. 12.10,а изображен сердечник 1 явнополюсного ротора с выступающими полюсами. На полюсах размещены катушки возбуждения 2. На рисунке 12.10,б изображен неявнополюсной ротор, представляющий собой ферромагнитный цилиндр 1. На поверхности ротора в осевом направлении фрезеруют пазы, в которые укладывают обмотку возбуждения 2.


Рис. 12.10

Рассмотрим принцип работы синхронного двигателя на модели (рис. 12.11).

Рис. 12.11 Вращающееся магнитное поле статора представим в виде магнита 1. Намагниченный ротор изобразим в виде магнита 2. Повернем магнит 1 на угол α. Северный магнитный полюс магнита 1 притянет южный полюс магнита 2, а южный полюс магнита 1 - северный полюс магнита 2. Магнит 2 повернется на такой же угол α. Будем вращать магнит 1. Магнит 2 будет вращаться вместе с магнитом 1, причем частоты вращения обоих магнитов будут одинаковыми, синхронными, n 2 = n 1.

Синхронный двигатель, на роторе которого отсутствует обмотка возбуждения, называется синхронным реактивным двигателем.

Ротор синхронного реактивного двигателя изготавливается из ферромагнитного материала и должен иметь явновыраженные полюсы. Вращающееся магнитное поле статора намагничивает ротор. Явнополюсный ротор имеет неодинаковые магнитные сопротивления по продольной и поперечной осям полюса. Силовые линии магнитного поля статора изгибаются, стремясь пройти по пути с меньшим магнитным сопротивлением. Деформация магнитного поля вызовет, вследствие упругих свойств силовых линий, реактивный момент, вращающий ротор синхронно с полем статора.

Если к вращающемуся ротору приложить тормозной момент, ось магнитного поля ротора повернется на угол θ относительно оси магнитного поля статора. С увеличением нагрузки этот угол возрастает. Если нагрузка превысит некоторое допустимое значение, двигатель остановится, выпадет из синхронизма.

У синхронных двигателей отсутствует пусковой момент. Это объясняется тем, что электромагнитный вращающий момент, воздействующий на неподвижный ротор, меняет свое направление два раза за период Т переменного тока. Из-за своей инерционности, ротор не успевает тронуться с места и развить необходимое число оборотов.

В настоящее время применяется асинхронный пуск синхронного двигателя. В пазах полюсов ротора укладывается дополнительная короткозамкнутая обмотка.

Вращающее магнитное поле статора индуктирует в короткозамкнутой пусковой обмотке вихревые токи. При взаимодействии этих токов с магнитным полем статора образуется асинхронный электромагнитный момент, приводящий ротор во вращение. Когда частота вращения ротора приближается к частоте вращения статорного поля, двигатель втягивается в синхронизм и вращается с синхронной скоростью. Короткозамкнутая обмотка не перемещается относительно поля, вихревые токи в ней не индуктируются, асинхронный пусковой момент становится равным нулю.

8.3.6. Синхронные генераторы

Назначение. Синхронные генераторы являются основным типом генераторов переменного тока, применяемых в процессе производства электроэнергии.

Все электрические генераторы на гидро- и теплоэлектростанциях являются синхронными. Синхронные генераторы используются также в качестве автономных источников энергии в автомобилях, дорожных машинах, транспортных средствах и др.

Синхронные генераторы иногда выполняются однофазными, и их якорная обмотка размещается на 2/3 каждого полюсного деления. Однако такие генераторы имеют более низкий, чем трехфазные генераторы, КПД и большую стоимость. Поэтому они имеют ограниченное применение и их мощность невелика.

Рассмотрим особенности работы синхронного генератора при работе в режимах холостого хода и под нагрузкой.

Реакция якоря и характеристики синхронного генератора. Режим холостого хода имеет место в том случае, когда обмотка статора (якоря) разомкнута. В этом случае магнитное поле машины создается только обмоткой возбуждения, поэтому действующее значение ЭДС Е 0, индуцируемой потоком возбуждения Ф в, определяется по формуле (10.4):

где с - постоянный для данной машины коэффициент.

Так как частота вращения ротора n 1 поддерживается постоянной, то E 0 зависит только от Ф в, следовательно, только от тока возбуждения ротора I В. Зависимость Е0 = называется характеристикой холостого хода. Она имеет вид, показанный на рис. 10.20, и повторяет по форме кривую намагничивания.

При подключении к обмотке статора (якоря) нагрузки ток, протекающий по этой обмотке, создает свой собственный магнитный поток Ф я, который вращается в пространстве с такой же скоростью и в ту же сторону, что и поток возбуждения Ф в.

Поэтому потоки Фв и Фя относительно друг друга неподвижны и образуют результирующий поток в машине Ф, который, вращаясь в пространстве, индуцирует в обмотке статора ЭДС.

Влияние поля якоря на основное поле возбуждения, как отмечалось ранее, называется реакцией якоря. В отличие от машины постоянного тока, она определяется не только величиной, но и характером нагрузки, т.е. величиной сдвига фаз тока якоря ЭДС фазной обмотки , созданной потоками возбуждения Фв.

При активной нагрузке ток и ЭДС в обмотках фаз генератора совпадают по фазе.

На рис. 10.21, а показано такое положение ротора, при котором ЭДС в фазе А при активной нагрузке максимальна (ЭДС максимальна в данный момент времени в проводниках обмотки, лежащих под серединой полюса ротора). Максимальным будет и ток фазы А. Построив линии магнитной индукции поля ротора и статора, можно увидеть, что ось потока статора Фя перпендикулярна оси потока возбуждения Фв. В результате взаимодействия Фя и Фв в магнитной цепи статора магнитное поле машины ослабляется под одной частью полюса и увеличивается под другой. Вследствие насыщения магнитной цепи результирующее магнитное поле машины может несколько ослабиться.

На рис. 10.21, а видно, что ток возбуждения, протекая по обмотке ротора и взаимодействуя с потоком якоря Фя, создает силу, противодействующую вращению ротора, т.е. тормозной момент М т. Таким образом, при чисто активной нагрузке реакция якоря проявляется в виде механической тормозной силы, приложенной к ротору, а величина результирующего магнитного поля не изменяется или изменяется незначительно при насыщении магнитной цепи машины.

При чисто индуктивной нагрузке (ψ = 90°) ток якоря отстает по фазе от ЭДС в обмотке якоря на четверть периода и достигает в фазе А максимума в момент, когда полюс N ротора уйдет вперед на четверть оборота (рис. 10.21, б) от положения, указанного на рис. 10.21, а. Как видно из рисунка, в этом случае поток якоря Фя направлен против потока ротора ФВ и, следовательно, оказывает размагничивающее действие. Однако механической тормозной силы, приложенной к ротору, здесь не возникает. При чисто емкостной нагрузке ток фазы А опережает соответствующую ЭДС на четверть периода и достигает максимального значения когда полюс N ротора не доходит на 90° (рис. 10.21, в) до положения, указанного на рис. 10.21, а. В этом случае потоки Фв и Фя совпадают по направлению, и реакция якоря оказывает намагничивающее действие, Так же как и в случае чисто индуктивной нагрузки, тормозного механического действия на ротор не происходит.

На практике нагрузка генератора в большинстве случаев является активно-индуктивной и ток якоря имеет две составляющие: активную совпадающую с и обусловливающую механическую реакцию в виде тормозного электромагнитного момента на валу ротора; реактивную Ip = I sin ψ, вызывающую ослабление основного магнитного потока машины.

Эксплуатационные свойства синхронного генератора в значительной степени определяются его внешней и регулировочной характеристиками, аналогичными соответствующим характери­стикам генераторов постоянного тока. Напряжение U на зажимах генератора, работающего под нагрузкой, существенно отличается от ЭДС Е 0 при холостом ходе. Это отличие тем больше, чем больше реактивное сопротивление нагрузки. Зависимости
U = , названные внешними характеристиками генератора, показаны на рис. 10.22, а.

Падение напряжения на активно-индуктивной нагрузке в первую очередь обусловлено размагничивающим действием реакции якоря и в незначительной степени падением напряжения на внутреннем индуктивном сопротивлении машины. Подъем характеристик при емкостной нагрузке обусловлен подмагничивающим действием реакции якоря. Для поддержания неизменного уровня напряжения при различной нагрузке необходимо соответствующим образом изменить ток возбуждения. Зависимости тока возбуждения I в от тока нагрузки I я при неизменном напряжении на зажимах генератора (регулировочные характеристики) приведены на рис. 10.22, б.

Параллельная работа синхронных генераторов. На каждом транспортном средстве, как правило, используется один синхронный генератор. Однако в большинстве случаев на практике приходится иметь дело с параллельной работой нескольких синхронных машин. В современную энергосистему электрическая энергия поступает от сотен генераторов, работающих на общую нагрузку. При этом мощность отдельного генератора намного меньше суммарной мощности остальных генераторов, которые могут быть заменены одним эквивалентным генератором бесконечно большой мощности. Поэтому никакие манипуляции с отдельным генератором не могут нарушить работу всей системы и, соответственно, напряжение сети Uс.

Включение синхронного генератора на параллельную работу с сетью сопряжено с отдельными трудностями и требует выполнения следующих условий, которые в настоящее время реализуются с помощью специальных приемов и оборудования:

· равенства частоты ЭДС генератора и напряжения в сети, что достигается изменением скорости вращения ротора за счет регулирования момента первичного двигателя;

· равенства ЭДС генератора и напряжения в сети при фазовом сдвиге между ними 180° (последовательность чередования фаз должна быть одинаковой).

При несоблюдении условия противофазности ЭДС и напряжения сети в обмотке включенного генератора может возникнуть недопустимо большой ток, который может привести к повреждению машины.

Действительно, напряжение сети Uс может быть как в фазе (рис. 10.23, а), так и в противофазе (рис. 10.23, б) с ЭДС генератора ег.

В первом случае в образовавшемся левом контуре, сопротивление которого мало, возникает большой ток. Во втором случае uс и ег будут равны по величине и направлены встречно, поэтому при подключении генератора к сети в образовавшемся контуре суммарная ЭДС и, следовательно, ток равны нулю. Генератор при этом работает без нагрузки. Механическая мощность первичного двигателя затрачивается на покрытие потерь холостого хода.

Если увеличить вращающий момент первичного двигателя, ротор машины, получив некоторое ускорение, сместится относительно своего первоначального положения на угол θ в сторону вращения. На такой же угол θ сдвигается вектор Ё0 относительно своего первоначального положения. Под действием результирующей ЭДС , равной геометрической сумме и , в цепи генератора появится ток I, отстающий от на 90°, так как сопротивление обмоток статора практически чисто индуктивное. Падение напряжения на этом сопротивлении компенсирует разность .

 




Поделиться с друзьями:


Дата добавления: 2014-11-29; Просмотров: 968; Нарушение авторских прав?; Мы поможем в написании вашей работы!


Нам важно ваше мнение! Был ли полезен опубликованный материал? Да | Нет



studopedia.su - Студопедия (2013 - 2026) год. Все материалы представленные на сайте исключительно с целью ознакомления читателями и не преследуют коммерческих целей или нарушение авторских прав! Последнее добавление




Генерация страницы за: 0.011 сек.