Студопедия

КАТЕГОРИИ:


Архитектура-(3434)Астрономия-(809)Биология-(7483)Биотехнологии-(1457)Военное дело-(14632)Высокие технологии-(1363)География-(913)Геология-(1438)Государство-(451)Демография-(1065)Дом-(47672)Журналистика и СМИ-(912)Изобретательство-(14524)Иностранные языки-(4268)Информатика-(17799)Искусство-(1338)История-(13644)Компьютеры-(11121)Косметика-(55)Кулинария-(373)Культура-(8427)Лингвистика-(374)Литература-(1642)Маркетинг-(23702)Математика-(16968)Машиностроение-(1700)Медицина-(12668)Менеджмент-(24684)Механика-(15423)Науковедение-(506)Образование-(11852)Охрана труда-(3308)Педагогика-(5571)Полиграфия-(1312)Политика-(7869)Право-(5454)Приборостроение-(1369)Программирование-(2801)Производство-(97182)Промышленность-(8706)Психология-(18388)Религия-(3217)Связь-(10668)Сельское хозяйство-(299)Социология-(6455)Спорт-(42831)Строительство-(4793)Торговля-(5050)Транспорт-(2929)Туризм-(1568)Физика-(3942)Философия-(17015)Финансы-(26596)Химия-(22929)Экология-(12095)Экономика-(9961)Электроника-(8441)Электротехника-(4623)Энергетика-(12629)Юриспруденция-(1492)Ядерная техника-(1748)

Гидравлический расчет сети среднего или высокого давлений




Гидравлический расчет кольцевых газовых сетей

 

 

На план города наносятся потребители (промпредприятия, хлебозавод, отопительные котельные, ГРП, бани и прачечные, которые можно объединять в банно-прачечный комбинат, больничные городки), подсоединенные к сети среднего или высокого давления. Осуществляется трассировка сети по улицам и проездам района города. При этом следует придерживаться следующих требований:

- протяженность газопроводов, включая и ответвления к потребителям должна быть минимальной;

- газопроводы высокого и среднего давления не должны транзитом пересекать жилые кварталы, если в кварталах неизвестно расположение зданий;

- расстояния между газопроводами и зданиями и сооружениями должны соответствовать нормативным требованиям.

При проектировании необходимо рассматривать различные варианты трассировки газопроводов. Оптимальный выбирается путем сравнения приведенных затрат по каждому варианту.

Для гидравлического расчета сетей среднего и высокого давлений составляется расчетная схема газопроводов, на которой производится нумерация участков, проставляется их длина и расчетные расходы газа потребителями.

В зависимости от задания гидравлический расчет может производиться с резервированием пропускной способности газопроводов либо без резервирования пропускной способности.

Гидравлический расчет сети высокого или среднего давления без резервирования пропускной способности производится в следующей последовательности;

1) Используя составленную расчетную схему газовой сети, намечают распределение потоков газа в сети. Точки встречи потоков в кольцах выбираются примерно на одинаковом расстоянии от точек питания.

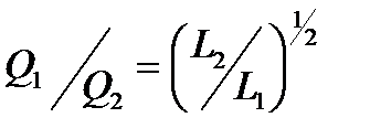
2) Определяют расчетные расходы газа на отдельных участках сети. На участках, примыкающих к точкам встречи, расход газа делится обратно пропорционально корню квадратному из соотношения длин полуколец:

,

где Q1 и Q2 - расходы газа, поступающие к потребителю, подключенному в точке встречи потоков газа, м3/ч;

L1 и L2 - суммарная длина полуколец от источника до точки встречи потоков газа, м.

При определении расходов газа Q1 и Q2 учитывают, что их сумма должна быть равна расчетному расходу газа потребителя, который подключен в точке встречи потоков газа.

3) Для каждого участка определяют расчетную длину по формуле

Lpi = 1,1 Lri,

где Lpi - расчетная длина i -го участка, м;

Lri - действительная длина i -го участка по плану, м.

4) Определяют удельную разность квадратов давления газа (комплексную величину) на участках, входящих в рассчитываемую газовую сеть, по формуле

 

,кПа2/км,

где Pн - абсолютное давление газа на выходе из источника (ГРС), кПа;

Pк - то же, в конце направления (в точке встречи потоков), кПа;

Lpi - расчетная длина участка, м.

5) Ориентируясь на комплексную величину Aср по номограммам для расчета газопроводов среднего и высокого давления в зависимости от расхода газа подбирают диаметр газопровода и действительную комплексную величину Aд.

6) Вычисляют давление газа в конечных точках

 

,кПа, (30).

 

Невязка давления в точках встречи потоков не должна превышать 10 %. В противном случае изменяют диаметры и расчет повторяют.

Если предусматривается резервирование пропускной способности газопроводов, то гидравлический расчет выполняется для двух аварийных и для одного нормального режимов, на основании которых определяются диаметры газопроводов и располагаемые давления у потребителей.

Расчет первого аварийного режима производится в следующей последовательности:

1) Вычерчивается схема газовой сети в первом аварийном режиме (отключен правый участок от точки подключения ГРС. При этом газ движется от источника до последнего потребителя по часовой стрелке).

2) Определяются расходы газа по участкам, начиная с последнего по ходу движения газа потребителя. При этом учитывают, что участок (который называется перемычкой) лежащий напротив точки подключения ГРС делит газовую сеть на нормальную и аварийную половину. Подача газа потребителям аварийной половины кольца принимается равной в размере 50 % от расчетного расхода газа. При расчетах аварийных режимов может приниматься одинаковый коэффициент обеспечения (например, 0,75) всех потребителей топливом.

3) Определяются расчетные длины участков.

4) Определяется средняя комплексная величина Аср.

5) По номограмме, ориентируясь на Аср и расход газа на участке, определяют диаметры участков и действительные комплексные величины Ад.

 

 

Рисунок 12.2 Расчетные схемы кольцевой газовой сети среднего давления

а - аварийный режим 1; б - аварийный режим 2; в - нормальный режим.

 

6) Определяют абсолютные давления газа в узловых точках. В результате подбора диаметров давление у последнего потребителя должно быть не менее заданного. Если данное условие не выполняется (давление у конечного потребителя значительно больше или меньше заданного), уменьшают (или увеличивают) диаметр какого-либо участка из числа тех, которые имеют пониженное (повышенное) значение комплексной величины. В соответствии с требованиями СНиП 2.04.08-87 следует стремиться к максимальному использованию допустимой потери давления. Это условие проверяется соблюдением следующего неравенства:

 

,

 

Расчет второго аварийного режима выполняется в такой же последовательности, но отключается участок, прилегающий к точке подключения ГРС слева, и при этом газ движется против часовой стрелки.

При расчете нормального режима принимаются диаметры газопроводов наибольшие из двух аварийных. Расчетные расходы газа по участкам определяют при полной нагрузке (100 %) потребителей, отключая участок напротив точки подключения ГРС. При расчете нормального режима узловые давления определяют по двум полукольцам (отключен участок напротив точки подключения ГРС, то есть перемычка). Невязка давлений в последних узлах полуколец не должна превышать 10 %. В противном случае необходимо выполнять потокораспределение в сети таким образом, чтобы получалась необходимая невязка.

Обычно после гидравлического расчета газопроводов при нормальном режиме получается большой запас давлений в узлах по сравнению с конечным давлением. Чтобы “погасить” этот запас при подборе диаметров ответвлений, принимают максимально возможную величину Ад (или минимально возможный диаметр, но не менее 50 мм). Полученное конечное давление у потребителя должно быть не менее требуемого (или заданного)

Гидравлический расчет сети высокого или среднего давления сводится в таблицу 12.1

 

Таблица 12.1 Гидравлический расчет сети высокого или среднего

давления

Номер участка Длина, км по пла- расчет ну, ная L, км Lp=1,1L, км Расчет - ный расход газа на участке, м3 Услов- ный диаметр, dнхs, мм     Ад, кПа2/км     АдLp, кПа2 Давление, кПа   Pн Pк
  2 3         8 9

 

 




Поделиться с друзьями:


Дата добавления: 2014-12-16; Просмотров: 2329; Нарушение авторских прав?; Мы поможем в написании вашей работы!


Нам важно ваше мнение! Был ли полезен опубликованный материал? Да | Нет



studopedia.su - Студопедия (2013 - 2026) год. Все материалы представленные на сайте исключительно с целью ознакомления читателями и не преследуют коммерческих целей или нарушение авторских прав! Последнее добавление




Генерация страницы за: 0.011 сек.