Студопедия

КАТЕГОРИИ:


Архитектура-(3434)Астрономия-(809)Биология-(7483)Биотехнологии-(1457)Военное дело-(14632)Высокие технологии-(1363)География-(913)Геология-(1438)Государство-(451)Демография-(1065)Дом-(47672)Журналистика и СМИ-(912)Изобретательство-(14524)Иностранные языки-(4268)Информатика-(17799)Искусство-(1338)История-(13644)Компьютеры-(11121)Косметика-(55)Кулинария-(373)Культура-(8427)Лингвистика-(374)Литература-(1642)Маркетинг-(23702)Математика-(16968)Машиностроение-(1700)Медицина-(12668)Менеджмент-(24684)Механика-(15423)Науковедение-(506)Образование-(11852)Охрана труда-(3308)Педагогика-(5571)Полиграфия-(1312)Политика-(7869)Право-(5454)Приборостроение-(1369)Программирование-(2801)Производство-(97182)Промышленность-(8706)Психология-(18388)Религия-(3217)Связь-(10668)Сельское хозяйство-(299)Социология-(6455)Спорт-(42831)Строительство-(4793)Торговля-(5050)Транспорт-(2929)Туризм-(1568)Физика-(3942)Философия-(17015)Финансы-(26596)Химия-(22929)Экология-(12095)Экономика-(9961)Электроника-(8441)Электротехника-(4623)Энергетика-(12629)Юриспруденция-(1492)Ядерная техника-(1748)

Линейного программирования




СВЕДЕНИЕ МАТРИЧНОЙ ИГРЫ К ЗАДАЧЕ

 

Предположим, что цена игры положительна (u > 0). Если это не так, то согласно свойству 6 всегда можно подобрать такое число с, прибавление которого ко всем элементам матрицы выигрышей даёт матрицу с положительными элементами, и следовательно, с положительным значением цены игры. При этом оптимальные смешанные стратегии обоих игроков не изменяются.

Итак, пусть дана матричная игра с матрицей А порядка m хn. Согласно свойству 7 оптимальные смешанные стратегии х = (х1,..., хm), y = (y1,..., yn) соответственно игроков 1 и 2 и цена игры u должны удовлетворять соотношениям.

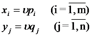
Разделим все уравнения и неравенства в (1) и (2) на u (это можно сделать, т.к. по предположению u > 0) и введём обозначения:

, ,

Тогда (1) и (2) перепишется в виде:

, , , ,

, , , .

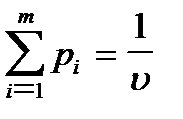
Поскольку первый игрок стремится найти такие значения хi и, следовательно, pi, чтобы цена игры u была максимальной, то решение первой задачи сводится к нахождению таких неотрицательных значений pi , при которых

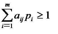
, .

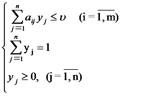
Поскольку второй игрок стремится найти такие значения yj и, следовательно, qj, чтобы цена игры u была наименьшей, то решение второй задачи сводится к нахождению таких неотрицательных значений qj, , при которых

, .

Формулы (3) и (4) выражают двойственные друг другу задачи линейного программирования (ЛП).

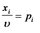
Решив эти задачи, получим значения pi , qj и u. Тогда смешанные стратегии, т.е. xi и yj получаются по формулам:

 

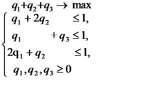
Пример. Найти решение игры, определяемой матрицей.

Решение. При решении этой игры к каждому элементу матрицы А прибавим 1 и получим следующую матрицу

Составим теперь пару взаимно-двойственных задач:

 

Решим вторую из них

 

Б.п. q1 q2 q3 q4 q5 q6 Решение å Отношение
  -1 -1 -1         -3  
q4                
q5                
q6                

 

Б.п. q1 q2 q3 q4 q5 q6 Решение å Отношение
    -1              
q4                
q3                
q6                

 

Б.п. q1 q2 q3 q4 q5 q6 Решение å Отношение
           
q2          
q3                  
q6          

 

Из оптимальной симплекс-таблицы следует, что

(q1, q2, q3) = (0; ; 1),

а из соотношений двойственности следует, что

(p1, p2, p3) = (; 1; 0).

Следовательно, цена игры с платёжной матрицей А1 равна

. ,

а игры с платёжной матрицей А:

.

При этом оптимальные стратегии игроков имеют вид:

Х = (х1, х2, х3) = (1; uр2; uр3) = =

Y = (y1, y2, y3) = (uq1; uq2; uq3) = = .

ГЛАВА 2. БЕСКОНЕЧНЫЕ АНТАГОНИСТИЧЕСКИЕ ИГРЫ.

 




Поделиться с друзьями:


Дата добавления: 2014-12-16; Просмотров: 396; Нарушение авторских прав?; Мы поможем в написании вашей работы!


Нам важно ваше мнение! Был ли полезен опубликованный материал? Да | Нет



studopedia.su - Студопедия (2013 - 2026) год. Все материалы представленные на сайте исключительно с целью ознакомления читателями и не преследуют коммерческих целей или нарушение авторских прав! Последнее добавление




Генерация страницы за: 0.009 сек.