Студопедия

КАТЕГОРИИ:


Архитектура-(3434)Астрономия-(809)Биология-(7483)Биотехнологии-(1457)Военное дело-(14632)Высокие технологии-(1363)География-(913)Геология-(1438)Государство-(451)Демография-(1065)Дом-(47672)Журналистика и СМИ-(912)Изобретательство-(14524)Иностранные языки-(4268)Информатика-(17799)Искусство-(1338)История-(13644)Компьютеры-(11121)Косметика-(55)Кулинария-(373)Культура-(8427)Лингвистика-(374)Литература-(1642)Маркетинг-(23702)Математика-(16968)Машиностроение-(1700)Медицина-(12668)Менеджмент-(24684)Механика-(15423)Науковедение-(506)Образование-(11852)Охрана труда-(3308)Педагогика-(5571)Полиграфия-(1312)Политика-(7869)Право-(5454)Приборостроение-(1369)Программирование-(2801)Производство-(97182)Промышленность-(8706)Психология-(18388)Религия-(3217)Связь-(10668)Сельское хозяйство-(299)Социология-(6455)Спорт-(42831)Строительство-(4793)Торговля-(5050)Транспорт-(2929)Туризм-(1568)Физика-(3942)Философия-(17015)Финансы-(26596)Химия-(22929)Экология-(12095)Экономика-(9961)Электроника-(8441)Электротехника-(4623)Энергетика-(12629)Юриспруденция-(1492)Ядерная техника-(1748)

ПРОГРАМА 6 страница




5. 88 кг

 

930. Давление, производимое светом при нормальном падении на поверхность, определяется формулой:

1.

2.

3.

4.

5.

 

931. Основные уравнения, связывающие корпускулярные свойства электромагнитного излучения с волновыми свойствами для: I. Энергии; II. Импульса; III. Массы, определяются формулами: 1) ; 2) ; 3) .

1. I.1, II.3, III.2

2. I.2, II.3, III.1

3. I.3, II.2, III.1

4. I.3, II.1, III.2

5. I.2, II.1, III.3

 

Атомная физика 2. (Атомные спектры)

 

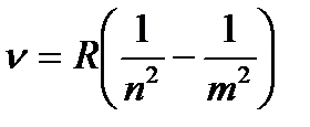
932. Формула, выражающая спектральные закономерности излучения атома водорода, имеет вид: . Какие значения n и m соответствуют наименьшей частоте излучения водорода в видимой области спектра?

1. n=2, m=3

2. n=2, m=1

3. n=3, m=2

4. n=1, m=2

5. n=1, m=

 

933. Укажите правило квантования стационарных боровских орбит?

1.

2.

3.

4.

5.

 

934. Какая из указанных формул выражает правило частот Бора?

1.

2.

3.

4.

5.

 

935. В каком из указанных состояний находится валентный электрон в атомах щелочных металлов.

1. s - состояние

2. p - состояние

3. d - состояние

4. f - состояние

5. любое состояние из s, p, d, f

 

936. Формула, выражающая спектральные закономерности излучения атома водорода имеет вид: . Какие значения n и m соответствуют наименьшей частоте излучения водорода в инфракрасной области спектра (серия Брэкета).

1. n=4, m=5

2. n=2, m=3

3. n=3, m=4

4. n=1, m=2

5. n=0, m=1

 

937. Второй закон Ньютона для электрона, движущегося по круговой орбите в атоме, имеет вид:

1.

2.

3.

4.

5.

 

938. Укажите силу, определяющую движение электронов в боровской модели атома.

1. сила Кулоновского взаимодействия

2. гравитационного сила

3. ядерная сила

4. любая сила

5. сила трения

 

939. Какое из перечисленных заключений является ошибочным.

1. в таблице Менделеева элементы располагаются в порядке возрастания их атомных весов

2. периодическая система элементов Менделеева является наглядным отображением закономерностей электронной структуры атомов

3. место элемента в таблице Менделеева определяется числом электронов в электронной оболочке атома.

4. периодичность свойств химических элементов связана с определенным числом электронов в атомах и распределением их по состояниям в соответствии с принципом наименьшего действия и принципом Паули.

5. место элемента в таблице Менделеева определяется числом нейтронов в ядре атома

 

940. Уравнение Шредингера, описывающее состояние электрона имеет решения, удовлетворяющие требованиям однозначности, конечности и непрерывности волновой функции:

1. только при собственных значениях энергии

2. только для определенных значений энергии

3. для любых значений энергии

4. любое другое заключение

5. только для валентных электронов

 

941. Момент импульса электрона квантуется, определяемый формулой:

1.

2.

3.

4.

5.

 

942. В каком из указанных состояний находятся валентные электроны в атомах актиноидов?

1. d - состояние

2. p - состояние

3. s - состояние

4. f -состояние

5. может быть любым из (s, p, d, f - состояний)

 

943. Укажите характер спектра излучения разряженных газов?

1. линейчатый

2. сплошной

3. полосатый

4. любой

5. монохроматическое излучение

 

944. Максимальное число электронов, находящихся в состояниях, определяемых данным главным квантовым числом n равно:

1.

2.

3. Z(n)=2l

4. Z(n)=2l+1

5. Z(n)=n

 

945. Каково современное представление о природе света?

1. свет - электромагнитная форма материи, обладающая одновременно как волновыми, так и корпускулярными свойствами

2. свет - электромагнитная волна

3. свет - поток корпускул (квантов)

4. свет - механический процесс

5. свет - упругая волна

 

946. Укажите уравнение Шредингера для стационарных состояний, записанное для свободной частицы, движущейся вдоль оси X:

1.

2.

3.

4.

5.

 

947. Какое квантовое число определяет величину собственного момента электрона в атоме?

1. спиновое квантовое число

2. орбитальное квантовое число

3. магнитное квантовое число

4. главное квантовое число

5. орбитальное и магнитное квантовые числа

 

948. Сколько электронов многоэлектронного атома могут быть в состояниях определенных значением орбитального квантового числа ?

1. 10

2. 14

3. 8

4. другое число

5. 32

 

949. Какой из механизмов взаимодействия пучка электронов с атомами вещества антикатода рентгеновской трубки объясняет появление характеристического рентгеновского спектра?

1. торможение электронов атомами вещества

2. возбуждение валентных электронов

3. удаление электронов с внешних электронных оболочек за пределы атомов

4. выбивание электронов из внутренних электронных оболочек атомов

5. нагревание антикатода

 

950. Укажите уравнения Шредингера для стационарных состояний, записанное для связанной частицы, движущейся вдоль оси X.

1.

2.

3.

4.

5.

 

951. Укажите квантовое число, определяющее возможные ориентации магнитного момента атома во внешнем магнитном поле:

1. m

2. s

3.

4. n

5. n,s

 

952. В каком из указанных состояний электрон в атоме обладает наибольшей энергией?

1. 6s

2. 5p

3. 4f

4. 4d

5. 2p

 

953. Энергия электрона в однородной бесконечно глубокой “потенциальной яме” шириной l определяется формулой . Как изменяется относительный энергетический интервал между уровнями при возрастании квантового числа n?

1. уменьшается

2. не изменяется

3. увеличивается

4. =0

5. меняется по гармоническому закону

 

954. Электрон в атоме переходит из возбужденного состояния с энергией в основное состояние с энергией . При этом испускается фотон. Масса испущенного фотона равна:

1.

2.

3.

4.

5.

 

955. Какое значение имеет энергия фотона, излучаемого атомом при переходе из возбужденного состояния с энергией в основное состояние с энергией ?

1.

2.

3.

4.

5.

 

956. Соотнесите названия формул и их математические выражения: I.Энергия частицы вне потенциальной ямы, II. Энергия частиц внутри потенциальной ямы, III. Потенциальная энергия взаимодействия электрона с ядром. 1) , 2) , 3)

1. I.2, II.3, III.1

2. I.1, II.2, III.3

3. I.3, II.2, III.1

4. I.3, II.1, III.2

5. I.1, II.3, III.2

 

957. Укажите формулу, выражающую распределение электронов по состояниям в атоме .

1.

2.

3.

4.

5.

 

Ядерная физика 1. (Атомное ядро)

 

958. Укажите формулу, соответствующую энергии связи нуклонов в ядре атома.

1.

2.

3.

4.

5.

 

959. Какое из соотношений наиболее удобно для расчета энергии связи ядра?

1.

2.

3.

4.

5.

 

960. В каких единицах измеряется активность радиоактивных веществ?

1. Кюри

2. Ваттах

3. Джоулях

4. Рентгенах

5. Ньютонах

 

961. Чем определяется различие в изотопном составе одного и того же химического элемента?

1. различным количеством нейтронов

2. различным количеством протонов

3. одинаковым количеством протонов

4. количеством электронов

5. количеством позитронов

 

962. Из каких элементарных частиц состоит атомное ядро?

1. протонов и нейтронов

2. нейтронов и электронов

3. протонов и электронов

4. нейтронов и позитронов

5. электронов и позитронов

 

963. При которой из ядерных реакций происходит поглощение энергии? ( 1- сумма масс ядер до реакции, 2- сумма масс ядер после реакции).

1. 1< 2

2. 1> 2

3. 1= 2

4. 1 2

5. 1 2

 

964. Какие из ядерных частиц при одинаковой энергии имеют наибольшую среднюю длину свободного пробега в воздухе?

1. альфа - частицы

2. гамма кванты

3. бета - частицы

4. протоны

5. нейтроны

 

965. Какая из перечисленных элементарных частиц имеет отличные от нуля массу покоя и заряд?

1. бета - частица

2. нейтрино

3. гамма - квант

4. антинейтрино

5. пионы

 

966. На каких расстояниях действуют ядерные силы притяжения?

1.

2.

3.

4.

5.

 

967. Чему равен заряд нейтрона?

1. 0e

2. +1е

3. -1е

4. +2е

5. -2е

 

968. Определите состав ядра элемента .

1. 11 протонов, 12 нейтронов

2. 23 нейтрона, 11 протонов

3. 13 протонов, 10 нейтронов

4. 12 протонов, 11 нейтронов

5. 23 протона, 11 нейтронов

 

969. Какие вещества из перечисленных ниже обычно используются в ядерных реакторах в качестве ядерного горючего: 1-уран, 2- графит, 3- кадмий, 4-тяжелая вода, 5- бор, 6 - плутоний?

1. 1 и 6

2. 2 и 4

3. 1 и 5

4. 1 и 3

5. 1 и 2

 

970. излучение представляет собой

1. электромагнитные волны

2. поток нейтронов

3. поток ионов

4. поток электронов

5. поток протонов

 

971. Как найти число нейтронов в ядре, если Z- порядковый номер элемента А- массовое число?

1. N=A-Z

2. N=A/Z

3. N=Z/A

4. N=A+Z

5.

 

972. Какое из трех типов излучений или излучение обладает наибольшей проникающей способностью?

1. излучение

2. излучение

3. Все не обладают этой способностью

4. Все примерно одинаковой

5. излучение

 

973. Атомы и молекулы в нормальном состоянии

1. электрически нейтральны

2. заряжены положительно

3. заряжены отрицательно

4. ионизированы

5. могут быть заряжены либо отрицательно, либо положительно.

 

974. Определите атомный номер, массовое число и химический символ ядра, если в ядре протоны заменить нейтронами, а нейтроны - протонами.

1.

2.

3.

4.

5.

 

975. В зависимости от характера симметрии все элементарные частицы и построенные из них системы с полуцелым спином подчиняются статистике:

1. Ферми-Дирака

2. Максвелла

3. Бозе-Эйнштейна

4. Больцмана

5. Классической статистике.

 

976. Определите число протонов и нейтронов, входящих в состав ядра элемента .

1. 12 протонов и 13 нейтронов

2. 12 нейтронов и 25 протонов

3. 13 протонов и 12 нейтронов

4. 12 протонов и 25 нейтронов

5. 12 протонов и 11 нейтронов

 

977. По какому закону проходит радиоактивный распад вещества?

1. Экспоненциальному

2. Квадратичному.

3. По линейному.

4. Гармоническому.

5. Более сложному.

 

978. Какой эффект взаимодействия ядерного излучения с воздухом положен в основу измерения дозы излучения?

1. Ионизация.

2. Упругое рассеяние.

3. Возбуждение атомов.

4. Тормозное излучение.

5. Фотоэффект.

 

979. Какое из трех типов излучений: не отклоняется в магнитном поле?

1. лучи

2. лучи

3. лучи

4. лучи

5. излучения

 

980. Какое соотношение выражает закон поглощения излучения веществом?

1.

2.

3.

4.

5.

 

Ядерная физика 2. (Ядерные превращения)

 

981. Какой изотоп образуется из после 4-х - - распадов?

1.

2.

3.

4.

5.

 

982. Каким процессом чаще всего сопровождается - распад ядра?

1. гамма излучением

2. образованием протона

3. делением ядра

4. образованием электронов

5. образованием нейтронов

 

983. Какой изотоп образуется из после 2-х распадов?

1.

2.

3.

4.

5.

 

984. распад подчиняется следующему правилу смещения:

1.

2.

3.

4.

5.

 

985. распад ядра радона имеет следующее уравнение:

1.

2.

3.

4.

5.

 

986. Продуктом распада урана является:

1.

2.

3.

4.

5.

 

987. Правило смещения для электронного захвата:

1.

2.

3.

4.

5.

 

988. Укажите второй продукт ядерной реакции:

1.

2.

3.

4.

5.

 

989. Назовите частицы Х, образующиеся в результате термоядерной реакции:

1. Нейтроны

2. Электроны

3. Протоны

4. частицы

5. Позитроны

 

990. Какие из перечисленных ниже условий являются обязательными для осуществления цепной ядерной реакции деления ядер урана? 1. Освобождение при каждом делении ядра двух-трех нейтронов. 2. Наличие достаточно большего количества урана. 3. Высокая температура урана.

1. 1 и 2

2. только 3

3. только 1

4. только 2

5. 1 и 3

 

991. Основными элементами ядерного реактора являются: 1. ядерное горючее. 2. замедлитель нейтронов. 3. теплоноситель для вывода энергии. 4. устройство для регулирования скорости реакции. 5. турбина.

1. 1,2,3,4

2. 1,2,3

3. 1,3,5

4. 1,2,4

5. 1,2,3,4,5

 

992. Какая энергия выделяется при термоядерной реакции ? Дефект масс реакции

1.

2.

3.

4.

5.

 

993. Общая формула, выражающая правило смещения при электронном распаде, имеет вид:

1.

2.

3.




Поделиться с друзьями:


Дата добавления: 2014-12-16; Просмотров: 722; Нарушение авторских прав?; Мы поможем в написании вашей работы!


Нам важно ваше мнение! Был ли полезен опубликованный материал? Да | Нет



studopedia.su - Студопедия (2013 - 2026) год. Все материалы представленные на сайте исключительно с целью ознакомления читателями и не преследуют коммерческих целей или нарушение авторских прав! Последнее добавление




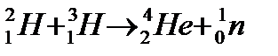
Генерация страницы за: 0.013 сек.