Студопедия

КАТЕГОРИИ:


Архитектура-(3434)Астрономия-(809)Биология-(7483)Биотехнологии-(1457)Военное дело-(14632)Высокие технологии-(1363)География-(913)Геология-(1438)Государство-(451)Демография-(1065)Дом-(47672)Журналистика и СМИ-(912)Изобретательство-(14524)Иностранные языки-(4268)Информатика-(17799)Искусство-(1338)История-(13644)Компьютеры-(11121)Косметика-(55)Кулинария-(373)Культура-(8427)Лингвистика-(374)Литература-(1642)Маркетинг-(23702)Математика-(16968)Машиностроение-(1700)Медицина-(12668)Менеджмент-(24684)Механика-(15423)Науковедение-(506)Образование-(11852)Охрана труда-(3308)Педагогика-(5571)Полиграфия-(1312)Политика-(7869)Право-(5454)Приборостроение-(1369)Программирование-(2801)Производство-(97182)Промышленность-(8706)Психология-(18388)Религия-(3217)Связь-(10668)Сельское хозяйство-(299)Социология-(6455)Спорт-(42831)Строительство-(4793)Торговля-(5050)Транспорт-(2929)Туризм-(1568)Физика-(3942)Философия-(17015)Финансы-(26596)Химия-(22929)Экология-(12095)Экономика-(9961)Электроника-(8441)Электротехника-(4623)Энергетика-(12629)Юриспруденция-(1492)Ядерная техника-(1748)

Краткая теория




ИЗУЧЕНИЕ ПРИНЦИПА ДЕЙСТВИЯ ЛАЗЕРА И ОПРЕДЕЛЕНИЕ ПАРАМЕТРОВ ЛАЗЕРНОГО ИЗЛУЧЕНИЯ

ЛАБОРАТОРНАЯ РАБОТА 13

 

 

Цель работы: определение длины волны лазерного излучения в видимой области с помощью дифракционной решетки; определение степени поляризации лазерного излучения; определение угла расхождения лазерного луча.

Приборы и принадлежности: гелий-неоновый лазер непрерывного действия, дифракционная решетка, поляроид в оправе, люксметр, экран, оптическая скамья с рейтерами, миллиметровая шкала.

 

ЛАЗЕР (оптический квантовый генератор) – устройство, генерирующее и усиливающее электромагнитное излучение (свет) за счет вынужденного (индуцированного) излучения фотонов активной средой, помещенной в оптический резонатор. Индуцированным называется излучение электромагнитных волн, возникающее при переходе атома из возбужденного состояния в основное под действием внешнего излучения.

Атом находится в основном состоянии, если у него заполнены все нижние энергетические уровни, и в возбужденном состоянии, если существуют нижние незаполненные уровни. С нижнего (основного) уровня на верхний (возбуждённый) переходы возможны только с поглощением кванта энергии, то есть под влиянием излучения, падающего на систему. Такие переходы называют вынужденными (рис.13.1,а).

Рис. 13.1

 

Если атом находится в возбужденном состоянии, то такое состояние неустойчиво. Через очень короткое время (~10 - 8 с) атом перейдет в состояние с меньшей энергией (рис.13.1,б). При этом излучится квант энергии ε = hν (фотон). Такое излучение называют спонтанным (самопроизвольным). Кванты спонтанного излучения несогласованны между собой, поэтому будут отличаться друг от друга длиной волны, направлением, фазой колебаний, плоскостью поляризации.

Излучение обычных источников света (ламп накаливания, газоразрядных ламп и т.д.) возникает за счет актов спонтанного испускания квантов возбуждёнными атомами и поэтому является немонохроматичным, неполяризованным, некогерентным.

У некоторых веществ имеются энергетические уровни, на которых возбуждённые атомы задерживаются до 10 - 4с. Такие уровни называют метастабильными. Если на такой возбуждённый атом подействовать фотоном с энергией , равной разнице энергий между уровнем Ek , на котором находится электрон, и уровнем En, на который он переходит

 

= Ek - En,

 

то произойдёт вынужденный переход и излучится фотон, неотличимый от первичного фотона, вызвавшего это излучение. В этом случае от атома будут распространяться уже два фотона, имеющие строго определённые свойства, заданные первичным квантом: одинаковую длину волны, направление излучения, фазу колебаний, одинаковое положение плоскости поляризации, время излучения (рис.13.1,в).

В обычных условиях количество невозбуждённых атомов в веществе значительно больше, чем возбуждённых. Поэтому преобладающими являются процессы поглощения. Для достижения эффекта усиления света (получения индуцированного излучения) необходимо изменить распределение атомов облучаемого вещества по энергетическим уровням так, чтобы на уровнях с более высокой энергией концентрация электронов была больше, чем на уровнях с более низкой энергией. Такое состояние системы называется инверсией населённости. Инверсия населенностей (от латинского слова inversio–переворачивание) – неравновесное состояние вещества, при котором верхние энергетические уровни атомов более заполнены (заселены), чем нижние.

Рассмотрим конструкцию и принцип действия оптического квантового генератора на примере гелий-неонового лазера.

 

Рис.13.2

 

Для создания активной среды газоразрядная трубка Т (рис.13.2) заполняется смесью гелия и неона с парциальными давлениями 1 и 0.1 мм рт. ст. соответственно. Атомы неона являются рабочим (излучающим) веществом, атомы гелия необходимы для искусственного создания инверсии населенностей. На рис.13.3 показаны энергетические уровни атомов неона и гелия.

 

Рис.13.3

 

Система накачки представлена электродами А и. К, помещёнными в загнутых концах трубки Т (рис.13.2), к которым приложено высокое напряжение от внешнего источника (1500 В). Инверсия населенностей, необходимая для лазерной генерации, достигается путем передачи энергии атомам неона от атомов гелия, возбужденных электрическим разрядом, следующим образом. При электрическом разряде возбуждаются атомы гелия и переходят из основного состояния Е 1 в состояния Е 2 или Е 3.(рис.13.3) Эти энергетические уровни гелия близки к уровням Е 4 или Е 5 неона. Взаимодействуя, соударяясь с атомами неона, атомы гелия передают им свою энергию. Уровни неона Е 4 или Е 5 являются метастабильными, накопление на них энергии создаёт инверсию населённостей. Отдельные атомы неона могут спонтанно переходить из состояний Е 4 и Е 5 в состояние Е 3. Фотоны, которые при этом излучаются, действуют на соседние возбуждённые атомы неона и вызывают индуцированное излучение.

Необходимым компонентом квантового генератора является положительная обратная связь, посредством которой часть излучения возвращается в систему для поддержания в ней генерации. Для этого активная среда помещается в оптический резонатор, обычно состоящий из двух параллельных зеркал S 1 и S 2 (рис..2) с многослойным диэлектрическим покрытием. Коэффициент отражения зеркал 98 - 99%. Коэффициент пропускания света передним («полупрозрачным») зеркалом около 2%, другим («непрозрачным») – 0,1%. Расстояние между зеркалами резонатора устанавливается кратным длине волны генерируемого излучения. Если направление фотонов не совпадает с оптической осью трубки, то они излучаются через её боковую поверхность и не участвуют в создании основного излучения лазера. Фотоны, испускаемые вдоль оси трубки, многократно отражаются от зеркал, вновь и вновь проходя через активную среду и вызывая в ней акты вынужденного излучения. В результате интерференции (наложения) волн происходит экспоненциальный рост интенсивности электромагнитной волны по мере увеличения длины пути, пройденного волной в веществе.

Когда увеличение энергии волны за счет усиления превосходит потери энергии за каждый проход резонатора, начинается генерация. Часть пучка выходит наружу через полупрозрачное зеркало.

Лазерное излучение в отличие от естественного излучения 1) монохроматично, 2) поляризовано, 3) когерентно, 4) имеет малый угол расхождения лазерного пучка. Первые три свойства определяются механизмом индуцированного излучения, четвёртое – устройством оптического резонатора.

 

З А Д А Н И Е 1. Определение длины волны излучения гелий-неонового лазера в видимой области с помощью дифракционной решетки.

 

Условие главных максимумов при дифракции параллельных лучей на дифракционной решетке:

 

d sin φ = k λ,

где d – постоянная решетки, φ – угол дифракции лучей, k – порядок максимума интенсивности (его номер), λ – длина волны излучения. Тогда длину волны можно определить по формуле:

 

λ = d sin φк / k. (13.1)

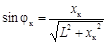
Синус угла φ находят из прямоугольного треугольника:

, (13.2)

где L – расстояние от решетки до экрана, x к расстояние от центрального максимума до максимума k -го порядка.

 

Рис.13.4

 

ПОРЯДОК ВЫПОЛНЕНИЯ ЗАДАНИЯ

1. Расположить на оптической скамье перед выходным окном лазера дифракционную решетку, за ней - экран с листом бумаги (рис.13.4).

Включить лазер. Получить на экране дифракционную картину. Аккуратно отметить положение максимумов нулевого (с наибольшей интенсивностью), первого, второго и т.д. порядков. Лист бумаги снять с экрана, измерить точной линейкой x к вправо и влево от центрального максимума и занести в таблицу 1 с указанием единиц измерения.

 

Таблица 1

Расстояния х кот максимума нулевого порядка до максимумов разных порядков
  Вправо от «0» Влево от «0» Среднее‹ x к sin φк λк (нм)
           
           
           
           
           

 

2. Измерить расстояние L от дифракционной решетки до экрана с точностью до 1 мм. Записать значение постоянной дифракционной решетки d.

3. Вычислить длину волны λ по формуле

,

а её среднеарифметическое значение по формуле

,

где n – число измеренных длин волн.

4. Длину волны лазерного излучения λ в видимой области, измеренную в нанометрах, записать в виде

 

λ = ‹λ› ± Δλ, с вероятностью α = …, ε = …,

 

указывая единицы измеренияы. Здесь α – доверительная вероятность (задается преподавателем). Полуширина доверительного интервала вероятности (абсолютная погрешность измерения) найти как

,

где tα – коэффициент Стьюдента (находится по таблицам для заданного значения α и n), а относительная погрешность измерения равна

.

5. Оценить расхождение измеренной длины волны с паспортным значением (для ЛГ-75 λ Т = 0,63 мкм):

 

,

которое не должно превышать относительную погрешность измерения.

 

З А Д А Н И Е 2. Определение степени поляризации лазерного луча.

 

Если пропустить световой луч через анализатор, то при вращении анализатора вокруг направления луча от 0 до 360˚ интенсивность проходящего света будет изменяться от максимального Ima x до минимального значения Imin. Степенью поляризации луча называется величина

.

В качестве анализатора используется поляроид (поляризатор); регистратором интенсивности излучения служит селеновый фотоэлемент с вентильным фотоэффектом (люксметр). Учитывая, что освещенность Е пропорциональна интенсивности света, а также учитывая поправку на фоновую освещенность Еф фотоэлемента, получаем расчетную формулу

. (13.3)

 

Для плоско-поляризованного луча степень поляризации равна единице, для естественного света – нулю, для частично-поляризованного – принимает значения от 0 до 1.

 

ПОРЯДОК ВЫПОЛНЕНИЯ ЗАДАНИЯ

1. Вместо дифракционной решетки перед выходным окном выключенного лазера на оптической скамье поместить поляризатор во вращающейся оправе и фотоэлемент люксметра.

2. Измерить фоновую освещенность фотоэлемента Еф, перекрывая луч лазера.

3. Вращая поляризатор вокруг направления лазерного луча, измерить Emax и Emin – минимальную и максимальную освещенности, создаваемые лазерным лучом на фотоэлементе люксметра.

4. По рабочей формуле (13.3) рассчитать степень поляризации лазерного излучения.

 

З А Д А Н И Е 3. Определение угла расхождения лазерного пучка.

 

В оптических системах на всех приспособлениях, ограничивающих фронт световой волны (на оправах линз, на диафрагмах), наблюдается явление отклонения световой волны от прямолинейного распространения – дифракция света.

Вследствие дифракции на экране образуется размытое пятно, даже если падающий пучок был идеально параллельным. Распределение интенсивности света в пятне показано на рис.13.5, а угол, под которым наблюдается расстояние ri, определяющее размытость пятна, находится из условия

,

 

где D о – диаметр выходного отверстия лазера, λ – длина падающей волны. При малых углах (Θ ≤ 5о или 0,1 рад) можно принять приближенно sin Θ ≈ Θ, тогда

(13.4)

Для нашего лазера можно принять D о ≈ 1 мм.

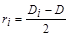
На практике угол расхождения лазерного пучка Θ L определяется не только дифракционными явлениями, поэтому он отличается от Θ. Угол Θ L можно найти, пользуясь схемой, приведенной на рис.13.6:

,

Рис.13.5
где , D – начальный измеренный диаметр лазерного пучка на выходе из окна кожуха, Di – последующие измеренные диаметры пятна на экране, Li - расстояние от D до Di.

 

Окончательно рабочая формула примет вид: . (13.5)

 

 

ПОРЯДОК ВЫПОЛНЕНИЯ ЗАДАНИЯ

1. Наложить лист бумаги на экран. Экран расположить на таком расстоянии от лазера, чтобы диаметр пучка D был ≈ 5 мм. Отметить на экране границы яркой части лазерного пучка.

2. Удаляя экран на расстояние L 1, L 2, L 3,… и т.д. от первого положения, фиксировать на листе бумаги диаметры пятен D 1, D 2…. Желательно выбирать расстояния L i достаточно большими.

 

3. Лист бумаги снять с экрана и измерить диаметры пятенв разных направлениях. Этот лист приложить к отчету. Результаты усредненных измерений диаметров для каждого расстояния записать в таблицу 13.2, указывая единицы измерения.

 

Таблица 13.2

Li   L 1 L 2 L 3 L 4 L 5
Di D D 1 D 2 D 3 D 4 D 5

4. По формуле (13.5) определить углы расхождения лазерного пучка, принимая за D – диаметр наименьшего начального пятна, Di – диаметры пятен, отстоящих на расстоянии Li от D. Обработать полученные значения, как результаты прямых измерений. Окончательный ответ записать в виде:

 

с указанием единиц измерений.

5. По формуле (13.4) определить угол Θ, сравнить с Θ L, сделать вывод.

 

Контрольные вопросы и задания

1. Какое излучение называется монохроматическим? Когерентным?

2. Что такое лазер? На чём основано действие лазеров?

3. Назовите основные составляющие части лазера.

4. Какие функции в лазере выполняют активная среда и резонатор?

5. Что такое накачка, и как она происходит в лазере?

6. Сравните спонтанное и вынужденное излучения.

7. В чем заключается явление инверсии населенностей?

8. Назовите основные характеристики лазерного излучения. Какие особенности устройства лазера обуславливают эти характеристики?

9. Назовите основные области применения лазеров.

 




Поделиться с друзьями:


Дата добавления: 2014-12-16; Просмотров: 921; Нарушение авторских прав?; Мы поможем в написании вашей работы!


Нам важно ваше мнение! Был ли полезен опубликованный материал? Да | Нет



studopedia.su - Студопедия (2013 - 2026) год. Все материалы представленные на сайте исключительно с целью ознакомления читателями и не преследуют коммерческих целей или нарушение авторских прав! Последнее добавление




Генерация страницы за: 0.01 сек.