Студопедия

КАТЕГОРИИ:


Архитектура-(3434)Астрономия-(809)Биология-(7483)Биотехнологии-(1457)Военное дело-(14632)Высокие технологии-(1363)География-(913)Геология-(1438)Государство-(451)Демография-(1065)Дом-(47672)Журналистика и СМИ-(912)Изобретательство-(14524)Иностранные языки-(4268)Информатика-(17799)Искусство-(1338)История-(13644)Компьютеры-(11121)Косметика-(55)Кулинария-(373)Культура-(8427)Лингвистика-(374)Литература-(1642)Маркетинг-(23702)Математика-(16968)Машиностроение-(1700)Медицина-(12668)Менеджмент-(24684)Механика-(15423)Науковедение-(506)Образование-(11852)Охрана труда-(3308)Педагогика-(5571)Полиграфия-(1312)Политика-(7869)Право-(5454)Приборостроение-(1369)Программирование-(2801)Производство-(97182)Промышленность-(8706)Психология-(18388)Религия-(3217)Связь-(10668)Сельское хозяйство-(299)Социология-(6455)Спорт-(42831)Строительство-(4793)Торговля-(5050)Транспорт-(2929)Туризм-(1568)Физика-(3942)Философия-(17015)Финансы-(26596)Химия-(22929)Экология-(12095)Экономика-(9961)Электроника-(8441)Электротехника-(4623)Энергетика-(12629)Юриспруденция-(1492)Ядерная техника-(1748)

Ответы на тест 8 страница




Суретте көрсетілген АК жолының АВ, ВС, СД, ДЕ, ЕК кесінділерінің әрқайсысын автомобиль 5 мин. уақытта жүріп өткен. Жолдың қай бөлігінде автомобильдің жылдамдығы ең үлкен? ДЕ

Cуретте көрсетілген график бойынша идеал газ 1 күйден 2 күйге көшкен кездегі оның көлемі қалай өзгеретіндігін анықтаңыз D) артады

Суретте кескінделген Карно циклі үшін жұмыс денесінің салқындатқышқа берілетін жылу мөлшерін анықтаңыз ((12кДж)

Суретте көрсетілген Карно циклінің қандай бөліктерін изотермалық процесс деп атайды? 1 және 3

Суретте көрсетілген көлбеу жазықтықпен сырғанаған денені тежеуші үйкеліс күшін көрсетіңіз. (F)

Суретте көрсетiлген өткiзгiш зарядталған болса, оның қай нүктесiнде электр өрiсiнiң кернеулiгi ең көп мәнге ие болады? (4)

Суретте көрсетілген процесс кезінде газ 1-ші күйден 2-ші күйге өткендегі орындалатын жұмыс қаншаға тең? 400 Дж

Суретте көрсетiлген тiзбектегі (А) амперметр 3 А ток күшiн көрсетедi. Егер R1=2 Ом, R2=4 Ом болса, А1 амперметрiнiң көрсетуi қанша болады? (2 А)

Суретте көрсетiлгендей, жазық конденсаторды жартысына дейiн майға (e=3) батырғанда, оның сыйымдылығы қалай өзгередi? 2 есе өседi

Суретте көрсетiлгендей, түйiнде тогы бар бес өткiзгiш түйіседі. Егер I2=3А, I3=4А, I4=2 А, I5=5А болса, I1 тогының күшi қанша болады? 2 A

Суретте көрсетiлгендей етiп жалғанған конденсаторлар батареясының жалпы сыйымдылығы қанша болады? Егер С1=6 мкФ, С234=3 мкФ? 7 мкФ

Суретте қандай процестің диаграммасы көрсетілген? Изотермалық

Суретте массалары және ұзындықтары бірдей бірнеше біртекті стерженьдер кескінделген. Қайсысының ОО/ осіне қатысты инерция моменті ең үлкен: D)

Cуретте теңдеу түрі болатын материалды нүктенің тербеліс графигі көрсетілген. Бастапқы фазасы неге тең? B)

Суреттегiдей жалғанған бiрдей конденсаторлардан тұратын батареяның сыйымдылығы қандай болады? E) С

 

Сутегі молекулаларының орташа арифметикалық жылдамдығы 200 м/с. Осы температурадағы оттегі молекулаларының орташа арифиметикалық жылдамдығы неге тең: 50 м/с

Суы бар ыдыстардың салмағы мен табандарының аудандары бірдей. Олардың қайсысының түбіне көбірек қысым түседі және неше есе? C) Р12

Сүйір бұрышы a-ға тең көлбеу жазықтықта қозғалмай тұрған массасы m денеге әсер етуші үйкеліс күші қандай? (m - үйкеліс коэффициенті). mg sіnaв

Сұйық ішіндегі гидростатикалық қысым:
Төменде келтірілген қасиеттердің қайсысы қатты денеге тән: Пішін мен көлем тұрақтылығы.

Сұйық құйылған жабық ыдыстың тұрақты температурада бос көлемін екі есе ұлғайтады. Тепе-тендік орналғаннан кейін: Қаныққан будың қысымы өзгермейді.

Сұйық пен қаныққан бу арасындағы физикалық қасиеттердегі айырмашылық жойылу кезіндегі температура қалай деп аталады? кризистік температура

Сұйықта жылдамдықпен қозғалған шарға әсер етуші кедергі күшін көрсетіңіз (Стокс заңы).

Сұйықтарда электр тогының өтуін..деп атайды. электролиз

Сұйықтың беттік керілуінің болуы себебі:1. Беттік қабаттың температурасының жоғары болуына.2. Беттік қабаттың температурасының төмен болуына.3. Беттік қабаттағы молекулаларға ішкі қабат молекулаларының әсерінен пайда болатын қосымша күшке байланысты (3)

Сұйықтың қайнай бастаған кезінен толық буланып біткенге дейінгі температурасы қалай өзгереді? өзгеріссіз қалады

Сфералық конденсатордың астарларындағы потенциалдар айырымын 3 есе көбейткенде, оның сыйымдылығы қалай өзгередi? өзгермейдi

Схемадағы түйін үшін орындалған Кирхгофтың бірінші заңын орындалуын көрсет. I1 – I2 + I3 – I4 – I5 = 0

Сызбадағы жылдамдық бойынша таралу функциясы берілген. Штрихталған жолақ ауданы нені өрнектейді: Жылдамдықтары V мен V+dV интервалында жататын молекулалардың салыстырмалы саны

Сызбадағы жылдамдық бойынша таралу функциясынан газ молекулаларының ең ықтимал жылдамдығын көрсетіңіз (2)

Сызықтық гармониялық осциллятор қандай күштің әсерінен тербеледі: Квазисерпімді күш.

Сыйымдылығы 20 нФ конденсатор астарларына 1,2 В кернеу берілген. Конденсатордың заряды қандай? 24 нКл

Сыйымдылығы 24 мкФ конденсатордың астарларындағы заряд 12 мкКл тең. Конденсатордың астарларын өткiзгiшпен тұйықтағанда, бөлiнiп шығатын жылу мөлшерi қанша болады? 3 мкДж

Сыйымдылығы 40 л баллонда массасы 2 г көмірқышқыл газ бар. Баллон 3 кПа қысымға ғана шыдай алады. Қандай температурада жарылыс болады? 45оС

Сыйымдылығы 70 м3 бөлменің температурасы 280 К пешті жағып қыздырғанда температура 296 К-ге көтерілді. Егер қысым тұрақты 100 кПа тең болса, ауаның ұлғаю кезіндегі жұмысы неге тең? 400 кДж

Сыйымдылығы С0 бірдей екі ауа конденсаторы параллель қосылған. Конденсаторлардың біреуін диэлектрлік өтімділігі диэлектрикпен толтырса, онда батареяның сыйымдылығы неге тең?

Сыйымдылықтары 12 мкФ үш конденсатор тiзбектей жалғанған. Бұл батареяның жалпы сыйымдылығы қанша болады? 4 мкФ

Сыйымдылықтары 9 мкФ, үш конденсатор параллель жалғанған. Бұл батареяның жалпы сыйымдылығы қанша болады? 27 мкФ

Сынапты барометр 750 мм қысымды көрсетеді. Егер сынаптың орнында су болса, барометрдегі сұйық бағананың биіктігі қандай болар еді? (Судың тығыздығы 103 кг/м3, сынаптың тығыздығы 13,6×103 кг/м3). 10,2м

Сыртқы күштердің әсері тоқтатылғаннан кейін, дененің бастапқы өлшемдері мен пішінін қабылдайтын жағдайдағы деформация қалай аталады? серпімді

Сыртқы күш тербелісінің амплитудасы тұрақты болса, еріксіз тербелістің амплитудасы жиілігі артуымен... алғашқыда артады, максимумге жеткен соң кемиді

Сыртқы күштің әсерінен идеал газда істелінген жұмыс ішкі энергия өзгерісіне тең болса, идеал газ сығылған кезде қандай процесс орындалады?ь Адиабаталық

Сыртқы мәжбүр етуші күштің тербеліс жиілігі жүйенің меншікті тербеліс жиілігіне тең болғанда жүйенің тербеліс амплитудасының кенет арту құбылысын … деп атайды. резонанс

Сыртқы электр өрiсiнің әсерінен диэлектриктердiң полярлы емес молекулалары қандай күйге көшеді? оларда дипольдік момент пайда болады

Тарту күші 100 Н ракета 10 м қашықтыққа орын ауыстырады, осы кездегі ракета қозғалтқышының жұмысын анықтаңыз: 1000 Дж

Тас 1000 м биіктіктен құлайды. Түсу кезеңінің алғашқы 2 секундында ол қандай жол жүреді? м/с2. 20 м

Тас горизонтқа 30о бұрышпен лақтырылған. Тастың бастапқы қозғалыс кезіндегі толық (а 1) үдеуі және траекторияның жоғары нүктесіндегі (а2) үдеуі қандай болады? а 1= а 2=9,8 м/с2

Тасымалдау құбылысының қайсысы газдың бір қабатынан екінші қабатына импульсты тасымалдау арқылы іске асады? тұтқырлық, ішкі үйкеліс

Те

Температурасы Т1-ден Т2-ге дейін өзгерген кездегі берілген газ массасын суыту процесі суретте кескінделген. Бұл процесс кезінде газ тығыздығы қалай өзгерді? Өзгермейді

Темір жол бойымен 500 м/с жылдамдықпен ұшып бара жатқан снаряд, массасы 10 т жүгі бар платформаға еніп, сонда қалады. Осы кезде тыныш тұрған платформа қандай жылдамдық алған болар еді? Снарядтың массасы 100 кг. 4,95 м/с

Темір жол вагонының буферлік серіппесіне F1 =30 кН күш түсірілгенде l 1=1 см-ге сығылады. Серіппені l 2=4 cм-ге сығу үшін қандай күш қажет? 120 кН

Температура градиентін 3 есе арттырса, жылу ағынының тығыздығы қалай өзгереді? 3 есе артады

Температураның молекула-кинетикалық түсініктемесінің мәні неде? Молекулалар мен атомдардың жылулық қозғалысының орташа кинетикалық энергиясының өлшемі

Температурасы 0 C массасы 1 кг мұзды толық еріткенде энтропияның өзгеруі неге тең болады? Мұздың меншікті балқу жылуы 327,6 кДж/кг. 1200 Дж/К

Теннис добы вертикаль жоғары 12 м/с жылдамдықпен лақтырылды. Оның көтерiлу биiктiгiн анықтаңыз: 7,2 м

Теннис добы жоғары 10м/с жылдамдықпен лақтырылды. Оның көтерілу биіктігін анықтаңыз: 5 м

Теңдеулердің қайсысы кризистік нүктедегі реал газ күйін сипаттайды?

Теңіз тереңдігін анықтау үшін кемеден эхолот арқылы толқын жіберілген. Оның теңіз түбінен шағылып кері қайтуы үшін 6 с уақыт кеткен. Судағы толқынның жылдамдығы 1500 м/с болса, теңіздің тереңдігі қандай? 4500 м

Теплоход өзенде ағыс бағытымен 300 км арақашықтықты 20 км/сағ жылдамдықпен 10 сағат уақытта жүзіп өткен. Судың ағыс жылдамдығын табыңыз. 10 км/сағ

Тербелген нүктенің бір толық тербеліс жасауына кеткен уақыты тербелістің … деп атайды. периоды

Тербеліс жиілігін 3 есе арттыру үшін, математикалық маятниктің ұзындығын қалай өзгерту керек? 9 есе қысқарту керек

Тербеліс периоды мен жиілігін байланыстыратын теңдеу: T=1/ν

Тербеліс тендеуі мынадай: х=a×cosw(t+t), мұндағы w= p, c-1 болса, тербеліс периоды қанша болады? 2 с

Тербеліс теңдеуінің түрі: . Төменде келтірілген өрнектердің қайсысы фаза болып табылад

Тербеліске қандай процесс жатпайды? Газдағы молекулалық қозғалысы

Тербелістегі нүктенің тепе-теңдік күйден максимал ығысуын … деп атайды. амплитуда

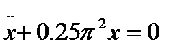
Тербелістердің дифференциалды теңдеуі түрінде берілсе, өшпейтін гармоникалық тербелістің жиілігі неге тең? 0,25 Гц

Тербелістің еркіндік дәрежесіне қандай орташа энергия келеді? кТ

Термодинамикалық жүйеде көлем өзгергенде жасалынатын жұмысты есептейтін формуланы көрсетіңіз.

Термодинамикалық жүйенің тепе-теңдік емес күйден тепе-теңдік күйге ауысу процесі қалай аталады? релаксация

Термодинамикалық параметрлерді атаңыз. температура, қысым, көлем

Термодинамиканың бірінші бастамасының жалпы түрдегі өрнегін көрсетіңіз.

Термодинамиканың бірінші заңын сипаттайтын өрнекті көрсетіңіз.

Термодинамиканың екінші бастамасы нені анықтайды? табиғаттағы процестер бағытын

Ток көзі электр қозғаушы күшінің анықтамасын тұжырымдайтын формула:

Толқын көзінен таралған толқынның тербеліс жиілігі 0,2 с-1, таралу жылдамдығы 10 м/с. Осы толқынның ұзындығы неге тең? 50 м

Толқын серпімді ортада =100 м/с жылдамдықпен тарайды. Тербеліс фазасы қарама-қарсы болатын ортаның, нүктелер арасындағы қашықтығы 1м. Тербеліс жиілігін анықтаңыз. 50 Гц

Толқын теңдеуі (м) түрінде берілген. Толқын қанша уақытта толқын ұзындығына тең қашықтыққа тарала алады? 0,1 с

Толқын ұзындығы неге тең? (20 м)

Толқын теңдеуінің түрі: (м). Толқынның фазалық жылдамдығы неге тең? 4 м/с

Толқындық өріс, бұл: Серпімді толқындар таралатын орта.

Толқындық өріс, бұл: Серпімді толқындар таралатын орта.

Толқынның анықтамасын табыңыз. серпімді ортадағы тербелістердің таралуы

Толқынның бір период уақыт ішінде таралу қашықтығы қалай аталады? толқын ұзындығы

Толық бір тербеліс уақытында фаза қаншаға өзгереді?

Төменгі келтірілген өрнектердің қайсысы энергияның сақталу заңына сәйкес келеді?

Төменде берілген формулалардың қайсысы бір атомды газ молекулаларының ілгерілемелі қозғалысының орташа квадраттық жылдамдығының мәнін анықтайды?

Төменде келтірілген математикалық өрнектердің қайсысы өшетін еркін тербелістердің амплитудасын анықтайды: A0 e -bt.

Төменде келтірілген математикалық өрнектердің қайсысы өшетін еркін тербелістердің амплитудасын анықтайды?

Төменде келтірілген өрнектердің қайсысы идеал газ күйінің теңдеуі болады?

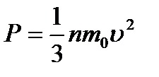
Төменде келтірілген өрнектердің қайсысы идеал газ үшін молекула-кинетикалық теорияның негізгі теңдеуі болып табылады? p= n m0vкв2

Төменде келтірілген өрнектердің қайсысы импульстің сақталу заңына сәйкес келеді

Төменде келтірілген өрнектердің қайсысы молекула-кинетикалық теорияның негізгі теңдеуі деп аталады?

Төменде келтірілген өрнектердің қайсысы молекула-кинетикалық теорияның (МКТ-ның) негізгі теңдеуі болып табылады? р= n< ілг>

Төменде келтірілген өрнектердің қайсысы Ньютонның екінші заңын көрсетеді?

Төменде келтірілген толқындардың қайсысы қума толқындар болып табылады: 1 Электромагниттік толқындар 2 Газдардағы дыбыс толқындары 3 Су бетіндегі толқындар 4 Сұйықтардағы дыбыс толқындары 2 және 4

Төменде келтірілген тұжырымдардың қайсысы термодинамиканың бірінші заңына сәйкес келеді? 1 Газға берілген жылу мөлшері, сол газдың ішкі энергиясын арттыруға және сыртқы күштерге қарсы жұмысқа жұмсалады 2 Тұйық жүйеде болып жатқан процесте энтропия кемуі мүмкін емес 3 Барлық денелердің энтропиясы тепе-теңдік күйде Кельвин шкаласы бойынша нөлге жуық температурада нөлге ұмтылады 4 Қыздырғыштан алынған жылу толығымен жұмысқа айналатын дөңгелек процесс болуы мүмкін емес. Тек 1

Төменде келтірілген формулалардың қайсысы Гук заңының формуласы?

Төменде келтірілген формулалардың қайсысы молекула-кинетикалық теорияның негізгі теңдеуі болып табылады?

Төменде келтірілеген өрнектер арасынан математикалық маятниктің тербелісінің жиілігінің өрнегін көрсетіңіз.

Төмендегі формулалардың қайсысы идеал газдың ілгерілемелі қозғалысының орташа кинетикалық энергиясының өрнегі болып табылады?

Төмендегі формулалардың қайсысы мына анықтамаға сәйкес келеді: бір атомды идеал газдың ішкі энергиясы – газ қысымы мен көлемінің көбейтіндісіне тура пропорционал. U= pV

Төмендегі шарттардың қайсысы оқшауланған термодинамикалық жүйеде өтетін қайтымды процесті қанағаттандырады? Жүйенің энтропиясы өзгеріссіз қалады.

Трамвай вагоны бұрылыста модулi тұрақты болған 5 м/с жылдамдықпен қозғалады. Егер жолдыңң қисықтық радиусын 50м болса, оның центрден тепкiш үдеуi неге тең? 0,5м/с

Трамвай вагоны бұрылыста тұрақты 5 м/с жылдамдықпен бұрылған. Егер жолдың қисықтық радиусі 50 м болса, оның центрге тартқыш үдеуі қандай? 0,5 м/с2

Транзисторда қанша p-n ауысу бар? 2

Түзу бойымен х = 10+5t+0,5t2 заңы бойынша қозғалатын бөлшек үшін аx үдеудің уақытқа тәуелділігін қай өрнек дұрыс сипаттайды? аx=1м/с2

Тұ

Тұжырымдаманың қайсысы молекулалық-кинетикалық теорияның негізгі қағидасына жатпайды? зат бөлшектері бір-бірімен өзара әсерлеседі

Тұйық тізбектің сыртқы кедергісі ток көзінің ішкі кедергісіне тең болса, электр жүйесіндегі пайдалы әсер коэффициенті қандай? 50%

Тұйық денелер жүйесі дегеніміз не? сыртқы күштердің әсері болмайтын (демек, тек бір-бірімен әсерлесетін) денелер жиынтығы

Тұйық контур бойынша электрстатикалық өріс кернеулігінің циркуляциясы неге тең болады? 0

Тұйық процесс жасау кезінде, газ қыздырғыштан 4 кДж мөлшерде жылу алды. Оның ПӘК-і 0,1 тең болса, онда цикл кезінде газдың істеген жұмысы қандай?б 400Дж

Тұйық тiзбек үшiн кернеудiң сыртқы кедергiге тәуелдiлiгi мына өрнекпен берiледi: (В). Ток көзiнiң ЭҚК-i қанша болады? 4 В

Тұйық тiзбек үшiн Ом заңының формуласын көрсетiңiз.

Тұйық тiзбек үшiн ток күшiнiң сыртқы кедергiге тәуелдiлiгi (А) өрнегiмен берiледi. Ток көзiнiң ЭҚК-i қанша болады? 2,8 В

Тұйық тiзбек үшiн ток күшiнiң сыртқы кедергiге тәуелдiлiгi мынадай: (А).Қысқаша тұйықталу тогының күшi қанша болады? 13 А

Тұрақты F=10 Н күштің әсерімен дене х осі бойымен түзу сызықты қозғалады. Дене қозғалысының теңдеуі x=t2 болса, дененің массасы қандай? 5 кг

Тұрақты жылдамдықпен ұшып бара жатқан самолеттен жүк тасталды. Самолетке байланысты санақ жүйесіндегі тасталынған жүктің трактеориясы қандай болады. Ауа кедергісі ескерілмегенде: Түзу сызық бойынша.

Тұрақты көлем кезіндегі неон газының меншікті жылу сыйымдылығын есептеңіз. Неонның мольдік массасы , . (623 )

Тұрақты көлемдегі идеал газға 75 Дж жылу берілді. Бұл кезде газ қандай жұмыс жасады? 0 Дж

Тұрақты көлемдегі меншікті жылу сиымдылығы формуласында Cv= молекулалардың еркіндік дәрежесін көрсетіңіз. i

Тұрақты көлемдегі меншікті жылу сыйымдылық өрнегінен cV=іR/2М, газдың мольдік массасын көрсетіңіз. М

Тұрақты көлемдегі меншікті жылу сыйымдылық формуласы болса, молекуланың еркіндік дәрежесін көрсетіңіз.

Тұрақты қысымда идеал газда көлемі ∆V-ға ұлғайды. Қандай физикалық шама р×∆V көбейтіндісіне тең? Газдың жасаған жұмысы

Тұрғын толқынның пайда болу себебі: толқындар интерференциясынан

Тұтқырлық үйкеліс құбылысында газ молекулаларымен не тасымалданады? Импульс

Тығыздығы 700 кг/м3 тік төртбұрышты дене өзінің биіктігінің қандай деңгейінің бөлігіне дейін сұйыққа батады, егер тығыздығы 1000 кг/м3 болса? 0,7




Поделиться с друзьями:


Дата добавления: 2014-12-16; Просмотров: 2894; Нарушение авторских прав?; Мы поможем в написании вашей работы!


Нам важно ваше мнение! Был ли полезен опубликованный материал? Да | Нет



studopedia.su - Студопедия (2013 - 2026) год. Все материалы представленные на сайте исключительно с целью ознакомления читателями и не преследуют коммерческих целей или нарушение авторских прав! Последнее добавление




Генерация страницы за: 0.01 сек.