Студопедия

КАТЕГОРИИ:


Архитектура-(3434)Астрономия-(809)Биология-(7483)Биотехнологии-(1457)Военное дело-(14632)Высокие технологии-(1363)География-(913)Геология-(1438)Государство-(451)Демография-(1065)Дом-(47672)Журналистика и СМИ-(912)Изобретательство-(14524)Иностранные языки-(4268)Информатика-(17799)Искусство-(1338)История-(13644)Компьютеры-(11121)Косметика-(55)Кулинария-(373)Культура-(8427)Лингвистика-(374)Литература-(1642)Маркетинг-(23702)Математика-(16968)Машиностроение-(1700)Медицина-(12668)Менеджмент-(24684)Механика-(15423)Науковедение-(506)Образование-(11852)Охрана труда-(3308)Педагогика-(5571)Полиграфия-(1312)Политика-(7869)Право-(5454)Приборостроение-(1369)Программирование-(2801)Производство-(97182)Промышленность-(8706)Психология-(18388)Религия-(3217)Связь-(10668)Сельское хозяйство-(299)Социология-(6455)Спорт-(42831)Строительство-(4793)Торговля-(5050)Транспорт-(2929)Туризм-(1568)Физика-(3942)Философия-(17015)Финансы-(26596)Химия-(22929)Экология-(12095)Экономика-(9961)Электроника-(8441)Электротехника-(4623)Энергетика-(12629)Юриспруденция-(1492)Ядерная техника-(1748)

ПТ'ТТГТТТ 2 страница




225. В связи с тем, что альбинизм у ржи наследуется как аутосомный рецессивный признак, все растения альбиносы будут гомозиготны по рецессивному гену — аа. Частота их в популяции (q2) равна 210/84000 = 1/400 =_0,0025. Частота рецессивного гена а будет равна ]/q2. Следовательно, q = |/0Д)25~ = 0,05.

228. Если ген красной масти животных обозначить через А, а ген белой — а, то у красных животных генотип будет АА (их было 4169), у чалых - Аа (3780), у белых - аа (756). Всегозарегистрировано животных 8705. Можем рассчитать частотугомозиготных красных или белых животных в долях единицы.Частота, например, белых животных будет 756:8705 = 0,09.Следовательно, q2 = 0,09. Частота рецессивного гена а будет q = J/0,09 = 0,3. Частота гена А будет р — 1 — q. Следовательно, р = 1 - 0,3 = 0,7.

229. Альбинизм наследуется рецессивно. Величина 1/20 000 —это q2. Следовательно, частота гена а будет: q — J/l/20000 == 1/141. Частота гена р будет: p = l-q;p=l- 1/141 = 140/141.


Количество гетерозигот в популяции равно 2pq. 2pq = =. 2 х (140/141) х (1/141) = 1/70. Выразив это число в процентах получим 1,4%.

248. В условиях задачи дана частота доминантного гена по системе группы крови Кидд среди некоторой части европейцев: р = 0,458. Тогда частота рецессивного гена q = — 1 — 0,458 = 0,542. Генетическая структура популяции состоит из гомозигот по доминантному гену — р2, гетерозигот Ipq и гомозигот по рецессивному гену q2. Отсюда р2 0,2098; 2pq — 0,4965; q2 = 0,2937. Пересчитав это в %, можем сказать, что в популяции лиц с генотипом 1к"1к" 20,98%; 1к"1кь 49,65%; Ikblkb 29,37%.

Для негров в условиях задачи дано число кидд-положитель-ных лиц, имеющих в генотипе доминантный ген Ik": Ik"Ika и lk"Ikb, т.е. p2+2pq = S0%, или в долях единицы 0,8. Отсюда легко высчитать частоту кидд-отрицательных, имеющих генотип ъь. q2 = 100% - 80% = 20%, или в долях единицы: 1 - 0,8 = 0,2.

Теперь можно высчитать частоту рецессивного гена ь. q = У 0,2 = 0,45. Тогда частота доминантного гена Ik" будет р — 1 — 0,45 = 0,55. Частота гомозигот по доминантному гену 2) равна 0,3 или 30%. Частота гетерозигот Ik"Ikb (2pq) равна 0,495, или приблизительно 50%.

250. Генотипы лиц, имеющих врожденный вывих бедра, АА и Аа (доминантное наследование). Здоровые лица имеют генотип аа. Из формулы р2 + 2pq + q2 ясно, что число гомозиготных по рецессивному гену особей (аа) q2 = 1 — р12pq. Однако приведенное в задаче число больных (6:10000) представляет собой не р2 + 2pq, а лишь 25 % носителей гена А, т. е. 2 + 2pq)/4. Следовательно, р2 + 2pq = (4 х 6)/10 000 = = 24/10000. Тогда q2 (число гомозиготных по рецессивному гену особей) равно 1 - (24/10000) = 9976/10000 = 99,76%.

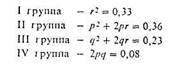
254. Вспомним, что группы крови в системе АВО определяются тремя аллельными генами 1°, 1Л и ]в. Лица с I группой крови имеют генотип 1°1°, II группу крови имеют лица с генотипами 1Л1А и 1Л1°, III группу — с генотипами 1В1В и 1В1°, IV - 1А1В. Обозначим частоты генов Iя через р, 1В -через q, 1° — через г. Формула частот генов: р + q 4- г = 1, частот генотипов: р2 + q2 + г2 + 2pq + 2pr + 2qr = 1. Важно разобраться в коэффициентах — к какой группе крови какие коэффициенты относятся. Исходя из принятых нами обозначений, I группе крови I°I° cooiBeicrBycT г2. II группа складывается из двух генотипов: 1Л1Л, чго соответствует р2 и 1Л1° — соответственно 2рг. III группу также составляют два


генотипа: 1В1В - соответствует q2 и /s/° - соответственно 1рг. IV группу крови определяет генотип 1А1В, чему соответствует Ipq. По условиям задачи можно составить рабочую таблицу:

Из имеющихся данных легко определить частоту гена 1°-г = [/uJJ= 0,574.

Далее для вычисления частот генов 1А и /в мы можем скомбинировать материал в два варианта: по частотам групп крови I и II или же I и III. В первом варианте мы получим формулу р2 + 2рг + г2, во втором - q2 + 2qr + r2.

По условиям задачи р'2 + 2рг + г2 = [р + г)2 = 0,69. Следовательно, я+ г = |/0^69~ = 0,831. Ранее мы высчитали, что г = 0,574. Отсюда р = 0,831 — 0,574 = 0,257. Частота гена 1А равна 0,257.

Таким же образом высчитываем частоту гена Iе ■ q2 + 2qr + + г2 = (q + r)2 = 0,56; q + r = 0,56 = 0,748; q = 0,748 - 0,574 = = 0,174. Частота гена 1В равна 0,174.

Примечание. В полученном ответе сумма р + q + г больше 1 на 0,005, это связано с округлением при расчетах.


       
   
 
 

ОТВЕТЫ НА ЗАДАЧИ

10. Лизин — аргинин - глутаминовая кислота - треонин -валин — лейцин - цистеин - тирозин.

15. После воздействия азотистой кислотой не изменяются кодовые триплеты лишь второй и четвертой аминокислот. Цепь белка будет иметь следующее строение: цистеин - глицин — цистеин — изолейцин — серии — глицин — цистеин.

18. 1. Гемоглобин А:


30. 50% красных и 50% желтых. 31. А - ген карликовости, а - ген нормального^ роста. Скрещивались Аа х Аа. 32. А - ген нормального роста, а - ген гигантского роста. 1) АА х аа,

2) АА х Аа, 3) АА х АА, 4) аа х аа. 33. 75 % нормальногороста и 25% карликовых. 34. 69134 растения. 35. 75% раннеспелых и 25% позднеспелых. 40. 1. 75% черных и 25%красных. 2. 50% черных и 50% красных. 51. /. 75% с нормаль-

I ным слухом, 25 % глухонемых. 2. А — ген нормального слуха, а - ген глухонемоты. Генотипы родителей аа и Аа. 54. Все здоровы. 55. 50%. 56. 50%. 59. 50%. 60. 100%. 63. 25%. 64. 75% 67. 50%. 69. 1. 25% красных гладких, 25% красных пушистых, 25% желтых гладких, 25% желтых пушистых. 2. 4 тонны. 72. 25% черные белоголовые, 25% черные со сплошной окраской головы, 25 % рыжие белоголовые, 25 % рыжие со сплошной окраской головы. 74. 1. 9/16, или 56,25%. 2. Надо скрестить купленную собаку с рецессивной по обоим признакам, т. е. с кофейной длинношерстной. 79. 50%. 80 1. 100%. 2. Все здоровы. 3. 25%. 4. Все здоровы. 85. 1. 1/64, или 1,5%. 2. 1/8, или 12,5%. 89. 1. 50% белых, 50% кохину-ровых. 2. Гомозиготными будут 74 белых и 77 черных. 91. 67 гомозиготных черных и 67 гомозиготных белых. 92. /. 6/16, или 37,5%. 2. А - ген комолости, а - ген рогатости, В — ген красной масти, Ъ — ген белой масти. Генотип быка АаВЪ. Генотипы коров: ааВЬ, ааЪЪ, ааВВ, АаВЬ, АаВВ, АаЪЬ. 100. 1. 25% — ксантомы с атеросклерозом, 50% — повышенное содержание холестерина в крови, 25 % — нормальное. 2. Все будут гетерозиготными и иметь повышенное содержание холестерина в крови. ПО. Все мальчики (50%) будут с гипертрихозом. 112. 25%. 114. 25%. 121. 62,5%. 122. 12,5%, из них половина голубоглазых, половина кареглазых. 126. В вариантах 4, 5 и" 7 оплодотворения не произойдет. В вариантах 1, 2 и 8 прорастут все пыльцевые зерна. В вариантах 3 и 6 прорастет лишь 50% пыльцевых зерен: в варианте 3-е S3 в варианте 6-е S1. 128. I, II (1А1°), III (IBI°). 129. Не могут. 130. II (1А1°) и III (1В1°). 136. 25%; II (1А1°) или III (1В1°). 137. 75 %; I или II {1Л1А и 1АР). 139. А - нормальное развитие шерсти, а - отсутствие шерсти. 1) Аа х Аа, 2) Аа х АА,


3) Аа х Аа. 140. 1/3 аа - чешуйчатые карпы, 2/3 Аа - линейныекарпы, АА - гибнут. 141. Платиновых с серебристыми. 149. 37,5%. 153. 7,5%. 155. 1. 31,5%. 2. 45%. 162. 50%, из них III группа-5%, IV группа -45^. 164. 1. 22,5%-с обеимианомалиями; 2,45% — с дальтонизмом; 2,45% — с гемофилией;72,55 % - здоровые. 2. 2,45 % - мальчики.



 



 


2. Возможны те же 16 фенотипических классов и в тех же соотношениях, что и в условии 1

186. Генотипы различных цветовых вариаций A—bb —

голубой цвет, ааВ-------- желтый цвет, А - В------ зеленый цвет


aabb — белый цвет 1 Скрещивались АаВЬ и АаВЬ, генотипы потомства в решетке Пеннета. 2. Зеленые ААВВ и голубые AAbb или Aabb. 190. 1. 15 коричневых, одна платиновая 2. Во всех случаях, когда не могут образоваться двойные рецессивные гомозиготы {aabb), а их образование возможно только в том случае, когда оба родителя будут иметь одновременно хотя бы по одному рецессивному гену из каждого аллеля. 192. /. 165 см. 2. Женщина гомозиготна по всем парам, ее рост 150 см, мужчина гетерозиготен по всем парам, его рост 165 см. 194. Рис 34. 195. Рис. 35 196. Рис. 36. 201. 75 %. 204. Все будут пятипалыми 209. Все буд>т здоровыми. 227. АА - 94,09 %; Аа - 5,82 %; аа - 0,09 % 230. 2pq= 1/158. 232. 2pq = 1/189.

 

КРАТКОЕ ОПИСАНИЕ НАСЛЕДСТВЕННЫХ БОЛЕЗНЕЙ, АНОМАЛИЙ И ПОЯСНЕНИЕ МЕДИЦИНСКИХ ТЕРМИНОВ, ИСПОЛЬЗОВАННЫХ В ЗАДАЧНИКЕ1

Агаммаглобулинемия — отсутствие или резкое снижение содержания белковой фракции гамма-глобулинов в плазме крови. Имеет несколько форм. При одной из них — болезни Брутона — резко понижается устойчивость к бактериальным инфекционным заболеваниям (пневмонии, отитам, сепсису). Дефицит гамма-глобулинов наследуется как рецессивный, аутосомный или рецессивный, сцепленный с полом, признак. № 61, 78, ИЗ.

Акаталазия (акаталаземия) обусловлена отсутствием каталазы в крови и тканях. У половины носителей генов в юношеском возрасте развиваются язвы на деснах, у других акаталаземия проходит бессимптомно. Наследование болезни трактуется как ауто-сомно-рецессивное. № 99.

Альбинизм общий обусловлен инактивацией тирозиназы, вследствие чего меланоциты не способны образовывать меланин. В этих случаях кожа имеет молочно-белый цвет, волосы очень светлые, вследствие отсутствия пигмента в сетчатке просвечивают кровеносные сосуды, глаза имеют красновато-розовый цвет, повышенная чувствительность к свету. Наследуется по аутосомно-рецессивному типу. № 59, 115, 117, 229.

Иногда альбинизм является составной частью сложных синдромов, например галактоземии.

Альбинизм глазной (альбинизм глазного дна) включает ряд морфологических изменений глаза и нарушений его функции: снижения зрения, расстройства цветового зрения и др. При этом пигментация радужной оболочки, а также кожи и волос не изменена. Наследуется как рецессивный признак, сцепленный с Д'-хромосомой. № 175.

1 Цифры в конце описания - номера задач на данное заболевание или признак.

Алькаптонурия сопровождается выделением с мочой гомоген-тизиновой кислоты, подщелоченная моча при этой аномалии быстро темнеет. Проявляется окрашиванием хрящевых тканей, в пожилом возрасте развивается артрит. Аутосомно-рецессивный тип наследования. № 203, 230, 237.

Амавротическая семейная идиотия имеет несколько форм. Детская форма Тея —Сакса обнаруживается на первом году жизни и заканчивается летальным исходом в возрасте 4 — 5 лет вследствие изменений в нервных клетках, главным образом коры больших полушарий и мозжечка. Рецессивно-аутосомное наследование. № 57, 238.

Ангидрозная эктодермальная дисплазия характеризуется комплексом признаков: отсутствием потоотделения и части зубов, скудным оволосением, нарушением терморегуляции. Наследуется как рецессивный, сцепленный с полом признак. № 109, 117.

Ангиокератома — заболевание кожи, характеризующееся появлением преимущественно на тыле пальцев кистей и стоп тёмнокрасных узелков с гиперкератозом на поверхности. Заболевание связано с нарушением обмена фосфата и липидов. Сопровождается почечной недостаточностью, помутнением роговицы глаз, повышением артериального давления. Наследуется как рецессивный, сцепленный с полом признак. № 175.

Ангиоматоз сетчатой оболочки — часть системного заболевания глаз и головного мозга. Выражается в резком расширении и новообразованиях сосудов сетчатки и в дегенерации нервных элементов Наследуется по аутосомно-доминантному типу с пенетрантностью 50%. № 149.

Анемия. Существует ряд форм анемий, обусловленных различными нарушениями в ферментативных системах крови. В настоящее пособие включены задачи по четырем формам, наследственная обусловленность которых выяснена достаточно полно. № 16, 97, 98, 101, 114, 134, 175, 207, 235, 236.

Анемия микроцитариая, или анемия Кули, или талассемия обусловлена расстройством синтеза нормального и взрослого гемоглобина. Кроме нарушения морфологии эритроцитов (мишеневидная форма) наблюдается в различной степени выраженная желтуха, изменения в скелете и др. Гомозиготы в 90 —95 % случаев гибнут в раннем возрасте, у гетерозигот талассемия проходит субклини-чески. Наследование аутосомное с неполным доминированием. № 97, 101, 114, 235.

Анемия серповидноклеточноя обусловлена мутацией гена нормального гемоглобина на 5-гемоглобин. Аномальная молекула гемоглобина при низких напряжениях кислорода в клетке переходит в состояние геля, эритроциты принимают форму серпа или полумесяца. Выражена гипоксия, нарушен внутриклеточный метаболизм. Гомозиготы редко доживают до половой зрелости, у гетерозигот клиническая картина выражена неясно. Наследуется аутосомно с неполным доминированием. № 16, 98, 101, 134, 207.

Носители гена талассемии и серповидноклеточной анемии устойчивы к малярии.

Анемия примахииовая, или фавизм, связана с дефицитом глю-


козо-6-фосфатдегндрогеназы Р г

этот дефект не имеет сущссгп' Риглевскмй (1970) указывает, что ния эритроцита в нормачьаых'Т0 31шчс™я Для функционнрова-приема прнмахина, фенацетина (f,ln."OJIOnil'ecKi!x условиях. После препаратов происходит гемолиз "1"')амидш' " некоторых других вается гемолитическая анемия Н'1с'ГР°ЦИ1ОВ' 'зследствие чег0 РаЗВИ" ленный с А'-хромосомой признак 'j^itc1051 КаК доминантныи> сцсп"

Метгемоглобинемия наследственная oGvrnnn

становления метгемоглобина в гемоглой, о'еНа РУшен"ем Б0С-имеет две формы. Одна связана с мутацией 1 CB°'° очсРедь' она бина в гемоглобины Бостон, Чикаго' Г^Е^^/^" дуется по аутосомно-доминантному типу „ характеризуется тяжелыми патологическими состояниями организма. ДругРая %о* СВЯ- зана с дефицитом фермента диафоразы в эритроцитах наследует ся по аутосомно-рецессивному типу, в большинстве случаев не л чет ярко выраженной клинической картины. № 236.

Аниридия характеризуется отсутствием радужной оболочки Обычно двустороннее заболевание. Сопровождается помутнением роговицы и хрусталика, понижением зрения, иногда катарактой, светобоязнью и др. Наследуется по аутосомно-доминантному типу № 55, 241.

Арахнодактилия, или синдром Марфана, характеризуется сочетанием различных скелетных, глазных и висцеральных аномалий: длинные и тонкие конечности с очень длинными и тонкими пальцами, вывих хрусталика, аневризм аорты, выделение с мочой от-I дельных аминокислот, астеническая конституция. Аутосомно-до-I минантное наследование с пенетрантностью 30 %. № 151, 252.

Афибриногенемия — полное отсутствие в плазме одного из ее белков — фибриногена. Характеризуется кровоточивостью желудочно-кишечного тракта, мочеполовых путей и пр. Клинические проявления сводятся к развитию кровотечений, главным образом после травмы, операций. Тяжелые кровотечения часто заканчиваются смертью. Наследование аутосомно-рецессивное. № 65.

Ахондроплазия, или хондродистрофия плода начинает развиваться в раннем эмбриональном периоде. Характеризуется непропорционально короткими конечностями при нормально развитом туловище, карликовым ростом, нос часто седловидной формы. Подавляющая часть детей гибнет внутриутробно, родившиеся жизнеспособны. Наследуется как доминантный аутосомный признак. № 63, 217, 238.

Близорукость имеет много проявлений и наследуется различно. Довольно широко распространена рабочая, или школьная, близорукость, развивающаяся в юношеском возрасте и не прогрессирую-щаяся в дальнейшем. А. А. Малиновский (1970) указывает, что две формы этой близорукости наследуются независимо друг от друга как доминантные аутосомные признаки. При наличии генов умеренной и высокой близорукости фенотипически выявляется только высокая. Таким образом, ген высокой близорукости оказывается эпи-ст этическим по отношению к гену умеренной. № 76, 77, 84, 179, 221.

 

Брахидактилия, или короткопалость. Проявляется различно. Часто укорачиваются все пальцы за счет определенных фаланг. Есть формы брахидактилии, когда укорачиваются фаланги только отдельных пальцев рук и ног или только кости пястья и плюсны. Наследуется по аутосомно-доминантному типу. В большинстве случаев короткопалые ниже ростом, чем их братья и сестры с нормальными кистями конечностей. № 197, 223, 224.

Ван дер Хеве синдром включает три важнейших признака: повышенную ломкость костей, голубую склеру и глухоту. Наследование аутосомно-доминантное. Однако каждый из трех признаков, определяемых этим геном, имеет свою пенетрантность. Поэтому совпадение всех трех аномалий колеблется от 7 до 44 %. Данные по пенетрантности каждого признака также "колеблются. Меньше всего пенетрирует глухота — от 26 до 60 %; хрупкость костей — от 29 до 63%; голубая склера - около 100%. № 155.

Вильсона болезнь, или гепато-церебральная дистрофия, связана с нарушением синтеза белка церулоплазмина, транспортирующего медь, которая в избытке откладывается в печени, мозге, почках, роговице и ряде других органов. Развивается цирроз печени, происходят дегенеративные изменения ткани мозга, нарушается перенос глюкозы, аминокислот, мочевой кислоты и фосфата в почечных канальцах. Наследуется как аутосомно-рецессивный признак. Заболевание, как правило, начинается в возрасте 10—15 лет. № 54.

Вывих бедра врожденный наследуется как аутосомный доминантный признак. Экспрессивность изменчива, средняя пенетрантность составляет 25%. У девочек вывих бедра встречается в 6 раз чаще, чем у мальчиков. № 250.

Галактоземия обусловлена неспособностью использовать галактозу вследствие пониженной активности галактоза- 1-фосфат-уридилтран-сферазы. Выражается комплексом признаков: желтуха, исхудание, цирроз печени, катаракта, слабоумие и др. Наследуется как аутосомно-рецессивный признак. № 53, 239.

Гемералопия — ночная, или куриная, слепота. Неспособность видеть при сумеречном или ночном освещении. Обычно является составной частью каких-либо синдромов. Чаще наследуется как рецессивный, сцепленный с А"-хромосомой признак. Имеется аутосомно-рецессивный тип наследования. К. Штерн (1965) приводит случай аутосомно-доминантного наследования ночной слепоты. JV» 52, 165, 170, 200, 216, 220.

Гемоглобин — основной белок, содержащийся в эритроцитах и выполняющий транспортную функцию. Наиболее широко распространен гемоглобин А — нормальный гемоглобин. Однако известно множество замещений аминокислот как в а-, так и в Р-цепи. Г. Харрис (1973) приводит 26 вариантов замещений в ое-цепи и 31 вариант — в (3-цепи. Замещение хотя бы одной аминокислоты меняет первичную структуру белка, пространственное расположение его частей и соответственно функцию гемоглобина. Полиморфизм гемоглобинов, видимо, имеет приспособительное значение. Так, выяснено, что гемоглобин S не может быть использован малярийным плазмодием, следовательно, носителя ^-гемоглобина устойчивы к малярии. Вместе с тем гемоглобины с замещенными аминокислотами вызывают аномалии и заболевания различной тяжести, вплоть до летальных исходов: гомозиготы по 5-гемоглобину, гомозиготы по /"-гемоглобину (см. Анемия серповидноклеточная и талассемия).

В настоящее пособие включены задачи на выяснение аминокислотных замещений в некоторых формах гемоглобина, а также по наследованию двух аномальных гемоглобинов № 16, 17, 18, 19, 23, 26, 214.

Гемофилия - несвертываемость крови. Она связана с отсутствием различных факторов свертывания крови, участвующих в образовании плазматического тромбопластина. В задачи включена лишь классическая гемофилия, обусловленная резким снижением антигемофиль-ного глобулина. Наследуется как рецессивный, сцепленный с полом, признак. Есть виды гемофилии, которые наследуются по аутосомно-доминантному и аутосомно-рецессивному типам. В настоящее время различают четыре вида гемофилии. № 107, 115, 137, 164, 171 175, 197, 199.

Гипертрихоз выражается в вырастании волос на крае ушной раковины. Наследуется как сцепленный с Y-хромосомой признак № ПО, 119, 120, 153.

Гиперхолестеринемия связана с дефектом обмена холестерина. Биохимический анализ крови показывает повышенное содержание холестерина, витамина D и каротина. У гомозигот на коже в области локтевых, коленных и межфаланговых суставов развиваются узелковые ксантомы — доброкачественная опухоль. В связи с поражением сердечно-сосудистой системы рано развивается стенокардия и инфаркт миокрада Наследуется через аутосомы как доминантный признак (в гомозиготном состоянии проявление заболевания резко усиливается) № 100, 238.

Гипоплазия эмали выражается в резком истончении эмали, сопровождается изменением цвета зубов. Наследуется как доминантный, сцепленный с полом признак. № 106.

Гипофосфатемия — заболевание костной системы, напоминает рахит. Обусловлена пониженной активностью щелочной фосфатазы печени. С мочой выделяется фосфоэтаноламин, содержание кальция в крови иногда повышается. Наследуется по аутосомно-рецессивному типу. № 56.

Глаукома связана с нарушением оттока внутриглазной жидкости через угол передней камеры, что ведет к различным патологическим изменениям и, в конечном итоге, к потере зрения. Существует много форм, различных по характеру проявления и типу наследования. Часть наследуется по аутосомно-доминантному типу, часть — по аутосомно-рецессивному, имеются формы с неполной пе-нетрантностью. Встречаются не наследственные формы фенокошш № 82.

Глухонемота связана с врожденнной глухотой, которая препятствует усвоению речи. Различают глухоту звуковоспршшмающею и звукопроводящего типа. Наследственно о5;,с ювлено около половины всех заболеваний, другая половина — фенокопии. Наследственные формы чаще передаются рядом неаллельных аутосомных рецессивных генов. Имеются аутосомно-доминантные и рецессивные, сцепленные с Х-хромосомой формы. № 51, 81, 85, 197, 208, 231.

Группы крови. К настоящему времени известно более ста различных антигенов крови человека, которые объединяются в несколько систем. Наиболее полно изучена система АВО, представляемая минимум тремя состояниями гена (тремя аллелями) одного локуса. Системы Кель-Келлано, Лютеран, Кидд, Джей, Райт, Люис и ряд других определяются парой аллельных генов. Существуют системы, определяемые несколькими парами генов из разных ло-кусов, например резус-фактор. Распространение тех или иных генов среди различных популяций на земном шаре разнообразно. Некоторые авторы пытались связать антигенный полиморфизм с защитными реакциями организма. Удалось установить корреляцию между группами крови и некоторыми терапевтическими и инфекционными заболеваниями. № 127, 128, 129, 130, 131, 132, 133, 134, 135, 136, 137, 162, 169, 171, 172, 175, 182, 242, 243, 244, 245, 246, 247, 248, 249, 253, 254, 255.

Дальтонизм (ахроматопия), или частичная цветовая слепота. Различают слепоту на красный цвет — протанопию, зеленый — дейтера-нопию и синий цвет — тританопию. Наследуется как рецессивный, сцепленный с полом признак. Есть формы, наследуемые по ауто-сомно-рецессивному типу. № 108, 111, 114, 116, 118, 122, 136, 164, 165, 170, 171, 175, 206, 220.

Дегенерация роговицы — изменения в различных участках тканей роговицы, которые ведут к потере зрения. Имеется несколько форм заболевания, отличающихся по характеру морфологических изменений, срокам наступления дегенерации и типу наследования. Большинство форм наследуется по аутосомно-доминантному типу, реже встречаются аутосомно-рецессивные. № 62.




Поделиться с друзьями:


Дата добавления: 2014-11-29; Просмотров: 713; Нарушение авторских прав?; Мы поможем в написании вашей работы!


Нам важно ваше мнение! Был ли полезен опубликованный материал? Да | Нет



studopedia.su - Студопедия (2013 - 2026) год. Все материалы представленные на сайте исключительно с целью ознакомления читателями и не преследуют коммерческих целей или нарушение авторских прав! Последнее добавление




Генерация страницы за: 0.011 сек.