Студопедия

КАТЕГОРИИ:


Архитектура-(3434)Астрономия-(809)Биология-(7483)Биотехнологии-(1457)Военное дело-(14632)Высокие технологии-(1363)География-(913)Геология-(1438)Государство-(451)Демография-(1065)Дом-(47672)Журналистика и СМИ-(912)Изобретательство-(14524)Иностранные языки-(4268)Информатика-(17799)Искусство-(1338)История-(13644)Компьютеры-(11121)Косметика-(55)Кулинария-(373)Культура-(8427)Лингвистика-(374)Литература-(1642)Маркетинг-(23702)Математика-(16968)Машиностроение-(1700)Медицина-(12668)Менеджмент-(24684)Механика-(15423)Науковедение-(506)Образование-(11852)Охрана труда-(3308)Педагогика-(5571)Полиграфия-(1312)Политика-(7869)Право-(5454)Приборостроение-(1369)Программирование-(2801)Производство-(97182)Промышленность-(8706)Психология-(18388)Религия-(3217)Связь-(10668)Сельское хозяйство-(299)Социология-(6455)Спорт-(42831)Строительство-(4793)Торговля-(5050)Транспорт-(2929)Туризм-(1568)Физика-(3942)Философия-(17015)Финансы-(26596)Химия-(22929)Экология-(12095)Экономика-(9961)Электроника-(8441)Электротехника-(4623)Энергетика-(12629)Юриспруденция-(1492)Ядерная техника-(1748)

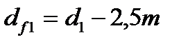
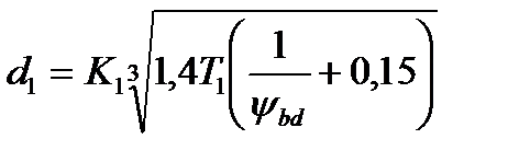
Делительный диаметр шестерни находится из условия контактной прочности зубьев




Реечную передачу можно рассматривать как частный случай цилиндрической зубчатой передачи, у которой колесо превращено в рейку.

, где - крутящий момент на валу шестерни, Нм; - коэффициент ширины зубчатого венца.

, где - допускаемое контактное напряжение, ; - предел контактной выносливости поверхностей зубьев, соответствующий базовому числу циклов перемены напряжений, МПа, (для нормализованных и улучшенных сталей твердостью , для сталей, подвергнутых объемной закалке твердостью , для цементируемых сталей твердостью ); -коэффициент безопасности (при нормализации, улучшении и объемной закалке зубьев = 1,1, при цементации, азотировании и цианировании = 1,2); - коэффициент долговечности, учитывающий влияние срока службы и режима нагрузки передачи, , где - базовое число циклов изменения напряжений (для сталей = 107, для цветных металлов = 108); - рабочее число циклов изменения напряжений.

Для нормализованных и улучшенных колес находится в пределах 1…2,6, для длительно работающих передач = 1.

Величина перемещения рейки , где - угол поворота шестерни, град.

Скорость рейки , м/с.

Для нормальной работы реечной передачи необходимо, чтобы число зубьев шестерни . Из этого условия выбирается число зубьев шестерни. Модуль зубьев , модуль округляется до стандартного значения по ГОСТ 9563. Далее уточняется делительный диаметр шестерни .

Для шестерни, нарезанной без смещения, диаметр окружности вершин зубьев , диаметр окружности впадин .

Толщина зуба шестерни по дуге делительной окружности .

Шаг зубьев по делительной окружности шестерни .

Шаг зубьев рейки . Число зубьев рейки , где - длина нарезанной части рейки, мм. Число зубьев рейки округляется до целого значения.

Ширина рейки , мм.

Ширина шестерни , мм.




Поделиться с друзьями:


Дата добавления: 2014-11-29; Просмотров: 538; Нарушение авторских прав?; Мы поможем в написании вашей работы!


Нам важно ваше мнение! Был ли полезен опубликованный материал? Да | Нет



studopedia.su - Студопедия (2013 - 2025) год. Все материалы представленные на сайте исключительно с целью ознакомления читателями и не преследуют коммерческих целей или нарушение авторских прав! Последнее добавление




Генерация страницы за: 0.007 сек.