Студопедия

КАТЕГОРИИ:


Архитектура-(3434)Астрономия-(809)Биология-(7483)Биотехнологии-(1457)Военное дело-(14632)Высокие технологии-(1363)География-(913)Геология-(1438)Государство-(451)Демография-(1065)Дом-(47672)Журналистика и СМИ-(912)Изобретательство-(14524)Иностранные языки-(4268)Информатика-(17799)Искусство-(1338)История-(13644)Компьютеры-(11121)Косметика-(55)Кулинария-(373)Культура-(8427)Лингвистика-(374)Литература-(1642)Маркетинг-(23702)Математика-(16968)Машиностроение-(1700)Медицина-(12668)Менеджмент-(24684)Механика-(15423)Науковедение-(506)Образование-(11852)Охрана труда-(3308)Педагогика-(5571)Полиграфия-(1312)Политика-(7869)Право-(5454)Приборостроение-(1369)Программирование-(2801)Производство-(97182)Промышленность-(8706)Психология-(18388)Религия-(3217)Связь-(10668)Сельское хозяйство-(299)Социология-(6455)Спорт-(42831)Строительство-(4793)Торговля-(5050)Транспорт-(2929)Туризм-(1568)Физика-(3942)Философия-(17015)Финансы-(26596)Химия-(22929)Экология-(12095)Экономика-(9961)Электроника-(8441)Электротехника-(4623)Энергетика-(12629)Юриспруденция-(1492)Ядерная техника-(1748)

Методи та засоби задання послідовності робіт




Завдання послідовності робіт

Визначення діяльності

Визначення діяльності – це ідентифікція та документація певних робіт, що мають бути виконані для отримання результатів проекту.

Необхідими даними для визначення діяльності є:

· ієрархічна структура робіт, яка передбачає групування елементів проекту;

· опис змісту проекту, що являє собою документальну основу для прийняття рішень і підтвердження або вироблення загального розуміння відносно змісту проекту між зацікавленими особами;

· інформація з архіву про роботи які виконувалися в попередніх аналогічних проектах;

· обмеження – це чинники, що обмежують виконання деяких робіт;

 

В результаті визначення діяльності складається:

· перелік робіт, які мають бути виконані по проекту;

· допоміжні деталі, які включають документацію по всіх заданих припущення і обмеженнях;

· корегування ієрархічної структури робіт, з метою їх уточнення.

 

Завдання послідовності робіт включає визначення і документування взаємодій між роботами.

Роботи мають бути розташовані в точному порядку для полегшення майбутнього складання реального і здійсненого календарного плану.

Для завдання послідовності робіт необхідно мати:

· перелік робіт;

· описання продукту, тому що характеристики продукту часто впливають на послідовність робіт з його створення;

· дискретну залежність – це залежність між проектними та непроектними роботами;

· обмеження;

· припущення.

 

Основними методами можна вважати:

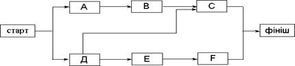
1. Метод попередніх сітьових діаграм(РДМ) – це метод побудови сітьових діаграм проекту з використанням вузлів зі зазначенням робіт і стрілок для ілюстрації зв`язку між ними. Цей метод використовується в більшості сучасних програмних комплексів і представлений на рис 4.1.

 

 

Рис 4.1 Сітьова діаграма в системі РДМ.

 

Система РДМ включає чотири типи залежності між роботами:

· “фініш” – “старт” – попередня робота повинна фінішувати раніше, ніж стартуватиме наступна робота;

· “фініш” – “фініш” – попередня робота повинна фінішувати до того, як фінішуватиме наступна робота;

· “старт” – “старт” – попередня робота повинна стартувати перед тим, як починається наступна робота;

· “старт” – “фініш” – попередня робота повинна стартувати перед тим, як фінішуватиме наступна робота.

 

2. Метод стрілочних сітьових діаграм (АДМ) – це метод побудови сітьових даграм проекту з використанням стрілок для зображення робот та вузлів для відображення подій, що вказують на початок і закінчення кожнї роботи.

 

 

Рис 4.2 Сітьова діаграма в системі АДМ.

 




Поделиться с друзьями:


Дата добавления: 2014-11-29; Просмотров: 770; Нарушение авторских прав?; Мы поможем в написании вашей работы!


Нам важно ваше мнение! Был ли полезен опубликованный материал? Да | Нет



studopedia.su - Студопедия (2013 - 2025) год. Все материалы представленные на сайте исключительно с целью ознакомления читателями и не преследуют коммерческих целей или нарушение авторских прав! Последнее добавление




Генерация страницы за: 0.011 сек.