Студопедия

КАТЕГОРИИ:


Архитектура-(3434)Астрономия-(809)Биология-(7483)Биотехнологии-(1457)Военное дело-(14632)Высокие технологии-(1363)География-(913)Геология-(1438)Государство-(451)Демография-(1065)Дом-(47672)Журналистика и СМИ-(912)Изобретательство-(14524)Иностранные языки-(4268)Информатика-(17799)Искусство-(1338)История-(13644)Компьютеры-(11121)Косметика-(55)Кулинария-(373)Культура-(8427)Лингвистика-(374)Литература-(1642)Маркетинг-(23702)Математика-(16968)Машиностроение-(1700)Медицина-(12668)Менеджмент-(24684)Механика-(15423)Науковедение-(506)Образование-(11852)Охрана труда-(3308)Педагогика-(5571)Полиграфия-(1312)Политика-(7869)Право-(5454)Приборостроение-(1369)Программирование-(2801)Производство-(97182)Промышленность-(8706)Психология-(18388)Религия-(3217)Связь-(10668)Сельское хозяйство-(299)Социология-(6455)Спорт-(42831)Строительство-(4793)Торговля-(5050)Транспорт-(2929)Туризм-(1568)Физика-(3942)Философия-(17015)Финансы-(26596)Химия-(22929)Экология-(12095)Экономика-(9961)Электроника-(8441)Электротехника-(4623)Энергетика-(12629)Юриспруденция-(1492)Ядерная техника-(1748)

Обработка результатов. Кислотность каждой навески крупы в градусах кислотности определяют объемом 1 моль/дм (н.) раствора гидроокиси натрия




 

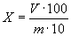
Кислотность каждой навески крупы в градусах кислотности определяют объемом 1 моль/дм (н.) раствора гидроокиси натрия, требующегося для нейтрализации кислоты в 100 г продукта, и вычисляют по формуле

 

,

 

где - объем точно 0,1 моль/дм (н.) раствора щелочи (с учетом поправочного коэффициента к титру щелочи), использованный на титрование, см (мл);

 

- масса навески размолотой крупы, г;

 

- коэффициент пересчета 0,1 моль/дм (н.) раствора щелочи на 1 моль/дм (н.).

Вычисления проводят до сотых долей градуса. Результаты определения кислотности проставляют в документах о качестве крупы с точностью до десятых долей градуса.

Округление результатов испытаний проводят следующим образом: если первая из отбрасываемых цифр меньше пяти, то последнюю сохраняемую цифру не меняют; если же первая из отбрасываемых цифр больше или равна пяти, то последнюю сохраняемую цифру увеличивают на единицу.

 

4.4. За окончательный результат испытания принимают среднее арифметическое результатов двух параллельных определений, допускаемое расхождение между которыми не должно превышать 0,2 градуса.

При контрольных определениях кислотности допускаемое расхождение между контрольным и первоначальным (средним арифметическим результатом двух параллельных определений) определениями не должно превышать 0,5 градуса.

При контрольном определении за окончательный результат испытания принимают результат первоначального определения, если расхождение между результатами контрольного и первоначального определения не превышает допускаемую норму. Если расхождение превышает допускаемую норму, за окончательный результат испытания принимают результат контрольного определения.

 

 

Контрольные вопросы

1. По каким признакам классифицируют крупу?

2. От каких факторов зависит качество крупы?

3. По каким показателям оценивается качество крупы?

4. Назовите режимы хранения крупы.

5. Каковы потребительские достоинства крупы?

6. Назовите дефекты крупы и причины их возникновения.

 




Поделиться с друзьями:


Дата добавления: 2014-12-07; Просмотров: 472; Нарушение авторских прав?; Мы поможем в написании вашей работы!


Нам важно ваше мнение! Был ли полезен опубликованный материал? Да | Нет



studopedia.su - Студопедия (2013 - 2026) год. Все материалы представленные на сайте исключительно с целью ознакомления читателями и не преследуют коммерческих целей или нарушение авторских прав! Последнее добавление




Генерация страницы за: 0.008 сек.