Студопедия

КАТЕГОРИИ:


Архитектура-(3434)Астрономия-(809)Биология-(7483)Биотехнологии-(1457)Военное дело-(14632)Высокие технологии-(1363)География-(913)Геология-(1438)Государство-(451)Демография-(1065)Дом-(47672)Журналистика и СМИ-(912)Изобретательство-(14524)Иностранные языки-(4268)Информатика-(17799)Искусство-(1338)История-(13644)Компьютеры-(11121)Косметика-(55)Кулинария-(373)Культура-(8427)Лингвистика-(374)Литература-(1642)Маркетинг-(23702)Математика-(16968)Машиностроение-(1700)Медицина-(12668)Менеджмент-(24684)Механика-(15423)Науковедение-(506)Образование-(11852)Охрана труда-(3308)Педагогика-(5571)Полиграфия-(1312)Политика-(7869)Право-(5454)Приборостроение-(1369)Программирование-(2801)Производство-(97182)Промышленность-(8706)Психология-(18388)Религия-(3217)Связь-(10668)Сельское хозяйство-(299)Социология-(6455)Спорт-(42831)Строительство-(4793)Торговля-(5050)Транспорт-(2929)Туризм-(1568)Физика-(3942)Философия-(17015)Финансы-(26596)Химия-(22929)Экология-(12095)Экономика-(9961)Электроника-(8441)Электротехника-(4623)Энергетика-(12629)Юриспруденция-(1492)Ядерная техника-(1748)

Оптимизация сетевого графика. Успех выполнения сложных комплексов работ зависит, прежде всего, от четкой координации работ во времени




Успех выполнения сложных комплексов работ зависит, прежде всего, от четкой координации работ во времени, а также от того, насколько правильно и рационально распределены необходимые для достижения поставленной цели материальные, трудовые и финансовые ресурсы.

Поэтому под оптимизацией сетевого графика подразумевается последовательное улуч­шение сети с целью достижения минимального (директивного) срока выполнения комплекса или распределения всех видов ресурсов, с учетом имеющихся ограничений.

Чаще всего сетевые графики сначала оптимизируются по параметру «время», без учета ограничений, а по достижении заданного срока приступают к коррек­тированию распределения ресурсов.

Очередность корректировки по отдельным видам ресурсов устанавливается в зависимости от значения каждого из них в конкретных условиях. Чаще всего оптимизация ресурсов проводится по следующим критериям:

1. Время – трудовые ресурсы;

2. Время – мате­риальные ресурсы;

3. Время – денежные затраты.

Оптимизация сетевого графика по времени предполагает уменьшение общей длительности выполнения комплекса работ до минимальной величины, или до величины соответствующей директивно заданному сроку. Так как общая продолжительность комплекса определяется длиной кри­тического пути, то оптимизация по времени предполагает, прежде всего, уменьшение продолжительности критических работ.

Существует несколько путей оптимизации сетевых графиков по времени:

· Увеличение численности персонала при выполнении работ критиче­ского пути за счет использования ресурсов работ некритической зоны, располагающих резервами времени;

· Уменьшение продолжительности работ критического пути за счет привлечения дополнительного количества исполнителей, если есть соответствующие ресурсы и позволяет фронт работ;

· Совершенствование применяемой базы временных оценок работ, за счет использования новейших достижений научно-технического прогресса и передового опыта при выполнении подобного вида работ;

· Разработка мер по разделению некоторых работ на более мелкие процессы, по которым возможно парал­лельное выполнение;

· Выявление возможности изменения технологии выполнения отдельных групп работ для оптимизации топологии сетевого графика.

 

Все приведенные выше пути оптимизации сетевых графиков, требуют либо привлечения внешних ресурсов, либо внешних директивных воздействий и согласований. Оптимизацию сетевого графика за счет внутренних резервов предполагает только первый путь. Остановимся на нем более подробно.

Определение количества персонала, которое можно перевести с работ имеющих резервы времени на работы критического пути возможно тремя способами:

1. Подбор оптимального количества персонала на критической и некритической работе путем последовательного пересчета параметров сетевого графика для нескольких возможных вариантов.

2. Подбор оптимального количества персонала на каждой из работ комплекса с помощью ЭВМ.

3. Использование специальных уравнений, позволяющих приближенно определить количество персонала, которое необходимо перевести с работ, имеющих резервы, на критические работы для формирования на обеих группах работ оптимальной численности.

В рамках задач настоящего учебного пособия подробного рассмотрения требует 3-й способ.

Прежде всего, выбирается пара родственных работ, выполнение которых требует исполнителей одной и той же профессии. Одна из этих работ должна быть критической, другая должна иметь резерв времени.

Введем следующие обозначения:

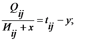
Qij – трудоемкость работы i-j (объем работ);

Иij – число исполнителей задействованных на работе i-j;

tij – продолжительность работы i-j.

Тогда: tij = Qij / Иij,

Обозначим за х – число исполнителей, которое необходимо перевести с некритической работы на критическую, за у – число дней, на которые сократится критическая работа.

Тогда, для того, чтобы задействовать резерв времени, имеющийся у некритической работы (РПi-j) необходимо решить систему уравнений с двумя неизвестными:

– для критической работы;

– для некритической работы,

В результате сокращения длительности одних работ и увеличения длительности других, при сохранении той же топологии, получают новую сеть, требующую пересчета всех временных параметров.

По мере оптимизации графика на нем возникают новые критические пути. В перспективе все пути могут стать критическими. Однако следует учитывать, что при лишении резервов у большинства работ, малейшие сбои в установленном календарном плане, могут вызвать задержки сроков выполнения всего комплекса.




Поделиться с друзьями:


Дата добавления: 2014-12-27; Просмотров: 895; Нарушение авторских прав?; Мы поможем в написании вашей работы!


Нам важно ваше мнение! Был ли полезен опубликованный материал? Да | Нет



studopedia.su - Студопедия (2013 - 2026) год. Все материалы представленные на сайте исключительно с целью ознакомления читателями и не преследуют коммерческих целей или нарушение авторских прав! Последнее добавление




Генерация страницы за: 0.012 сек.