Студопедия

КАТЕГОРИИ:


Архитектура-(3434)Астрономия-(809)Биология-(7483)Биотехнологии-(1457)Военное дело-(14632)Высокие технологии-(1363)География-(913)Геология-(1438)Государство-(451)Демография-(1065)Дом-(47672)Журналистика и СМИ-(912)Изобретательство-(14524)Иностранные языки-(4268)Информатика-(17799)Искусство-(1338)История-(13644)Компьютеры-(11121)Косметика-(55)Кулинария-(373)Культура-(8427)Лингвистика-(374)Литература-(1642)Маркетинг-(23702)Математика-(16968)Машиностроение-(1700)Медицина-(12668)Менеджмент-(24684)Механика-(15423)Науковедение-(506)Образование-(11852)Охрана труда-(3308)Педагогика-(5571)Полиграфия-(1312)Политика-(7869)Право-(5454)Приборостроение-(1369)Программирование-(2801)Производство-(97182)Промышленность-(8706)Психология-(18388)Религия-(3217)Связь-(10668)Сельское хозяйство-(299)Социология-(6455)Спорт-(42831)Строительство-(4793)Торговля-(5050)Транспорт-(2929)Туризм-(1568)Физика-(3942)Философия-(17015)Финансы-(26596)Химия-(22929)Экология-(12095)Экономика-(9961)Электроника-(8441)Электротехника-(4623)Энергетика-(12629)Юриспруденция-(1492)Ядерная техника-(1748)

Chapter 04.06




 

GaussianElimination

After reading this chapter, you should be able to:

1. Solve a set of simultaneous linear equations using Naïve Gauss Elimination,

  1. Learn the pitfalls of Naïve Gauss Elimination Method,
  2. Understand the effect of round off error on a solving set of linear equation by Naïve Gauss Elimination Method,
  3. Learn how to modify Naïve Gauss Elimination method to Gaussian Elimination with Partial Pivoting Method to avoid pitfalls of the former method,
  4. Find the determinant of a square matrix using Gaussian Elimination,
  5. Understand the relationship between determinant of co-efficient matrix and the solution of simultaneous linear equations.

 

How are a set of equations solved numerically?

One of the most popular techniques for solving simultaneous linear equations is the Gaussianelimination method. The approach is designed to solve a general set of n equations and n unknowns

..

..

..

Gaussianelimination consists of two steps

1. Forward Elimination of Unknowns: In this step, the unknown is eliminated in each equation starting with the first equation. This way, the equations are “reduced” to one equation and one unknown in each equation.

2. Back Substitution: In this step, starting from the last equation, each of the unknowns is found.

 

Forward Elimination of Unknowns:

 

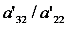
In the first step of forward elimination, the first unknown, x1 is eliminated from all rows below the first row. The first equation is selected as the pivot equation to eliminate x1 . So, to eliminate x1 in the second equation, one divides the first equation by a11 (hence called the pivot element) and then multiply it by a21. That is, same as multiplying the first equation by a21 / a11 to give

Now, this equation can be subtracted from the second equation to give

or

where

This procedure of eliminating , is now repeated for the third equation to the nth equation to reduce the set of equations as

...

...

...

 

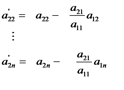
This is the end of the first step of forward elimination. Now for the second step of forward elimination, we start with the second equation as the pivot equation and as the pivot element. So, to eliminate x2 in the third equation, one divides the second equation by (the pivot element) and then multiply it by . That is, same as multiplying the second equation by and subtracting from the third equation. This makes the coefficient of x2 zero in the third equation. The same procedure is now repeated for the fourth equation till the nth equation to give

..

..

..

The next steps of forward elimination are conducted by using the third equation as a pivot equation and so on. That is, there will be a total of (n -1) steps of forward elimination. At the end of (n -1) steps of forward elimination, we get a set of equations that look like

..

..

..

 

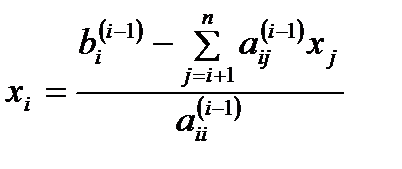
Back Substitution:

 

Now the equations are solved starting from the last equation as it has only one unknown.

Then the second last equation, that is the (n -1) th equation, has two unknowns - xn and xn -1, but xn is already known. This reduces the (n -1) th equation also to one unknown. Back substitution hence can be represented for all equations by the formula

for i = n – 1, n – 2,…,

and

 

 




Поделиться с друзьями:


Дата добавления: 2014-12-27; Просмотров: 460; Нарушение авторских прав?; Мы поможем в написании вашей работы!


Нам важно ваше мнение! Был ли полезен опубликованный материал? Да | Нет



studopedia.su - Студопедия (2013 - 2025) год. Все материалы представленные на сайте исключительно с целью ознакомления читателями и не преследуют коммерческих целей или нарушение авторских прав! Последнее добавление




Генерация страницы за: 0.013 сек.