Студопедия

КАТЕГОРИИ:


Архитектура-(3434)Астрономия-(809)Биология-(7483)Биотехнологии-(1457)Военное дело-(14632)Высокие технологии-(1363)География-(913)Геология-(1438)Государство-(451)Демография-(1065)Дом-(47672)Журналистика и СМИ-(912)Изобретательство-(14524)Иностранные языки-(4268)Информатика-(17799)Искусство-(1338)История-(13644)Компьютеры-(11121)Косметика-(55)Кулинария-(373)Культура-(8427)Лингвистика-(374)Литература-(1642)Маркетинг-(23702)Математика-(16968)Машиностроение-(1700)Медицина-(12668)Менеджмент-(24684)Механика-(15423)Науковедение-(506)Образование-(11852)Охрана труда-(3308)Педагогика-(5571)Полиграфия-(1312)Политика-(7869)Право-(5454)Приборостроение-(1369)Программирование-(2801)Производство-(97182)Промышленность-(8706)Психология-(18388)Религия-(3217)Связь-(10668)Сельское хозяйство-(299)Социология-(6455)Спорт-(42831)Строительство-(4793)Торговля-(5050)Транспорт-(2929)Туризм-(1568)Физика-(3942)Философия-(17015)Финансы-(26596)Химия-(22929)Экология-(12095)Экономика-(9961)Электроника-(8441)Электротехника-(4623)Энергетика-(12629)Юриспруденция-(1492)Ядерная техника-(1748)

Solution. Find the determinantof




Example 6

Find the determinantof

Remember from that at the end of the forward elimination steps of Gaussianelimination with partial pivoting, we obtained

Since rows were switched once during the forward elimination steps of Gaussianelimination with partial pivoting,

.

 

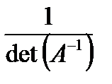
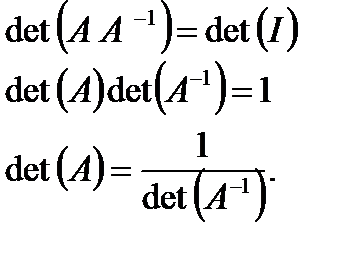
Prove det (A) =

Proof:

[ A ] [ A ]-1 = [ I ]

 

If [ A ] is a n x n matrixand det (A) ¹ 0, what other statements are equivalent to it?

1. [ A ] is invertible.

2. [ A ]-1 exists.

3. [ A ] [ X ] = [ C ] has a unique solution.

4. [ A ] [ X ] = [0] solution is [ X ] =

5. [ A ] [ A ]-1 = [ I ] = [ A ]-1 [ A ].

 

Key Terms:

Naïve GaussElimination

Partial Pivoting

Determinant

 

 

INTRODUCTION OF MATRIX ALGEBRA  
Topic Gaussian Elimination
Summary Textbook notes on Gaussian Elimination
Major All Majors of Engineering
Authors Autar Kaw
Last Revised December 26, 2014
Web Site http://numericalmethods.eng.usf.edu
     

 




Поделиться с друзьями:


Дата добавления: 2014-12-27; Просмотров: 318; Нарушение авторских прав?; Мы поможем в написании вашей работы!


Нам важно ваше мнение! Был ли полезен опубликованный материал? Да | Нет



studopedia.su - Студопедия (2013 - 2026) год. Все материалы представленные на сайте исключительно с целью ознакомления читателями и не преследуют коммерческих целей или нарушение авторских прав! Последнее добавление




Генерация страницы за: 0.013 сек.