Студопедия

КАТЕГОРИИ:


Архитектура-(3434)Астрономия-(809)Биология-(7483)Биотехнологии-(1457)Военное дело-(14632)Высокие технологии-(1363)География-(913)Геология-(1438)Государство-(451)Демография-(1065)Дом-(47672)Журналистика и СМИ-(912)Изобретательство-(14524)Иностранные языки-(4268)Информатика-(17799)Искусство-(1338)История-(13644)Компьютеры-(11121)Косметика-(55)Кулинария-(373)Культура-(8427)Лингвистика-(374)Литература-(1642)Маркетинг-(23702)Математика-(16968)Машиностроение-(1700)Медицина-(12668)Менеджмент-(24684)Механика-(15423)Науковедение-(506)Образование-(11852)Охрана труда-(3308)Педагогика-(5571)Полиграфия-(1312)Политика-(7869)Право-(5454)Приборостроение-(1369)Программирование-(2801)Производство-(97182)Промышленность-(8706)Психология-(18388)Религия-(3217)Связь-(10668)Сельское хозяйство-(299)Социология-(6455)Спорт-(42831)Строительство-(4793)Торговля-(5050)Транспорт-(2929)Туризм-(1568)Физика-(3942)Философия-(17015)Финансы-(26596)Химия-(22929)Экология-(12095)Экономика-(9961)Электроника-(8441)Электротехника-(4623)Энергетика-(12629)Юриспруденция-(1492)Ядерная техника-(1748)

Служба DNS призначена для




Протокол DHCP призначений для

1) визначення локальної адреси за ІР-адресою.

2) автоматичного пошуку IP-адреси за відомим символьним іменем вузла.

3) визначення IP-адреси за відомою локальною адресою вузла.

4) динамічного призначення ІР-адреси.

1) визначення локальної адреси за ІР-адресою.

2) автоматичного пошуку IP-адреси за відомим символьним іменем вузла.

3) визначення IP-адреси за відомою локальною адресою вузла.

4) автоматичного призначення ІР-адреси.

16. Якщо у полі номера вузла призначення IP-адреси знаходяться тільки одиниці, то

1) за замовчуванням вважається, що вузол призначення належить тій же мережі, що і вузол, який відправив пакет.

2) вона позначає адресу того вузла, що згенерував цей пакет.

3) пакет з такою адресою призначення повинен розсилатися усім вузлам мережі із заданим номером мережі.

4) пакет з такою адресою призначення повинен розсилатися усім вузлам, які знаходяться у тій же мережі, що і відправник цього пакету.

17. Якщо у полі номера мережі IP-адреси знаходяться тільки нулі, то

1) за замовчуванням вважається, що вузол призначення належить тій же мережі, що і вузол, який відправив пакет.

2) вона позначає адресу того вузла, що згенерував цей пакет.

3) пакет з такою адресою призначення повинен розсилатися усім вузлам мережі із заданим номером мережі.

4) пакет з такою адресою призначення повинен розсилатися усім вузлам, які знаходяться у тій же мережі, що і відправник цього пакету.

18. Рівень мі ж мережевої взаємодії стеку TCP/IP забезпечує

1) надійну передачу повідомлень між віддаленими прикладними процесами за рахунок утворення логічних з'єднань.

2) можливість переміщення пакетів у мережі, використовуючи найбільш раціональний за певним критерієм маршрут.

3) інтеграцію в складену мережу інших мереж.

4) об'єднання усіх служб, які надаються системою користувацьким додаткам.


Програма бакалаврського іспиту з дисципліни "МЕТРОЛОГІЯ"

1. Отримано ряд значень деякої фізичної величини: 1,250; 1,260; 1,260; 1,270; 1,265. Визначити середнє квадратичне відхилення результату спостережень.

1) 0,008;

2) 0,0075;

3) 0,0067;

4) 0,007.

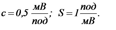
2. У мілівольтметра рівномірна шкала поділена на 100 поділок. Нижня границя вимірювання Uн=-25мВ а верхня Uн=25мВ. Визначити ціну поділки і чутливість даного мілівольтметра

1)

2)

3)

4)

3. Чутливість амперметра становить . Стрілка приладу відхилилась на 10 поділок. Визначити величину струму в електричному колі.

1. 18 А;

2. 22 А;

3. 20 А;

4. 19,5 А.

 

4. Метод порівняння з мірою полягає у тому, що

1) визначається частка від ділення шуканої фізичної величини і вихідної величини нерегульованої міри.

2) визначається різниця між шуканою фізичною величиною та вихідною величиною нерегульованої міри.

3) вимірювальну фізичну величину порівнюють з однорідною фізичною величиною, розмір якої відтворюється мірою.

4) визначається сума шуканої фізичної величини та вихідної величини нерегульованої міри.

5. Метод повного зрівноваження полягає у тому, що:

1) вихідна величина напруги міри регулюється доти, поки стрілка гальванометра не займе крайнього лівого положення шкали.

2) вихідна величина напруги міри регулюється доти, поки стрілка гальванометра не займе положення зліва від "нуля".

3) вихідна величина напруги міри регулюється доти, поки стрілка гальванометра не займе положення справа від "нуля".

4) вихідна величина напруги міри регулюється доти, поки вона не дорівнюватиме вимірювальній напрузі, що відбувається тоді, коли стрілка гальванометра показуватиме "нуль".

7. При споживаної потужності 100 Вт, ватметр показав 102 Вт. Визначити абсолютну і відносну похибки вимірювань:

1) 1 Вт, 1 %.

2) 2 Вт, 1%;

3) 1 Вт, 2 %;

4) 2 Вт, 2 %;

7. Найбільша зведена похибка вимірювання приладу це відношення:

1) найменшої абсолютної похибки до границі вимірювання приладу x 100%

2) найбільшої абсолютної похибки до границі вимірювань приладу x І00%

3) найбільшої абсолютної похибки до найменшої абсолютної похибки x 100%

4) найбільшої відносної похибки до найменшої відносної похибки x 100%.

8. Чи залежить адитивна похибка від значення вимірюваної фізичної величини?

1) Так;

2) Залежність визначається чутливістю вимірювального приладу.

3) Ні;

4) Залежить від умови вимірювання фізичної величини приладами класу точності 0.5;

9. Поправка дорівнює

1) модулю систематичної похибки;

2) модулю систематичної похибки з протилежним знаком;

3) найбільшій зведеній похибці з протилежним знаком;

4) мультиплікативній похибці.

10. Для якого числа вимірювань справедлива формула визначення статичного середнього квадратичного відхилення ?

1)

2)

3)

4)


Програма бакалаврського іспиту з дисципліни

"Мікросхемотехніка"

1. Мультивібратори, які працюють в автоколивальному режимі, мають два квазістійкі стани, у яких струми і напруги змінюються порівняно:

1) повільно, але які приводять до різкої, стрибкоподібної зміни одного стану на інший;

2) повільно, але які приводять до різкої, стрибкоподібної зміни одного стану на інший під впливом зовнішнього запускаючого імпульсу;

3) швидко, і приводять до різкої, стрибкоподібної зміни одного стану на інший;

4) швидко, і приводять до різкої, стрибкоподібної зміни одного стану на інший під впливом зовнішнього запускаючого імпульсу.

2. Асинхронний RS-тригер при комбінації вхідних сигналів S=1 і R=0 встановлюється в стан:




Поделиться с друзьями:


Дата добавления: 2015-01-03; Просмотров: 372; Нарушение авторских прав?; Мы поможем в написании вашей работы!


Нам важно ваше мнение! Был ли полезен опубликованный материал? Да | Нет



studopedia.su - Студопедия (2013 - 2026) год. Все материалы представленные на сайте исключительно с целью ознакомления читателями и не преследуют коммерческих целей или нарушение авторских прав! Последнее добавление




Генерация страницы за: 0.012 сек.