Студопедия

КАТЕГОРИИ:


Архитектура-(3434)Астрономия-(809)Биология-(7483)Биотехнологии-(1457)Военное дело-(14632)Высокие технологии-(1363)География-(913)Геология-(1438)Государство-(451)Демография-(1065)Дом-(47672)Журналистика и СМИ-(912)Изобретательство-(14524)Иностранные языки-(4268)Информатика-(17799)Искусство-(1338)История-(13644)Компьютеры-(11121)Косметика-(55)Кулинария-(373)Культура-(8427)Лингвистика-(374)Литература-(1642)Маркетинг-(23702)Математика-(16968)Машиностроение-(1700)Медицина-(12668)Менеджмент-(24684)Механика-(15423)Науковедение-(506)Образование-(11852)Охрана труда-(3308)Педагогика-(5571)Полиграфия-(1312)Политика-(7869)Право-(5454)Приборостроение-(1369)Программирование-(2801)Производство-(97182)Промышленность-(8706)Психология-(18388)Религия-(3217)Связь-(10668)Сельское хозяйство-(299)Социология-(6455)Спорт-(42831)Строительство-(4793)Торговля-(5050)Транспорт-(2929)Туризм-(1568)Физика-(3942)Философия-(17015)Финансы-(26596)Химия-(22929)Экология-(12095)Экономика-(9961)Электроника-(8441)Электротехника-(4623)Энергетика-(12629)Юриспруденция-(1492)Ядерная техника-(1748)

Вопрос №42




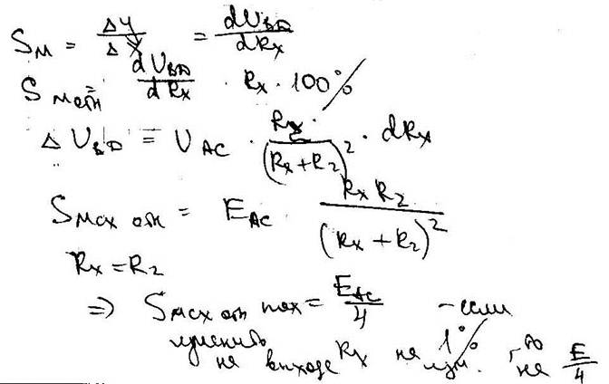
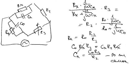
Вопрос №40. Мосты переменного тока для измерения индуктивности и ёмкости. Принципиальные схемы, условия равновесия. Измерение чувствительности и ее влияние на точность измерения индуктивности и ёмкости.

Вопрос №38.

Мост постоянного тока. Функция преобразования. Балансный и небалансный мосты…

 

Балансный мост – напряжение сводится к нулю, небалансный – не сводится к нулю

Чувствительность

Входная величина моста – сопротивление, индуктивность и т.д.

Выходная величина – ток, напряжение, и прочее.

 


 

Последовательная эквивалентная схема:

 

 

Есть два регулирующих параметра – баланс модуля и баланс фазы.

 

-частотно независим, поэтому

Источники погрешностей:

- Паразитные емкости (калибровка ХХ)

Важно иметь хорошую чувствительность

- уравновесить мост

- А – показание П.

Параллельная схема замещения:

 

 


Электронно-лучевой осциллограф…

Задачи:

-наблюдение процессов

-измерение различных величин

-регистрация

П1 – закорачивает с ЭДС, учитывает пост состояние

П2 – закрыв вход АС

П3 – образцовый О

Е1 – коррекция по У

Коэфф отклонения – величина, обратная чувствительности

Sy=dY/dUy

П4 – генератор развертки

 

 

Измерение мгновен знач напряжений:

С внутр генератора на вход Y подается образц напряж

=> известная амплитуда y1 => чувствит Sy

k0=1/Sy

Тогда Uy=k0Δy

Погр-ти:

1)Погр-ть калибратора амплитуды

2)Зависимость коэфф-та отклонения от частоты

3)Зависимость k0 от положения изображения на экране

4)Неточность измерения отрезков на экране

Измерение временных интервалов.

Коэфф развертки – масштаб изображения по горизонтали = интервалу времени, за который пятно перемещается на 1 см по горизонтали

Δt=kрΔx

Измерение частоты сводят к периоду фигуры Лиссажу.

f/f0=N1/N2





Поделиться с друзьями:


Дата добавления: 2015-01-03; Просмотров: 570; Нарушение авторских прав?; Мы поможем в написании вашей работы!


Нам важно ваше мнение! Был ли полезен опубликованный материал? Да | Нет



studopedia.su - Студопедия (2013 - 2026) год. Все материалы представленные на сайте исключительно с целью ознакомления читателями и не преследуют коммерческих целей или нарушение авторских прав! Последнее добавление




Генерация страницы за: 0.009 сек.