Студопедия

КАТЕГОРИИ:


Архитектура-(3434)Астрономия-(809)Биология-(7483)Биотехнологии-(1457)Военное дело-(14632)Высокие технологии-(1363)География-(913)Геология-(1438)Государство-(451)Демография-(1065)Дом-(47672)Журналистика и СМИ-(912)Изобретательство-(14524)Иностранные языки-(4268)Информатика-(17799)Искусство-(1338)История-(13644)Компьютеры-(11121)Косметика-(55)Кулинария-(373)Культура-(8427)Лингвистика-(374)Литература-(1642)Маркетинг-(23702)Математика-(16968)Машиностроение-(1700)Медицина-(12668)Менеджмент-(24684)Механика-(15423)Науковедение-(506)Образование-(11852)Охрана труда-(3308)Педагогика-(5571)Полиграфия-(1312)Политика-(7869)Право-(5454)Приборостроение-(1369)Программирование-(2801)Производство-(97182)Промышленность-(8706)Психология-(18388)Религия-(3217)Связь-(10668)Сельское хозяйство-(299)Социология-(6455)Спорт-(42831)Строительство-(4793)Торговля-(5050)Транспорт-(2929)Туризм-(1568)Физика-(3942)Философия-(17015)Финансы-(26596)Химия-(22929)Экология-(12095)Экономика-(9961)Электроника-(8441)Электротехника-(4623)Энергетика-(12629)Юриспруденция-(1492)Ядерная техника-(1748)

Вопрос №12




Вопрос №10.

Часть а) совпадает с задачой 8. Часть б) имхо тоже, но хз

Имхо должна быть один итоговый скачок на ЭО, а не два

Вопрос №14. Применение осциллографа с дифференциальным входом для измерения напряжения на выходе моста. Оценить неопределенность измерения этого напряжения для равноплечего моста при напряжении 20 В, если коэффициент ослабления синфазных входных напряжений осциллографа не менее 70дБ.


Неопределённость состоит в наличии ∆(синфазная)= Uсф/Kос.сф

Где Uсф= 0,5*(U++U-) = 0,5*20 = 10B;

Kос.сф= 70ДБ = 20*log(k)è k=103,5;

è ∆(синфазная)= 10/103,5 = 10-2,5= 3,16228*10-3B;

Ответ: (200000±32)*10-4В;


Вопрос №16 Открытый и закрытый входы осциллографа. Оценить среднее напряжение прямоугольного сигнала и неопределенность его измерений с Р=0,95 путем перехода от открытого к закрытому входу, если максимум импульса на экране при открытом и закрытом входе равнялся соответственно 20 мм и 10 мм, коэффициент отклонения равен 1 В/см, предел допустимой погрешности коэффициента отклонения равен ±5 %, ширина линии луча не более 1 мм.


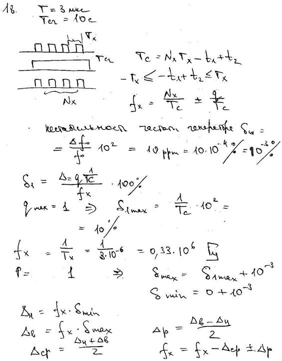
Вопрос №18. Записать ожидаемый результат измерения частоты и его неопределенность с Р=1, если сигнал с периодом 3 мкс подавался на цифровой частотомер с временем счета 10 сек и пределом погрешности генератора образцовой частоты ±10ppm.


Вопрос №20. Записать ожидаемый результат измерения периода и его неопределенность с Р=1, если 12 периодов сигнала с частотой 300 Гц подавались на цифровой измеритель периода с генератором образцовой частоты 1 мГц ± 10 ppm


 




Поделиться с друзьями:


Дата добавления: 2015-01-03; Просмотров: 344; Нарушение авторских прав?; Мы поможем в написании вашей работы!


Нам важно ваше мнение! Был ли полезен опубликованный материал? Да | Нет



studopedia.su - Студопедия (2013 - 2026) год. Все материалы представленные на сайте исключительно с целью ознакомления читателями и не преследуют коммерческих целей или нарушение авторских прав! Последнее добавление




Генерация страницы за: 0.012 сек.