Студопедия

КАТЕГОРИИ:


Архитектура-(3434)Астрономия-(809)Биология-(7483)Биотехнологии-(1457)Военное дело-(14632)Высокие технологии-(1363)География-(913)Геология-(1438)Государство-(451)Демография-(1065)Дом-(47672)Журналистика и СМИ-(912)Изобретательство-(14524)Иностранные языки-(4268)Информатика-(17799)Искусство-(1338)История-(13644)Компьютеры-(11121)Косметика-(55)Кулинария-(373)Культура-(8427)Лингвистика-(374)Литература-(1642)Маркетинг-(23702)Математика-(16968)Машиностроение-(1700)Медицина-(12668)Менеджмент-(24684)Механика-(15423)Науковедение-(506)Образование-(11852)Охрана труда-(3308)Педагогика-(5571)Полиграфия-(1312)Политика-(7869)Право-(5454)Приборостроение-(1369)Программирование-(2801)Производство-(97182)Промышленность-(8706)Психология-(18388)Религия-(3217)Связь-(10668)Сельское хозяйство-(299)Социология-(6455)Спорт-(42831)Строительство-(4793)Торговля-(5050)Транспорт-(2929)Туризм-(1568)Физика-(3942)Философия-(17015)Финансы-(26596)Химия-(22929)Экология-(12095)Экономика-(9961)Электроника-(8441)Электротехника-(4623)Энергетика-(12629)Юриспруденция-(1492)Ядерная техника-(1748)

Индивидуальные и общие индексы




Индексы экономических показателей, их виды

 

Индивидуальные индексы получают в результате сравнения однотоварных явлений. Например, индекс цен на подсолнечное масло определяется как отношение цены на этот товар в текущем периоде к цене базисного периода.

Индивидуальные индексы представляют собой относительные величины динамики, выполнения плана, сравнения, и их расчет не требует знания специальных правил.

В зависимости от экономического назначения индивидуальные индексы бывают: физического объема продукции, себестоимости, цен, трудоемкости и т.д.

Индекс физического объема продукции рассчитывается по формуле:

Этот индекс показывает, во сколько раз возрос (уменьшился) выпуск какого-либо одного товара в отчетном периоде по сравнению с базисным, или сколько процентов составляет рост (снижение) выпуска товара.

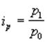
Индивидуальный индекс цен

характеризует изменение цены одного определенного товара в текущем периоде по сравнению с базисным.Индивидуальный индекс себестоимости единицы продукции

показывает изменение себестоимости единицы продукции в текущем периоде по сравнению с базисным.

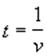
Производительность труда может быть измерена количеством продукции, производимой в единицу времени (v), или затратами рабочего времени на производство единицы продукции (t). Поэтому можно построить:

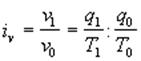
17. индекс количества продукции, произведенной в единицу времени:

;

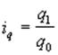
10. индекс производительности труда по трудовым затратам:

.

Так как между количеством продукции, произведенной в единицу времени, и затратами рабочего времени на производство единицы продукции существует обратно пропорциональная зависимость, т.е.

,

то индекс получается в результате деления величины показателя в базисном периоде на величину в текущем периоде.

Для характеристики производительности труда часто используется индивидуальный индекс выработки продукции в стоимостном выражении на одного рабочего:

,

где p - сопоставимые цены.

В экономических расчетах чаще всего используются общие индексы, которые характеризуют изменение совокупности в целом. Построение этих индексов и является содержанием индексной методологии. В индексной теории сложились две концепции: синтетическая и аналитическая. Они по-разному интерпретируют общие индексы.Согласно синтетической концепции, особенность общих индексов состоит в том, что они выражают относительное изменение сложные (разнотоварных) явлений, отдельные части или элементы которых непосредственно несоизмеримы, и поэтому индексы - показатели синтетические. Например, промышленные предприятия производят несколько видов продукции, имеющей различное назначение. Следовательно, путем суммирования количества произведенных товаров различных видов нельзя получить показатель физического объема продукции. Методология построения общих индексов предусматривает прежде всего приведение разнотоварных явлений к соизмеримому виду.В аналитической теории индексы трактуются как показателя, необходимые для измерения влияния изменения составных частей, компонентов, факторов сложного явления на изменение уровней, компонентов, факторов сложного явления на изменение уровня этого явления. Например, изменение общей величины товарооборота в текущем периоде по сравнению с базисным связано как с изменением физического объема продаж товаров, так и с изменением цен по каждому виду товаров. Поэтому индексная методология предусматривает определение влияния каждого из факторов путем элиминирования влияния других факторов на уровень изучаемого явления.Таким образом, общие индексы являются синтетическими и аналитическими показателями.Общие индексы строят для количественных (объемных) и качественных показателей. В зависимости от цели исследования и наличия исходных данных используют различные формы построения общих индексов: агрегатную или средневзвешенную.




Поделиться с друзьями:


Дата добавления: 2014-12-23; Просмотров: 761; Нарушение авторских прав?; Мы поможем в написании вашей работы!


Нам важно ваше мнение! Был ли полезен опубликованный материал? Да | Нет



studopedia.su - Студопедия (2013 - 2026) год. Все материалы представленные на сайте исключительно с целью ознакомления читателями и не преследуют коммерческих целей или нарушение авторских прав! Последнее добавление




Генерация страницы за: 0.008 сек.