Студопедия

КАТЕГОРИИ:


Архитектура-(3434)Астрономия-(809)Биология-(7483)Биотехнологии-(1457)Военное дело-(14632)Высокие технологии-(1363)География-(913)Геология-(1438)Государство-(451)Демография-(1065)Дом-(47672)Журналистика и СМИ-(912)Изобретательство-(14524)Иностранные языки-(4268)Информатика-(17799)Искусство-(1338)История-(13644)Компьютеры-(11121)Косметика-(55)Кулинария-(373)Культура-(8427)Лингвистика-(374)Литература-(1642)Маркетинг-(23702)Математика-(16968)Машиностроение-(1700)Медицина-(12668)Менеджмент-(24684)Механика-(15423)Науковедение-(506)Образование-(11852)Охрана труда-(3308)Педагогика-(5571)Полиграфия-(1312)Политика-(7869)Право-(5454)Приборостроение-(1369)Программирование-(2801)Производство-(97182)Промышленность-(8706)Психология-(18388)Религия-(3217)Связь-(10668)Сельское хозяйство-(299)Социология-(6455)Спорт-(42831)Строительство-(4793)Торговля-(5050)Транспорт-(2929)Туризм-(1568)Физика-(3942)Философия-(17015)Финансы-(26596)Химия-(22929)Экология-(12095)Экономика-(9961)Электроника-(8441)Электротехника-(4623)Энергетика-(12629)Юриспруденция-(1492)Ядерная техника-(1748)

Виды средних и способы их вычисления




В статистике используют различные виды сред–них величин, которые делятся на два больших класса:

1) степенные средние (средняя гармоническая, сред–няя геометрическая, средняя арифметическая, средняя квадратическая, средняя кубическая);

2) структурные средние (мода, медиана).

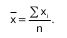
Самый распространенный вид средней – сред–няя арифметическая. Формула простой средней ариф–метической:

 

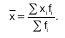
Средняя арифметическая взвешенная:

 

где x i – варианты осредняемого признака; f – частота, которая показывает, сколько раз встречается i-е значение в совокупности.

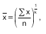
Формула простой средней гармонической:

 

где х i – отдельные варианты; n – число вариантов осредняемого признака. Средняя геометрическая простая рассчитывается по формуле:

 

Формула средней геометрической взвешенной:


 

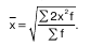
Формула средней квадратической:

 

Формула средней квадратической взвешенной:

 

Формула средней кубической:

 

Средняя кубическая взвешенная:


Все рассмотренные выше средние величины могут быть представлены в виде общей формулы:


где x – средняя величина;

х – индивидуальное значение; n – число единиц изучаемой совокупности; k – показатель степени, определяющий вид сред–ней.

Между величинами степенных средних существует закономерное соотношение:

Определяя таким образом сущность средних ве–личин, необходимо подчеркнуть, что правильное ис–числение любой средней величины предполагает выполнение следующих требований:

1) качественная однородность совокупности, по кото–рой исчислена средняя;

2) исключение влияния на исчисление сред–ней величины случайных, сугубо индивидуаль–ных причин и факторов;

3) при вычислении средней величины важно устано–вить цель ее расчета и так называемый определяю–щий показатель (свойство), на который она должна быть ориентирована. Связь между определяющим показателем и средней выражается в следующем: если все значения осредняемого признака заме–нить их средним значением, то сумма или произве–дение в этом случае не изменят определяющего показателя. На основе этой связи определяющего показателя со средней величиной строят исходное количественное отношение для непосредственно–го расчета средней величины. Способность сред–них величин сохранять свойства статистических совокупностей называют определяющим свой–ством.

Средняя, рассчитанная по совокупности в целом, называется общей средней, средние, исчисленные для каждой группы, – групповыми средними. Общая средняя отражает общие черты изучаемого явления, групповая средняя дает характеристику размера яв–ления, складывающуюся в конкретных условиях дан–ной группы.

Способы расчета могут быть разные, и в связи с этим в статистике различают несколько видов сред–ней величины, основными из которых являются сред–няя арифметическая, средняя гармоническая и сред–няя геометрическая.

В экономическом анализе использование сред–них величин является действенным инструментом для оценки результатов научно-технического прогресса, социальных мероприятий, изыскания скрытых и неис–пользуемых резервов развития экономики.




Поделиться с друзьями:


Дата добавления: 2014-12-24; Просмотров: 387; Нарушение авторских прав?; Мы поможем в написании вашей работы!


Нам важно ваше мнение! Был ли полезен опубликованный материал? Да | Нет



studopedia.su - Студопедия (2013 - 2026) год. Все материалы представленные на сайте исключительно с целью ознакомления читателями и не преследуют коммерческих целей или нарушение авторских прав! Последнее добавление




Генерация страницы за: 0.014 сек.