Студопедия

КАТЕГОРИИ:


Архитектура-(3434)Астрономия-(809)Биология-(7483)Биотехнологии-(1457)Военное дело-(14632)Высокие технологии-(1363)География-(913)Геология-(1438)Государство-(451)Демография-(1065)Дом-(47672)Журналистика и СМИ-(912)Изобретательство-(14524)Иностранные языки-(4268)Информатика-(17799)Искусство-(1338)История-(13644)Компьютеры-(11121)Косметика-(55)Кулинария-(373)Культура-(8427)Лингвистика-(374)Литература-(1642)Маркетинг-(23702)Математика-(16968)Машиностроение-(1700)Медицина-(12668)Менеджмент-(24684)Механика-(15423)Науковедение-(506)Образование-(11852)Охрана труда-(3308)Педагогика-(5571)Полиграфия-(1312)Политика-(7869)Право-(5454)Приборостроение-(1369)Программирование-(2801)Производство-(97182)Промышленность-(8706)Психология-(18388)Религия-(3217)Связь-(10668)Сельское хозяйство-(299)Социология-(6455)Спорт-(42831)Строительство-(4793)Торговля-(5050)Транспорт-(2929)Туризм-(1568)Физика-(3942)Философия-(17015)Финансы-(26596)Химия-(22929)Экология-(12095)Экономика-(9961)Электроника-(8441)Электротехника-(4623)Энергетика-(12629)Юриспруденция-(1492)Ядерная техника-(1748)

Измерение напряжения на участке цепи




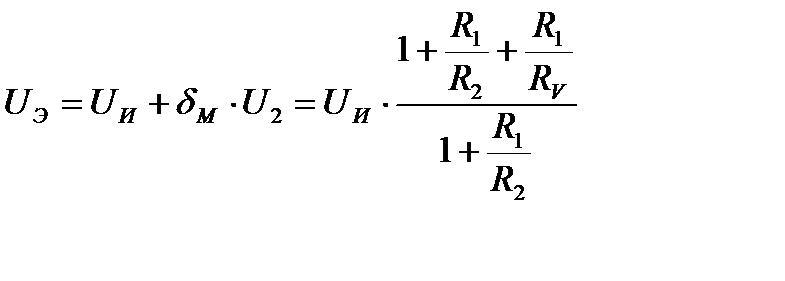
Относительная методическая погрешность измерения в этом случае будет:

, где , , .

 

R1
E
a)
R2
R1
E
г)
RЭ
R1
E
б)
R2
pV
R1
E
в)
R2
RV  

 

 


 

 

Рисунок 2.8 – Измерение напряжения на участке цепи

После преобразований для относительной методической погрешности получим выражение:

.

Действительное значение напряжения на резисторе с сопротивлением R2 после введения поправки на методическую погрешность будет:

,

где UИ – показание вольтметра.

Инструментальная погрешность определяется классом точности и шкалой прибора. Найденное значение напряжения на R2 будет:

.


2.3. Программа работы:

2.3.1. Измерение постоянного напряжения (приборами В7-26, Щ4313)

Измерить ЭДС источника питания прибором В7-26

а) Подготовка вольтметра В7-26 к измерению напряжения.

U
*
Включить “Сеть” прибора. Переключатель рода работы установить в положение “+U” или “-U”. После прогрева (5 15 минут) закоротить (соединить проводником) входы «U» и «*» прибора (рис. 9). Переключатель поддиапазонов измерения напряжения поставить в положение 0,3(0,1)В. Регулировкой “Устан. «0»” добиться «0» по шкале «U».
ИП
+
-
В7-26, Щ4313
U
*
Затем перевести переключатель поддиапазонов в положение 3(10)В. Снять закоротку.

б) Включить источник питания и установить необходимую величину Э.Д.С. E.

в) Подключить В7-26 к источнику питания (рис.10). Измерить ЭДС.Записать конечное значение шкалы вольтметра UK и его класс точности (указан на лицевой панели).




Поделиться с друзьями:


Дата добавления: 2014-12-24; Просмотров: 709; Нарушение авторских прав?; Мы поможем в написании вашей работы!


Нам важно ваше мнение! Был ли полезен опубликованный материал? Да | Нет



studopedia.su - Студопедия (2013 - 2025) год. Все материалы представленные на сайте исключительно с целью ознакомления читателями и не преследуют коммерческих целей или нарушение авторских прав! Последнее добавление




Генерация страницы за: 0.007 сек.