Студопедия

КАТЕГОРИИ:


Архитектура-(3434)Астрономия-(809)Биология-(7483)Биотехнологии-(1457)Военное дело-(14632)Высокие технологии-(1363)География-(913)Геология-(1438)Государство-(451)Демография-(1065)Дом-(47672)Журналистика и СМИ-(912)Изобретательство-(14524)Иностранные языки-(4268)Информатика-(17799)Искусство-(1338)История-(13644)Компьютеры-(11121)Косметика-(55)Кулинария-(373)Культура-(8427)Лингвистика-(374)Литература-(1642)Маркетинг-(23702)Математика-(16968)Машиностроение-(1700)Медицина-(12668)Менеджмент-(24684)Механика-(15423)Науковедение-(506)Образование-(11852)Охрана труда-(3308)Педагогика-(5571)Полиграфия-(1312)Политика-(7869)Право-(5454)Приборостроение-(1369)Программирование-(2801)Производство-(97182)Промышленность-(8706)Психология-(18388)Религия-(3217)Связь-(10668)Сельское хозяйство-(299)Социология-(6455)Спорт-(42831)Строительство-(4793)Торговля-(5050)Транспорт-(2929)Туризм-(1568)Физика-(3942)Философия-(17015)Финансы-(26596)Химия-(22929)Экология-(12095)Экономика-(9961)Электроника-(8441)Электротехника-(4623)Энергетика-(12629)Юриспруденция-(1492)Ядерная техника-(1748)

Средняя гармоническая. Средняя арифметическая




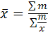
Средняя арифметическая

Тема 3: Средние величины и показатели вариации

Тема 2: Абсолютные и относительные величины

Относительные величины:

1) относит. вел-на структуры:

2) относит. вел-на планового задания:

3) относит. вел-на выполнения плана:

4) относит. вел-на динамики или темп роста:

5) относит. вел-на сравнения

6) относит. вел-на интенсивности (пример: фондоотдача = объем/стоимость (один год))

простая:

 

взвешенная:

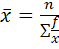
простая:

взвешенная: , сумма значений признака по группе

Свойства средн. арифметической:

1) если каждую вари-ту х умен-ть или увел-ть на одно и то же число, то ср. вел-на умен-ется или увел-ется на это же число;

2) если каждую вари-ту х умен-ть или увел-ть в одно и то же число раз, то ср. вел-на умен-ется или увел-ется в одно и то же число раз;

3) если каждую частоту f умен-ть или увел-ть в одно и то же число раз, то ср. вел-на не изменится.

Ср. вел-на зависит от вар-ты х и структуры совок-сти, кот. харак-ется долями d.

Ряд распределения имеет 3 центра:

1) ср. арифметическое;

2) мода – наиболее часто встречающаяся вар-та [M0];

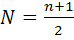
3) медиана – вар-та, стоящая в середине ряда распре-ния. Сначала находят N медианы, кот. равен n/2, если число еди-ц совок-сти n – чётное, или , если число еди-ц совок-сти нечетное [Me].

Осн. пока-ли вариации:

1) размах вариации:

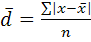
2) ср. линейное отклонение (ср. арифм-кая из абсолют. откл-ний отдел. значений)

Для несгруппир. данных:

Для сгруппир. данных:

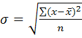
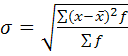
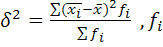
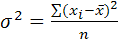
3) ср. квадратическое отклонение (хар-ет ср. абсол. откл-ние вар-ты от ср. вел-ны)

Для несгруппир. данных:

Для сгруппир. данных:

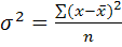
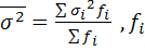
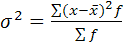
4) Дисперсия – квадрат среднеквадр-ного откл-ния

Для несгруппир. данных:

Для сгруппир. данных:

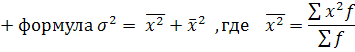
Общая дисперсия: (для сгрупп.) (для несгрупп.)

ср. вел-на резул. приз-ка в сово-сти, - частота (в совокупности!)

Внутригрупповая дисперсия: - кол-во вариант в группе i

Междугрупповая дисперсия: - кол-во вариант в группе i

Правило сложения дисперсий:

Не имеет еди-ц измерения.

5) Коэффициент вариации хар-ет ср. относит. откл-ние вар-ты от ср. вел-ны.




Поделиться с друзьями:


Дата добавления: 2014-12-24; Просмотров: 281; Нарушение авторских прав?; Мы поможем в написании вашей работы!


Нам важно ваше мнение! Был ли полезен опубликованный материал? Да | Нет



studopedia.su - Студопедия (2013 - 2025) год. Все материалы представленные на сайте исключительно с целью ознакомления читателями и не преследуют коммерческих целей или нарушение авторских прав! Последнее добавление




Генерация страницы за: 0.01 сек.