Студопедия

КАТЕГОРИИ:


Архитектура-(3434)Астрономия-(809)Биология-(7483)Биотехнологии-(1457)Военное дело-(14632)Высокие технологии-(1363)География-(913)Геология-(1438)Государство-(451)Демография-(1065)Дом-(47672)Журналистика и СМИ-(912)Изобретательство-(14524)Иностранные языки-(4268)Информатика-(17799)Искусство-(1338)История-(13644)Компьютеры-(11121)Косметика-(55)Кулинария-(373)Культура-(8427)Лингвистика-(374)Литература-(1642)Маркетинг-(23702)Математика-(16968)Машиностроение-(1700)Медицина-(12668)Менеджмент-(24684)Механика-(15423)Науковедение-(506)Образование-(11852)Охрана труда-(3308)Педагогика-(5571)Полиграфия-(1312)Политика-(7869)Право-(5454)Приборостроение-(1369)Программирование-(2801)Производство-(97182)Промышленность-(8706)Психология-(18388)Религия-(3217)Связь-(10668)Сельское хозяйство-(299)Социология-(6455)Спорт-(42831)Строительство-(4793)Торговля-(5050)Транспорт-(2929)Туризм-(1568)Физика-(3942)Философия-(17015)Финансы-(26596)Химия-(22929)Экология-(12095)Экономика-(9961)Электроника-(8441)Электротехника-(4623)Энергетика-(12629)Юриспруденция-(1492)Ядерная техника-(1748)

Тема 7: Статистическое изучение связей между признаками




Индекс СТР – индекс, харак-щий влияние изменения только структуры изучаемого яв-ния на динамику ср. уровня этого яв-ния.

Индексы ср. вел-н

К индексам средних величин относятся: индексы переменного состава, постоянного состава и структурных сдвигов.

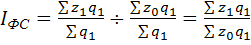
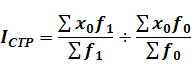
Индекс постоянного (фиксированного) состава:

Индекс ФС — это индекс, исчисленный с весами, зафиксированными на уровне одного какого-либо периода, и показывающий изменение только индексируемой величины

Пример:

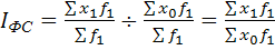
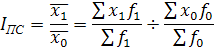
Индекс переменного состава:

Индекс ПС – индекс, выражающий соотношение ср. уровней изучаемого яв-ния, относящихся к разным периодам времени.

Пример:

Индекс структурных сдвигов:

Пример:

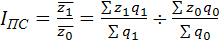
Взаимосвязь индексов:

Уравнение регрессии выражает ср. вел-ну рез. признака как ф-цию факт. признака.

Уравнение регрессии в общем виде:

Уравнение регрессии – линия, вокруг кот. группируются точки корр. поля.

Прежде чем определить уравнение регрессии нужно определить его форму (линейная, парабола, гипербола, логарифм). Чаще всего используется линейная форма связи (для парной корреляции (1 рез. и 1 факт)):

– теор. зна-ние рез. приз-ка; – факт. признак; – параметры ур. регрессии.

Чаще эти параметры ищут испо-зуя метод наименьших квадратов:

Для линейн. формы:

Далее получаем следующую систему

Проверка правильности расчета. Для этого в ур. подставляют вместо , вместо (средняя).

Если получается тождество, то уравнение рассчи-но верно.

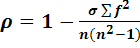
Основные показатели теснотысвязи между признаками:

1) линейный коэффициент корреляции
– среднее из произведений

среднеквадратичное отклонение факт. признаков

Чем ближе к 1 или -1, тем теснее связь между признаками.

2) эмпирическое коррел. отношение (см.тему ср. величины)

(коэф. детерминации), – межгруппов. дисперсия, - общая дисперсия

Чем ближе к 1 или -1, тем теснее связь между признаками.

3) коэффициент рангов Спирмена

Каждой единице совокупности в порядке возраст. значений присваивают номер, кот. наз-ют рангом.

f – разность. рез. и факт. признаков (вариант и частот)

 




Поделиться с друзьями:


Дата добавления: 2014-12-24; Просмотров: 230; Нарушение авторских прав?; Мы поможем в написании вашей работы!


Нам важно ваше мнение! Был ли полезен опубликованный материал? Да | Нет



studopedia.su - Студопедия (2013 - 2025) год. Все материалы представленные на сайте исключительно с целью ознакомления читателями и не преследуют коммерческих целей или нарушение авторских прав! Последнее добавление




Генерация страницы за: 0.008 сек.