Студопедия

КАТЕГОРИИ:


Архитектура-(3434)Астрономия-(809)Биология-(7483)Биотехнологии-(1457)Военное дело-(14632)Высокие технологии-(1363)География-(913)Геология-(1438)Государство-(451)Демография-(1065)Дом-(47672)Журналистика и СМИ-(912)Изобретательство-(14524)Иностранные языки-(4268)Информатика-(17799)Искусство-(1338)История-(13644)Компьютеры-(11121)Косметика-(55)Кулинария-(373)Культура-(8427)Лингвистика-(374)Литература-(1642)Маркетинг-(23702)Математика-(16968)Машиностроение-(1700)Медицина-(12668)Менеджмент-(24684)Механика-(15423)Науковедение-(506)Образование-(11852)Охрана труда-(3308)Педагогика-(5571)Полиграфия-(1312)Политика-(7869)Право-(5454)Приборостроение-(1369)Программирование-(2801)Производство-(97182)Промышленность-(8706)Психология-(18388)Религия-(3217)Связь-(10668)Сельское хозяйство-(299)Социология-(6455)Спорт-(42831)Строительство-(4793)Торговля-(5050)Транспорт-(2929)Туризм-(1568)Физика-(3942)Философия-(17015)Финансы-(26596)Химия-(22929)Экология-(12095)Экономика-(9961)Электроника-(8441)Электротехника-(4623)Энергетика-(12629)Юриспруденция-(1492)Ядерная техника-(1748)

Будова асинхронних машин




За конструкцією асинхронні машини поділяють на два основних типи: з фазним ротором (з контактними кільцями і короткозамкненим ротором; їх статори конструктивно однакові.

Осердя статорів і роторів набирають з листів електротехнічної сталі, у виштомпованих пазах яких вкладають обмотки, що мають однакову кількість полюсів.

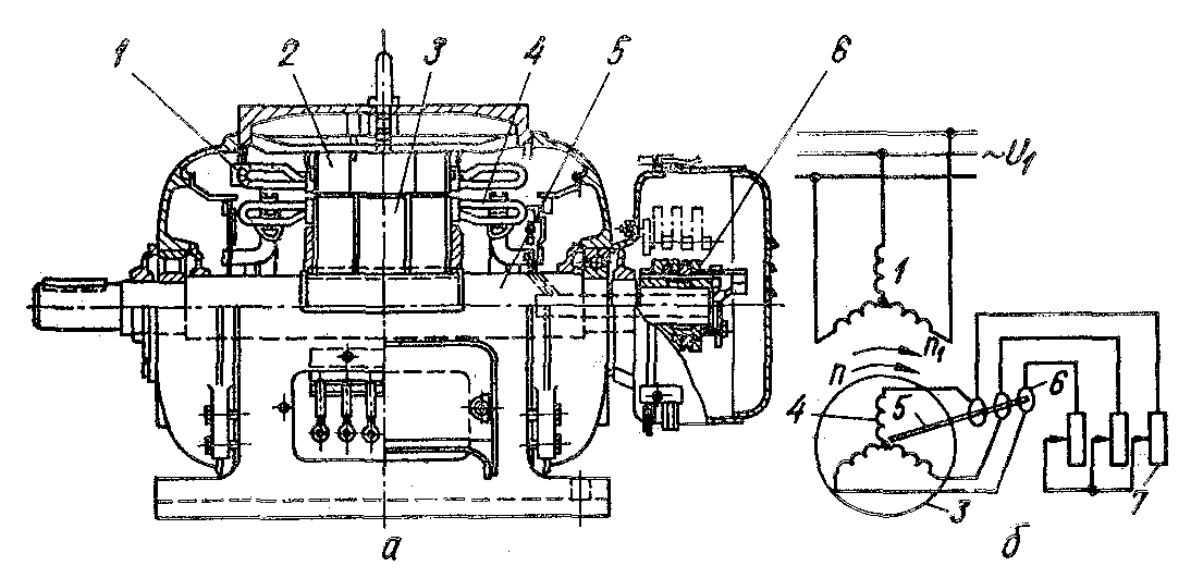
Машина з фазним ротором (рис. 11.1). Трифазна обмотка статора і укладена в пазах його осердя 2. На роторі З укладена аналогічна обмотка 4, яка звичайно з'єднана зіркою, а її виводи під'єднані до контактних кілець б, що насаджені на вал машини.5. По кільцях ковзають щітки, за допомогою яких в коло ротора можна включити резисторі 7.

Будова блока контактних кілець зображена на рис. 11.2. Контактні кільця і виготовлюють з бронзи і запресовують в пластмасу 2. Від кожного кільця відходить ізольована контактна, шпилька 3. Машини забезпечені пристроєм, що дозволяє після запуску машини підняти щітки з контактних кілець, а самі контактні кільця замкнути накоротко.

Рис: 11.1. Асинхронна машина з фазним ротором (а) і схема її ввімкнений рис. 11.1.

Машина з короткозамкненим ротором (рис. 11.3). її осердя статора 2 з обмоткою 1 аналогічне машині на рис.11.1

 

В пази осердя ротора З закладають без ізоляції стержні 4, що замикаються накоротко з торців двома кільцями. При цьому обмотка ротора дістає вигляд "білчиної клітки" (рис. 11.4а); вона дуже часто саме такі зветься.

Для двигунів великої потужності "білчину клітку" (рис. 11.46) виготовляють з мідних чи латунних стержнів 2, кінці яких приварюють до короткозамкнених кілець 3, з обох боків осердя 1; для двигунів середньої і малої потужності, її разом з торцевими лопатками 4 (рис.11.4в), що відіграють роль теплорозсіювачів і лопастей вентилятора, виливають з алюмінію,

Рис.11. 2.Блок контактних кілець

В електричному відношенні "білчина клітка" являє собою багатофазну короткозамкнену зірку, кількість фаз якої т2 дорівнює кількості стержнів (пазів) ротора , а в кожну фазу входить один стержень і прилеглі до нього ділянки короткозамикаючих кілець. Оскільки один виток може бути утвореній, як мінімум, двома провідниками (див., наприклад, рис. 3.2), а фаза має один стержень (провідник), кількість витків в фазі "білчиної клітки"

Асинхронна машина з короткозамкненим ротором найпростіша, найнадійніша, найлегша і найдешевша серед усіх типів машин, тому її застосування на транспорті є дуже перспективним.




Поделиться с друзьями:


Дата добавления: 2014-12-25; Просмотров: 704; Нарушение авторских прав?; Мы поможем в написании вашей работы!


Нам важно ваше мнение! Был ли полезен опубликованный материал? Да | Нет



studopedia.su - Студопедия (2013 - 2026) год. Все материалы представленные на сайте исключительно с целью ознакомления читателями и не преследуют коммерческих целей или нарушение авторских прав! Последнее добавление




Генерация страницы за: 0.009 сек.