Студопедия

КАТЕГОРИИ:


Архитектура-(3434)Астрономия-(809)Биология-(7483)Биотехнологии-(1457)Военное дело-(14632)Высокие технологии-(1363)География-(913)Геология-(1438)Государство-(451)Демография-(1065)Дом-(47672)Журналистика и СМИ-(912)Изобретательство-(14524)Иностранные языки-(4268)Информатика-(17799)Искусство-(1338)История-(13644)Компьютеры-(11121)Косметика-(55)Кулинария-(373)Культура-(8427)Лингвистика-(374)Литература-(1642)Маркетинг-(23702)Математика-(16968)Машиностроение-(1700)Медицина-(12668)Менеджмент-(24684)Механика-(15423)Науковедение-(506)Образование-(11852)Охрана труда-(3308)Педагогика-(5571)Полиграфия-(1312)Политика-(7869)Право-(5454)Приборостроение-(1369)Программирование-(2801)Производство-(97182)Промышленность-(8706)Психология-(18388)Религия-(3217)Связь-(10668)Сельское хозяйство-(299)Социология-(6455)Спорт-(42831)Строительство-(4793)Торговля-(5050)Транспорт-(2929)Туризм-(1568)Физика-(3942)Философия-(17015)Финансы-(26596)Химия-(22929)Экология-(12095)Экономика-(9961)Электроника-(8441)Электротехника-(4623)Энергетика-(12629)Юриспруденция-(1492)Ядерная техника-(1748)

Работа по перемещению точечного заряда в поле другого точечного заряда. Циркуляция вектора напряженности электрического поля




Формулировка теоремы Остроградского-Гаусса. Расчет поля равномерно заряженного шара. Поле объемно заряженного шара.

Шар радиуса R с общим зарядом Q заряжен равномерно с объемной плотностью ( заряд, приходящийся на единицу объема). Учиты­вая соображения симметрии, можно показать, что для напряженности поля вне ша­ра получится тот же результат, что и в предыду­щем случае:

Внутри же шара на­пряженность поля будет другая. Сфера радиуса r'<R охватывает заряд .

Поэтому, согласно теореме Гаусса, . Учитывая,что

получим:

Таким образом, напряженность ноля вне равно­мерно заряженного шара описывается форму­лой:

,

а внутри его изменяется линейно с расстоянием r' согласно выражению (82.4). График зависимости E от r приведен на рис. 130.

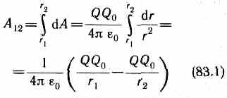
Если в электростатическом поле точечного заряда Q из точки 1 в точку 2 вдоль про­извольной траектории (рис. 132) переме­щается другой точечный заряд Q0, то сила, приложенная к заряду, совершает работу. Работа силы F на элементарном переме­щении dl равна:------------------------------------------------------------------------------------------à

 

Работа при перемещении заряда Q0 из точки 1 в точку 2 не зависит от траектории перемещения, а определяется только положениями на­чальной (1) и конечной (2) точек. Следовательно, электростатическое поле точечного заряда является потенциаль­ным, а электростатические силы — консер­вативными.

Из формулы (83.1) следует, что рабо­та, совершаемая при перемещении элек­трического заряда во внешнем электроста­тическом поле по любому замкнутому пути L равна нулю, т. е.

 

Если в качестве заряда, переносимого в электростатическом поле, взять единич­ный точечный положительный заряд, то элементарная работа сил поля на пути dl равна Еdl = E1dl, где E1lcosα — про­екция вектора Е на направление элемен­тарного перемещения. Тогда формулу (83.2) можно записать в виде:

 

Интеграл называется циркуляцией вектора напряженности. Следо­вательно, циркуляция вектора напряжен­ности электростатического поля вдоль лю­бого замкнутого контура равна нулю. Силовое поле, обладающее свойством (83.3), называется потенциальным. Из об­ращения в нуль циркуляции вектора Е следует, что линии напряженности элек­тростатического поля не могут быть за­мкнутыми, они начинаются и кончаются на зарядах (соответственно на положи­тельных или отрицательных) или же ухо­дят в бесконечность. Формула (83.3) справедлива только для электростатического поля. В дальней­шем будет показано, что для поля движу­щихся зарядов условие (83.3) не выпол­няется (для него циркуляция вектора на­пряженности отлична от нуля).

 




Поделиться с друзьями:


Дата добавления: 2014-12-25; Просмотров: 2194; Нарушение авторских прав?; Мы поможем в написании вашей работы!


Нам важно ваше мнение! Был ли полезен опубликованный материал? Да | Нет



studopedia.su - Студопедия (2013 - 2026) год. Все материалы представленные на сайте исключительно с целью ознакомления читателями и не преследуют коммерческих целей или нарушение авторских прав! Последнее добавление




Генерация страницы за: 0.011 сек.