Студопедия

КАТЕГОРИИ:


Архитектура-(3434)Астрономия-(809)Биология-(7483)Биотехнологии-(1457)Военное дело-(14632)Высокие технологии-(1363)География-(913)Геология-(1438)Государство-(451)Демография-(1065)Дом-(47672)Журналистика и СМИ-(912)Изобретательство-(14524)Иностранные языки-(4268)Информатика-(17799)Искусство-(1338)История-(13644)Компьютеры-(11121)Косметика-(55)Кулинария-(373)Культура-(8427)Лингвистика-(374)Литература-(1642)Маркетинг-(23702)Математика-(16968)Машиностроение-(1700)Медицина-(12668)Менеджмент-(24684)Механика-(15423)Науковедение-(506)Образование-(11852)Охрана труда-(3308)Педагогика-(5571)Полиграфия-(1312)Политика-(7869)Право-(5454)Приборостроение-(1369)Программирование-(2801)Производство-(97182)Промышленность-(8706)Психология-(18388)Религия-(3217)Связь-(10668)Сельское хозяйство-(299)Социология-(6455)Спорт-(42831)Строительство-(4793)Торговля-(5050)Транспорт-(2929)Туризм-(1568)Физика-(3942)Философия-(17015)Финансы-(26596)Химия-(22929)Экология-(12095)Экономика-(9961)Электроника-(8441)Электротехника-(4623)Энергетика-(12629)Юриспруденция-(1492)Ядерная техника-(1748)

Порядок выполнения работы. 1. Измерить размеры балки b0, h, l, записать значения сосредоточенной нагрузки F




1. Измерить размеры балки b 0, h, l, записать значения сосредоточенной нагрузки F.

2. Подсчитать теоретическое значение e.

3. Нагрузить балку нагрузкой F, записать значения относительных продольных деформаций по четырём датчикам в делениях по шкале реохорда и подсчитать среднее значение nср.

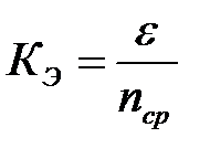
4. Определить экспериментальное значение цены деления

. (2.30)

5. Сравнить полученное экспериментальное значение коэффициента цены деления КЭ со значением по инструкции КИ, сделать вывод,

%. (2.31)

 

Контрольные вопросы и варианты ответов

1. Указать схему балки равного сопротивления.

 

2. Как зависят нормальные напряжения на поверхности балки равного сопротивления от координаты Z?

1) прямо пропорционально; 2) обратно пропорционально;

3) более сложная зависимость; 4) не зависят.

3. Указать формулу для вычисления цены деления шкалы прибора ИД-70 при тарировке с помощью балки равного сопротивления:

1) ; 2) ; 3) ; 4) .

4. К какому внутреннему силовому фактору приводятся нормальные напряжения в поперечном сечении балки при изгибе?

1) N; 2) My или Mz; 3) Qy или Qz; 4) Mx.

5. Какая из схем включения термокомпенсатора (Rk) является правильной? RA – рабочий датчик.

6. Каковы преимущества балки равного сопротивления для тарировки датчиков:

1) удобнее наклеивать датчики;

2) поворот любого сечения балки одинаков;

3) проще вычислить момент сопротивления сечения балки;

4) максимальное напряжение в любом сечении балки одинаково.

7. Что происходит с плоскими поперечными сечения балки при изгибе в соответствии с гипотезой плоских сечений?

1) искривляются по всей длине;

2) искривляются на отдельных участках;

3) поворачиваясь и смещаясь, остаются плоскими и после изгиба;

4) остаются плоскими на отдельных участках.

8. Какое направление имеют внутренние силовые факторы в сечениях балки «b-b», «c-c»?

9. По заданной эпюре поперечной силы Q восстановить нагрузку на балку и построить эпюру изгибающих моментов М

Рекомендуемая литература

1. Феодосьев В.И. Сопротивление материалов: учебник для втузов / В.И. Феодосьев. – М.: Изд-во МГТУ им. Н.Э. Баумана, 2007. – 592 с.

2. Варданян Г.С. Сопротивление материалов (с основами строительной механики): учебник / Г.С. Варданян, Н.М. Атаров, А.А. Горшков. – М.: ИНФРА-М, 2003. – 480 с.

3. Афанасьев А.М. Лабораторный практикум по сопротивлению материалов: учеб. пособие для втузов / А.М. Афанасьев, В.А. Марьин. – М.: Наука, 1975. – 288 с.

4. Шадрин В.А. Сопротивление материалов: в 1 ч. // Методические указания к лабораторным работам для студентов технических специальностей / В.А. Шадрин. – Чита: ЧитГУ, 2005. – 45 с.

5. Трубина Э.П. Тесты для защиты лабораторных работ по сопротивлению материалов: методические указания / Э.П. Трубина, Е.А. Станкова. – Чита: ЧитГУ, 2008. – 37 с.

6. Манжосов В.К. Лабораторные работы по сопротивлению материалов: в 1 ч. // Методические указания / В.К. Манжосов. – Ульяновск: УлГТУ, 2006. – 28 с.

7. Гончаров К.А. Лабораторный практикум по курсу «Сопротивление материалов»: учебное электронное текстовое издание / К.А. Гончаров [и др.]. – Екатеринбург: Изд-во УГТУ-УПИ, 2008. – 143 с.

8. Байда Л.И. Электрические измерения: учебник для вузов / Л.И. Байда [и др.]. – Л.: Энергия, Ленингр. отд-ние, 1980. – 392 с.

9. Касаткин Б.С. Экспериментальные методы исследования деформаций и напряжений: справочное пособие для преподавателей, аспирантов и студентов вузов / Б.С. Касаткин [и др.]. – Киев: Наукова думка, 1981. – 583 с.

 




Поделиться с друзьями:


Дата добавления: 2014-12-26; Просмотров: 576; Нарушение авторских прав?; Мы поможем в написании вашей работы!


Нам важно ваше мнение! Был ли полезен опубликованный материал? Да | Нет



studopedia.su - Студопедия (2013 - 2025) год. Все материалы представленные на сайте исключительно с целью ознакомления читателями и не преследуют коммерческих целей или нарушение авторских прав! Последнее добавление




Генерация страницы за: 0.011 сек.