Студопедия

КАТЕГОРИИ:


Архитектура-(3434)Астрономия-(809)Биология-(7483)Биотехнологии-(1457)Военное дело-(14632)Высокие технологии-(1363)География-(913)Геология-(1438)Государство-(451)Демография-(1065)Дом-(47672)Журналистика и СМИ-(912)Изобретательство-(14524)Иностранные языки-(4268)Информатика-(17799)Искусство-(1338)История-(13644)Компьютеры-(11121)Косметика-(55)Кулинария-(373)Культура-(8427)Лингвистика-(374)Литература-(1642)Маркетинг-(23702)Математика-(16968)Машиностроение-(1700)Медицина-(12668)Менеджмент-(24684)Механика-(15423)Науковедение-(506)Образование-(11852)Охрана труда-(3308)Педагогика-(5571)Полиграфия-(1312)Политика-(7869)Право-(5454)Приборостроение-(1369)Программирование-(2801)Производство-(97182)Промышленность-(8706)Психология-(18388)Религия-(3217)Связь-(10668)Сельское хозяйство-(299)Социология-(6455)Спорт-(42831)Строительство-(4793)Торговля-(5050)Транспорт-(2929)Туризм-(1568)Физика-(3942)Философия-(17015)Финансы-(26596)Химия-(22929)Экология-(12095)Экономика-(9961)Электроника-(8441)Электротехника-(4623)Энергетика-(12629)Юриспруденция-(1492)Ядерная техника-(1748)

Пример линейной программы




Составить программу вычисления площади треугольника по формуле:

где - полупериметр; а,b,с - стороны треугольника.

Исходные данные: а = 1; b = 2; с = 0,5.

 

#include "stdafx.h"

#include<math.h>

int main()

{

float a, b, c, p, S;/* описание всех переменных, используемых в программе */

printf("Введите исходные данные ");

scanf("%f %f %f",&a, &b,&с); /* ввод с клавиатуры значений для а, b и с */

p = (a + b + c) / 2; // вычисление полупериметра

S = sqrt(p *(p - a)*(p -b)*(p - c)); // вычисление площади

/*Вывод на экран*/

printf("Площадь треугольника S =%5.2f", S);

return 0;

}

При выполнении оператора scanf процессор переходит в режим ожидания набора исходных данных с кла­виатуры. Для продолжения работы надо набрать на клавиатуре:

1 2 0.5 [Enter]

После нажатия клавиши [Enter] программа продолжит вы­полнение и на экран будет выведен результат в следующем виде:

Площадь треугольника S = 3.87

 

Контрольные задания

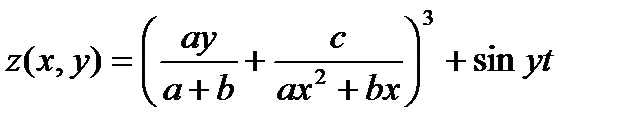
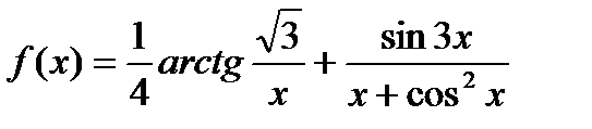
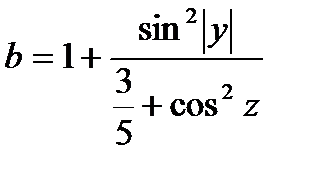
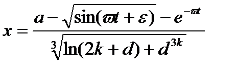
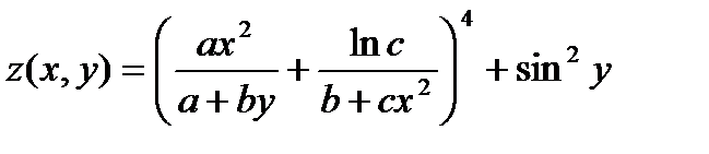
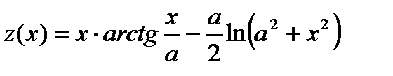
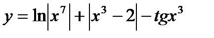
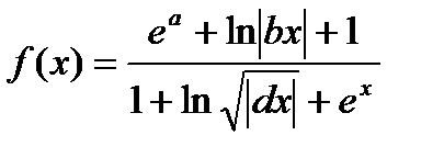
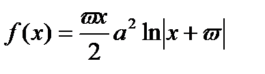
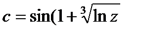
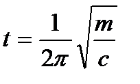
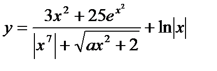
1. Записать на языке С++ операторы присваивания

  Вариант     Математическая запись
  a) б)  
  а) б)  
  а) б)
  а) б)
  а) б)
  а) б)
  а) б)
  а) б)
  а) б)  
  а) б)
  а) б)
  а) б)
  а) б)
  а) б)  
  а) б)
  а) б)  

 




Поделиться с друзьями:


Дата добавления: 2014-12-26; Просмотров: 390; Нарушение авторских прав?; Мы поможем в написании вашей работы!


Нам важно ваше мнение! Был ли полезен опубликованный материал? Да | Нет



studopedia.su - Студопедия (2013 - 2026) год. Все материалы представленные на сайте исключительно с целью ознакомления читателями и не преследуют коммерческих целей или нарушение авторских прав! Последнее добавление




Генерация страницы за: 0.012 сек.